تناسبات ابعادی مقاطع اعضای خمشی

تناسبات ابعادی مقاطع اعضای خمشی

در انتهای ضوابط اعضای خمشی در مبحث دهم مقررات ملی ساختمان، چند ضابطه تکمیلی ارائه شده با نام تناسبات ابعادی اعضای خمشی یاد شده است.

اعضای با مقاطع دارای بال کششی سوراخ دار

این بند مربوط است که به اعضای مقاطع نورد شده و ساخته شده از ورق که مقطع آنها دارای سوراخ بوده و مقاومت خمشی آنها براساس سطح مقطع کلی محاسبه شده است.

در اینگونه اعضاء در صورت وجود سوراخ در بال یا بال ها، در محاسبه مقاومت خمشی اسمی (Mn) در محدوده سوراخ باید محدودیت های گسیختگی بال کششی در نظر گرفته شود به طوری که هیچگونه محدودیتی در محاسبه  مقاومت خمشی اسمی به خاطر وجود سوراخ در بال کششی در نظر گرفته نمی شود.

مقاومت اعضای خمشی بال دار فولادی

اعضای بالدار کششی سوراخ دار فولادی

 

مثال: تیر IPE با مهار جانبی کافی برای بال فشاری، در محل اتصال خمشی با ستون در هر یک از بال های بالا و پایین دارای دو سوراخ ( در هر طرف یک سوراخ) با قطر 20 میلی متر می باشد. دو سوراخ بال پایین و دو سوراخ بال بالایی همگی در یک مقطع عرضی از تیر قرار دارند و فواصل آنها از لبه ها به درستی تنظیم شده است. در صورتی که فولاد از نوع ST37 ( تنش تسلیم Fy=240MPa و Fu=370MPa) باشد، مقدار مقاومت خمشی اسمی مقطع بر حسب کیلونیوتن – متر در محدوده سوراخ به کدامیک از مقادیر زیر نزدیک تر است؟

1- 170                                   2- 150                                     3- 135                                      4- 110

حل: می دانیم در اعضای خمشی که دارای یک سوراخ در بال خود می باشند داریم:

در صورت برقراری این رابطه، سوراخ ها تاثیری بر مقاومت خمشی مقطع ندارند.مقاومت اعضای خمشی بال دار فولادی

در این سوال، با جایگذاری پارامترهای داده شده در رابطه بالا داریم:

رابطه مقاومت خمشی اعضای خمشی فولادی

بنابراین سوراخ ها تاثیری بر مقاومت خمشی مقطع ندارند. حال برای محاسبه مقاومت خمشی مقطع براساس حالت حدی تسلیم (مهار جانبی بال فشاری کافی است) داریم:

محاسبه مقاومت خمشی مقطع براساس حالت حدی تسلیم

بنابراین گزینه 2 صحیح است.

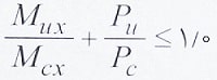
گسیختگی بال های دارای سوراخ تحت اثر لنگر خمشی و نیروی محوری

در محل سوراخ پیچ ها در بال های تحت اثر تنش کششی ناشی از اثر توام نیروی محوری و لنگر خمشی حول محور فوی، مقاومت گسیختگی کششی بال باید از طریق رابطه زیر کنترل گردد.

گسیختگی بالهای تیر فولادی

Pu: مقاومت محوری مورد نیاز

ΦPn=Pc: مقاومت محوری طراحی براساس حالت حدی گسیختگی کششی سطح مقطع خالص

Mux: مقاومت خمشی مورد نیاز

ΦbMnx=Mcx: مقاومت خمشی طراحی با رعایت الزامات گفته شده

Φt: ضریب کاهش مقاومت برای گسیختگی کششی برابر 0.75

Φb: ضریب کاهش مقاومت برای خمش مساوی 0.9

محدودیت ابعادی مقاطع I شکل تحت خمش

درباره مقاطع I شکل تحت لنگر خمشی، سه نکته مهم باید توجه شود:

1- مقطع اعضای با مقطع I شکل که دارای یک محور تقارن هستند، باید محدودیت زیر را ارضاء کنند.

محدودیت ابعادی مقاطع I شکل

Iy: ممان اینرسی مقطع کل حول محور y

Iyc: ممان اینرسی بال فشاری حول محور y در حالت انحنای ساده و ممان اینرسی بال کوچکتر حول محور y در حالت انحنای مضاعف

2- در اعضای با مقاطع I شکل با جان  لاغر باید  محدودیت های زیر نیز رعایت شوند.

محدودیت اعضای لاغر فولادی

h: فاصله بین شروع گردی ریشه جان به بال برای نیمرخ های نورد شده و فاصله آزاد بین دو بال برای مقاطع ساخته شده از ورق

a: فاصله آزاد بین سخت کننده های عرضی                               tw: ضخامت جان

E: مدول الاستیسیته فولاد                                                     Fy: تنش تسلیم فولاد

3- در اعضای بدون سخت کننده های عرضی نسبت h/tw نباید از 260 تجاوز نماید. همچنین نسبت سطح مقطع مقطع جان به سطح مقطع بال فشاری نباید از 10 تجاوز کند.

