الزامات ویژه بال ها و جان مقاطع اتصالات فولادی
الزامات ویژه بال ها و جان مقاطع اتصالات فولادی
در این پست به بررسی جان و بال ( یا بال های) مقاطع اعضایی که به یک یا هر دو بال آنها نیروهای متمرکز در امتداد عمود بر صفحه بال و به طور متقارن نسبت به جان اثر می کند می پردازیم.
نیروهای متمرکز می توانند به صورت تک یا زوج نیرو باشند، نیروی متمرکز تکی به صورت فشاری یا کششی و زوج نیرو یکی کششی و دیگری فشاری بوده و ایجاد لنگر در عضو می نماید.
بال (یا بال ها) و جان اعضایی که تحت اثر بار متمرکز بر بال قرار می گیرند، باید دارای مقاومت طراحی کافی جهت اقناع این معیارها باشند.
خمش موضعی بال در مقابل نیروی متمرکز کششی
الزامات این بند برای هر دو حالت نیروی کششی متمرکز تکی و مولفه کششی زوج نیروی متمرکز کاربرد دارد.

مقاومت طراحی خمش موضعی بال در مقابل نیروی متمرکز کششی، مساوی ΦRn می باشد که در آن Φ ضریب کاهش مقاومت برابر 0.9 و Rn مقاومت اسمی طبق رابطه زیر می باشد.
![]()
که در آن:
tf: ضخامت بال تحت نیروی کششی Fyt: تنش تسلیم بال
تذکر 1: در صورتی که طول بارگذاری شده در امتداد پهنای بال (b1)، کوچکتر از 0.15bf باشد، بررسی رابطه ارائه شده در این بند الزامی نیست.
تذکر 2: در صورتی که نیروی کششی در فاصله ای کمتر از 10tf از انتهای عضو اثر نماید ( e<10tf)، مقدار Rn حاصل از رابطه ارائه شده در این بند باید 50 درصد کاهش یابد.
تبصره: در صورتی که مقاومت مورد نیاز (Tu) از مقاومت طراحی (ΦRn) بیشتر باشد، تعبیه یک جفت سخت کننده دارای مقاومتی حداقل برابر با اختلاف قیمت مورد نیاز و مقاومت طراحی در محل بارهای متمرکز ضروری است.
در ستون ها به چنین سخت کننده هایی ورق پیوستگی گفته می شود.
توجه: در اتصالات گیردار بتنی تیر به ستون، چنانچه ضخامت بال ستون (tf) در رابطه زیر صدق نکند، باید از ورق پیوستگی در ستون استفاده شود. دقت کنید که رابطه زیر از ساده کردن رابطه بالا بدست آمده است.

مثال: در اتصال گیردار زیر، آیا ستون در برابر بال های کششی نیاز به تقویت دارد؟ (ممان نهایی در تیرها 36ton.m می باشد و Fy=2400kg/cm2)
1- خیر، نیاز به سخت کننده ندارد.
2- بله نیاز به سخت در تمام عرض جان ستون دارد.
3- بله، نیاز به سخت کننده در نیمی از عرض جان ستون دارد.
4- نیاز یا عدم نیاز به سخت کننده بستگی به نوع جوش اتصال بال کششی به ستون دارد.

حل:

اگر رابطه زیر برای ضخامت بال ستون برقرار باشد، نیاز به سخت کننده در بال کششی نداریم:

تسلیم موضعی جان در مقابل نیروی متمرکز کششی و فشاری
الزامات این بند برای نیروی کششی متمرکز تکی، نیروی فشاری متمرکز تکی و هر دو مولفه فشاری و کششیزوج نیروی متمرکز کاربرد دارد.

مقاومت طراحی تسلیم موضعی جان در مقابل نیروی متمرکز کششی و فشاری، مساوی ΦRn می باشد که در آن Φ ضریب کاهش مقاومت مساوی 1 و Rn مقاومت اسمی است که براساس حالت حدی تسلیم موضعی جان به شرح زیر تعیین می شود.
![]()
1- در حالتی که بار متمرکز، در فاصله ای بزرگتر از d از انتهای عضو وارد می شود:
![]()
2- در حالتی که بار متمرکز، در فاصله ای مساوی یا کوچکتر از d از انتهای عضو وارد می شود:
![]()
پارامترهای مورد استفاده در روابط فوق عبارتند از:
Fyw: تنش تسلیم فولاد جان tw: ضخامت جان مقطع مورد بررسی برای تسلیم
d: ارتفاع کلی مقطع مورد بررسی برای تسلیم
k: فاصله از وجه بیرونی بال تا انتهای دو ماهیچه جان و بال در مقاطع نورد شده و فاصله از وجه بیرونی بال تا انتهای جوش اتصال بال و جان در مقاطع ساخته شده از ورق
lb: طول اتکای بار متمرکز (برای عکس العمل های تکیه گاهی، مقدار lb نباید کمتر از k در نظر گرفته شود)
تبصره: در صورتی که مقاومت مورد نیاز از مقاومت طراحی بیشتر باشد، تعبیه یک جفت سخت کننده دارای مقاومتی حداقل برابر با اختلاف مقاومت مورد نیاز و مقاومت موجود در محل بارهای متمرکز ضروری است.
مثال: در صورتی که نیروی متمرکز مطابق شکل زیر روی صفحه فولادی 100x100x20mm در نزدیکی انتهای آزاد تیر طره ای فولادی با مقطع IPE200 وارد گردد، مقاومت طراحی در برابر تسلیم موضعی جان به کدامیک از مقادیر زیر بر حسب کیلونیوتن نزدیک تر است؟ (فولاد تیر از نوع ST37 با تنش تسلیم 240MPa می باشد)
1- 270 2- 180 3- 200 4- 250