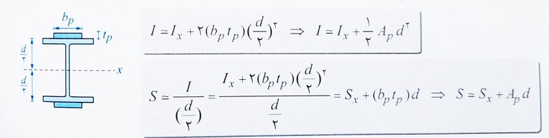
ورق های تقویتی بال تیرها

به دلیل تغییرات لنگر خمشی در طول تیر می توان از یک نیمرخ برای کل دهانه تیر استفاده نمود. ولی در عوض باید در نقاط با لنگر خمشی زیاد از ورق های تقویتی استفاده کرد.

ورق های تقویتی می توانند به صورت متقارن روی دو بال تیر و یا تنها روی یک بال تیر به کار گرفته شوند.

مقطع فرضی زیر را در نظر بگیرید. اگر Ix و Sx به ترتیب ممان اینرسی و اساس مقطع تیر I شکل تنها باشند آنگاه در محاسبه این مقادیر برای مقطع تقویت شده با ورق داریم:

ورق های تقویتی بال تیرها

Ap: مجموع مساحت هر یک از ورق های تقویتی می باشد که به صورت متقارن استفاده شده اند.

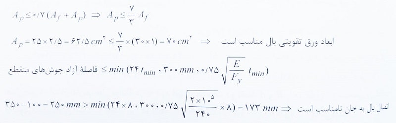
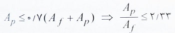
تذکر: مجموع سطح مقطع های ورق های تقویتی متصل شده با پیچ در تیرهای تقویت شده با ورق، نباید از 70 درصد، سطح مقطع کل بال (شامل ورق تقویتی) بیشتر شود.

مجموع سطح مقطع های بال تیر فولادی

ملاحظات ورق های تقویتی در بال مقاطع اعضای خمشی

1- پیچ های پر مقاومت و جوش های اتصال دهنده بال به جان و ورق های تقویتی به بال باید بر مبنای برش افقی ناشی از تغییرات لنگر خمشی تیر طراحی شوند.

توزیع طولی طول پیچ ها و جوش های منقطع باید متناسب با شدت برش باشد، لیکن فاصله آزاد آنها نباید از حداقل مقادیر 24t و 300 میلی متر یا فاصله آزاد بین ورق های تقویتی تجاوز نماید (پارامتر t ضخامت ورق جان یا بال، هر کدام که کوچکتر هستند می باشد.)

2- این پیچ ها و جوش ها باید برای انتقال هر نیروی که مستقیما از طریق بال به جان منتقل می شود، طراحی گردند مگر اینکه این نیروی به طریقی دیگر به جان انتقال یابد.

3- ورق های تقویتی که در تمام طول دهانه ادامه ندارند، باید بعد از نقطه قطع محاسباتی به طول مشخصی ادامه یافته و در این طول با پیچ های پر مقاومت اصطکاکی یا جوش گوشه به بال متصل شوند. این طول، طول گیرایی نامیده می شود.

4- اتصال ورق در طول گیرایی باید برای انتقال برش افقی از مقاومت خمشی سهم ورق تقویتی از مقاومت خمشی تیر در نقطه قطع محاسباتی  ورق (مساحت ورق تقویتی x تنش تسلیم فولاد) کافی باشد.

به عبارت دیگر، اتصال ورق در طول گیرایی باید بتواند نیروی Fy x Ap را منتقل کند.

5- حداقل طول گیرایی (a)، که از انتهای ورق اندازه گیری می شود، باید به شرح زیر در نظر گرفته شود.

  • برابر پهنای ورق تقویتی، در حالتی که جوش اتصال ورق تقویتی به تیر در طول a پیوسته و بعد ساق آن حداقل سه چهارم ضخامت ورق تقویتی باشد و در دو لبه کناری ورق تقویتی و در لبه انتهایی ورق اجرا شود.
  • یک و نیم برابر پهنای ورق تقویتی، در حالتی که بعد جوش پیوسته به طول a در دو لبه کناری ورق و در انتهای آن کمتر از سه چهارم ضخامت ورق تقویتی باشد.
  • دو برابر پهنای ورق تقویتی، در حالتی که جوش پیوسته به طول a فقط در دو لبه کناری ورق وجود دارد و در لبه انتهایی جوش اجرا نمی شود.

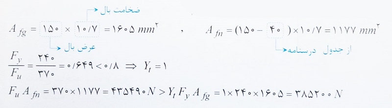
مثال: در مقطع تیر ورق نشان داده شده که با ورق تقویت شده است ( با اتصال پیچی )، بدون توجه به معیارهای مقاومتی کدام گزینه صحیح می باشد؟ (Fy=240MPa)

1- ابعاد ورق تقویتی نامناسب است ولی جوش اتصال بال به جان مناسب می باشد.

2- ابعاد ورق تقویتی مناسب است ولی اتصال بال به جان نامناسب می باشد.

3- ابعاد ورق تقویتی و اتصال بال به جان هر دو نامناسب است.

4- ابعاد ورق تقویتی و اتصال بال به جان هر دو مناسب است.