حل: در حالتی که بار متمرکز در فاصله ای مساوی یا کوچکتر از d (ارتفاع کلی مقطع تیر) از انتهای عضو وارد می شود، مقاومت طراحی در برابر تسلیم موضعی جان با احتساب ضریب تقلیل مقاومت 1 از رابطه زیر محاسبه می گردند:
![]()
که در رابطه فوق Fyw تنش تسلیم فولاد جان، tw ضخامت جان، k عمق ماهیچه ای در اتصال بال به جان مقطع و lb طول نشیمن بار متمرکز می باشد.
تذکر: در این تست فاصله بار متمرکز از انتهای تیر برابر 120=70+50 میلی متر است که از ارتفاع تیر (200 میلی متر) کوچکتر بوده و بنابراین بار از نوع تکیه گاهی محسوب می شود.

بنابراین گزینه 3 صحیح است.
لهیدگی جان در مقابل نیروی متمرکز فشاری
الزامات این بند برای نیروی فشاری متمرکز تکی و مولفه فشاری زوج نیروی متمرکز کاربرد دارد:

مقاومت طراحی لهیدگی جان در مقابل نیروی متمرکز فشاری، مساوی ΦRn می باشد که در آن Φ ضریب کاهش مقاومت مساوی 0.75 و Rn مقاومت اسمی است که براساس حالت حدی لهیدگی موضعی جان به شرح زیر تعیین می شود:
![]()
1- در حالتی که بار متمرکز، در فاصله ای مساوی یا بزرگتر از d/2 از انتهای عضو وارد می شود:

2- در حالتی که بار متمرکز، در فاصله ای کوچکتر از d/2 از انتهای عضو وارد می شود:
اگر lb/d≤0.2 باشد:

اگر lb/d>0.2 باشد:

پارامترهای مورد استفاده در روابط فوق عبارتند از:
Fyw: تنش تسلیم فولاد جان E: مدول الاستیسیته فولاد
tw: ضخامت جان tf: ضخامت بال تحت بار
lb: طول اتکایی بار متمرکز (برای عکس العمل تکیه گاهی، مقدار lb نباید کمتر از k در نظر گرفته شود)
d: ارتفاع کلی مقطع
تبصره: در صورتی که مقاومت مورد نیازاز مقاومت طراحی بیشتر باشد، تعبیه یک جفت سخت کننده دارای مقاومتی برابر با اختلاف مورد نیاز و مقاومت طراحی در محل بارهای متمرکز ضروری است.
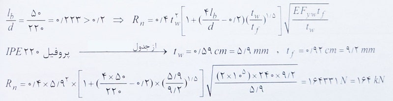
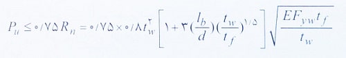
مثال: در شکل زیر مشاهده می کنید که برای اعمال یک نیروی متمرکز Pu به تیر IPE220 از صفحه فولادی به ابعاد 50x50x20mm استفاده شده است. اگر انتهای این صفحه در فاصله 60 میلی تری از انتهای پروفیل فولادی باشد، حداکثر مقدار نیروی Pu تنها براساس معیار لهیدگی جان تیر چقدر خواهد بود؟( فولاد تیر از نوع ST37 با تنش تسلیم 240MPa می باشد)
1- 141 2- 133 3- 115 4- 123

حل: برای تعیین مقاومت لهیدگی جان مقطع در برابر نیروی متمرکز فشاری، ابتدا باید فاصله بار متمرکز از انتهای عضو مشخص شود. از آنجا که در شکل این سوال، فاصله مورد نظر برابر 85=60+25 بوده و ارتفاع پروفیل فولادی برابر d=220mm است داریم:

حال باید نسبت پارامترهای lb به d مشخص شود که lb طول اتکایی بار متمرکز است (یعنی همان عرض 50 میلی متر که در شکل دیده می شود). بنابراین داریم:

دقت: در رابطه Rn یا باید ابعاد بر حسب mm و پارامترهای E و Fyw بر حسب MPa باشند یا اینکه ابعاد بر حسب cm و پارامترهای E و Fyw بر حسب kg/cm2 باشند.
![]()
بنابراین گزینه 4 صحیح است.
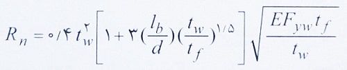
کمانش جانبی جان در مقابل نیروی متمرکز فشاری
الزامات این بند مربوط است به حالتی که یک نیروی فشاری متمرکز تکی، به عضوی اعمال می شود که از حرکت جانبی بین بال فشاری تحت بار و بال کششی، در محل تاثیر نیروی متمرکز توسط مهار جانبی جلوگیری نشده است.