ابعاد ورق

حل: با توجه به ملاحظات گفته شده برای ورق های تقویتی داریم:

محاسبه ابعاد تیر ورق

بنابراین گزینه 2 صحیح است.

مثال: بر یک تیر دو سر مفصل به طول 5 متر که در طول خود مهار جانبی دارد. بار گسترده خطی در حالت نهایی به شدت 4.5 تن متر وارد می شود. اگر پروفیل مورد استفاده برای تیر IPE270 با اساس مقطع پلاستیک 484 سانتی متر مربع باشد و قصد داشته باشیم که در نواحی میانی تیر از ورق تقویتی استفاده کنیم، طول تئوریک ورق تقویتی مورد نیاز چقدر است؟ (نواحی تقویت شده تیر با ورق های بالا و پایین به عرض 8 سانتی متر و ضخامت 0.8 سانتی متر می باشند که اساس مقطع پلاستیک تیر در این نواحی برابر 662 سانتی متر مکعب است. همه فولادها از نوع ST37 می باشد)

1- 2.44 متر                                  2- 2.54 متر                                     3- 2.86 متر                           4- 2.94 متر

حل: در تیر دو سر مفصل تحت بار گسترده خطی، توزیع لنگر خمشی، به شکل زیر می باشد:

نمودار توزیع لنگر خمشی تیر دو سر مفصل تحت بار گسترده

از طرفی با توجه به اینکه تیر مورد نظر در کل طول خود مهار جانبی شده است، می توان گفت که مقاومت خمشی آن تنها براساس حالت حدی تسلیم می باشد و بنابراین برای قسمت های مختلف تیر داریم:

مقاومت خمشی تیر

حال با توجه به شکل زیر، می توان گفت که در محدوده ای از طول تیر که لنگر خمشی بیش از ظرفیت IPE270 تنهاست، باید از IPE270 تقویت شده استفاده کرد. طول این محدوده را می توان با نوشتن معادله تغییرات لنگر خمشی در طول تیر بدست آورد.

نمودار لنگر خمشی

محاسبه لنگر خمشی تیر

همانطور که انتظار داریم، حل معادله درجه دوم فوق، مختصات دو نقطه A و B را در طول تیر مشخص می کند. از سوی دیگر واضح است که فاصله این دو نقطه برابر نمودار لنگر می باشد.

بنابراین گزینه 2 صحیح است.

طول واقعی ورق تقویتی

طول واقعی ورق تقویتی مقداری بزرگتر از طول تئوریک آن است. براساس آیین نامه، ورق تقویتی باید از هر دو طرف به اندازه کافی بعد از نقطه قطع تئوریک ادامه یابد. 

در این طول اضافه، ورق تقویتی باید نیروی FyxAp را به تیر منتقل کند، یعنی اتصال ورق تقویتی به تیر باید توانایی انتقال این نیرو را داشته باشد.

برای درک بهتر این موضوع، فرض کنید در مثال بالا اتصال ورق تقویتی به پروفیل تیر توسط جوش گوشه است که تنها در دو لبه کناری ورق وجود دارد.

اگر به طور مثال مقاومت هر سانتی متر از طول این جوش برابر 400 کیلوگرم باشد، طول مورد نیاز برای جوش ورق تقویتی به پروفیل برابر است با:

طول واقعی ورق تقویتی

از آنجا که ورق تقویتی در دو لبه کناری خود جوش می شود، طول اضافی ورق تقویتی برابر است با:

طول اضافه ورق تقویتی

بنابراین نتیجه می گیریم که ورق تقویتی باید از هر دو طرف خود به اندازه 20 سانتی متر افزایش طول داشته باشد تا بتواند نیروی ایجاد شده در خود را به پروفیل منتقل کند.

پس طول ورق تقویتی مورد نیاز برابر است با:

طول ورق تقویتی

دقت: طول اضافه ورق تقویتی در هر طرف نقطه قطع تئوریک، باید از حداقل آیین نامه (a) بیشتر باشد. مقدار a باید با توجه به شرایط این تست، دو برابر پهنای ورق تقویتی یعنی 0.16m = 0.08 x 2 است.

از آنجا که طول اضافه محاسبه شده یعنی 0.2 متر از مقدار حداقل یعنی 0.16 متر بیشتر است، این الزام آیین نامه نیز برقرار می باشد.

توجه: اگر در مثال بالا گفته شده بود که ورق تقویتی در دو لبه کناری خود به پروفیل جوش شده و مقاومت جوش آن برابر 400 کیلوگرم به ازای هر سانتی متر است، چنانچه طول واقعی (مورد نیاز) ورق تقویتی خواسته شده بود گزینه 4 باید انتخاب میشد.

پیج اینستاگرام سیویل 2

کانال تلگرام سیویل 2

0 پاسخ

دیدگاه خود را ثبت کنید

تمایل دارید در گفتگوها شرکت کنید؟
در گفتگو ها شرکت کنید.

دیدگاهتان را بنویسید

نشانی ایمیل شما منتشر نخواهد شد. بخش‌های موردنیاز علامت‌گذاری شده‌اند *