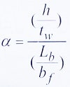
مقاومت طراحی کمانش جانبی جان در مقابل نیروی متمرکز فشاری، مساوی ΦRn می باشد که در آن Φ ضریب کاهش مقاومت مساوی 0.85 و Rn مقاومت اسمی است که براساس حالت حدی کمانش جانبی جان به شرح زیر تعیین می شود:
![]()
حال اگر پارامتر α را به صورت
تعریف کنیم، برای محاسبه Rn داریم:
1- اگر بال فشاری (بال بارگذاری شده) در مقابل دوران زاویه ای نگهداری شده باشد:
درصورتی که α≤2.3 باشد:

در صورتی که α>2.3 باشد، لزومی به کنترل کمانش جانبی جان نیست.
تبصره: در صورتی که مقاومت مورد نیاز از مقاومت طراحی بیشتر باشد، باید بال کششی را مهار نمود و یا از یک جفت سخت کننده در زیر بار متمرکز، یا از ورق تقویتی جان (ورق مضاعف) استفاده نمود. در صورت استفاده از ورق تقویتی جان، رعایت الزامات بند آیین نامه و در صورت استفاده از سخت کننده در زیر بار متمرکز رعایت الزامات بند آیین نامه ضروری است.
2- اگر بال فشاری (بال بارگذاری شده) در مقابل دوران زاویه ای نگهداری نشده باشد:
در صورتی که α≤1.7 باشد:

در صورتی که α>1.7 باشد، لزومی به کنترل کمانش جانبی جان نیست.
تبصره: در صورتی که مقاومت مورد نیاز از مقاومت طراحی بیشتر باشد، تعبیه مهار جانبی برای هر دو بال فشاری و کششی در محل اثر بار متمرکز ضروری است.
پارامترهای مورد استفاده در روابط فوق عبارتند از:
bf: پهنای بال tf: ضخامت بال tw: ضخامت جان
Lb: بزرگترین طول بدون مهار جانبی هر دو بال در محدوده اعمال بار متمرکز
h: ارتفاع آزاد جان (فاصله بین انتهای دو ماهیچه جان و بال در روی جان در مقاطع نورد شده و فاصله بین دو بال در مقاطع ساخته شده از ورق)
Cr: ضریبی است که به شرح زیر در نظر گرفته می شود:
اگر در محل اعمال بار متمرکز Mu<My باشد، Cr=6.62×10^6MPa است.
اگر در محل اعمال بار متمرکز Mu≥My باشد، Cr=3.31×10^6 است.
Mu: مقاومت خمشی مورد نیاز My: لنگر خمشی تسلیم
مثال: برای ساخت یک تیر فولادی از مقطع IPE330 استفاده شده است. اگر در محلی از این تیر که مقدار لنگر خمشی اندکی دارد یک نیروی متمرکز به بال تیر اعمال شود، حداکثر مقدار این بار تنها با توجه به معیار کمانش جانبی جان تقریبا چند کیلو نیوتن است؟ (بال بارگذاری شده تیر در مقابل دوران نگه داری شده است. طول بدون مهار جانبی هر دو بال در نحدوده اعمال بار متمرکز برابر 3 متر می باشد)
1- 1440 2- 1700 3- 1050 4- نیازی به کنترل کمانش جانبی نیست.
حل: از آنجا که بال بارگذاری شده تیر در مقابل دوران نگهداری شده است داریم:

حال می توان مقدار Rn را محاسبه کرد:

بنابراین گزینه 1 صحیح است.
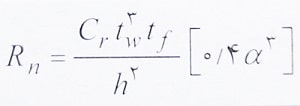
کمانش فشاری جان در مقابل یک جفت نیروی متمرکز فشاری
الزامات این بند مربوط است به حالتی که یک جفت نیروی فشاری تنها با یک جفت مولفه فشاری زوج نیرو در یک مقطع در جهت مخالف به بال های مقابل عضو اعمال می شوند.

مقاومت طراحی کمانش فشاری جان در مقابل یک جفت نیروی متمرکز فشاری، مساوی ΦRn می باشدکه در آن Φ ضریب کاهش مقاومت برابر 0.9 و Rn مقاومت اسمی است که براساس حالت حدی کمانش جان از رابطه زیر تعیین می شود:

پارامترهای مورد استفاده در روابط بالا عبارتند از:
tw: ضخامت جان
h: ارتفاع آزاد جان
Fyw: تنش تسلیم فولاد جان
E: مدول الاستیسیته
تذکر: در صورتی که جفت نیروی فشاری در فاصله ای کمتر از d/2 از انتهای عضو اثر نماید، مقدار Rn حاصل از رابطه ارائه شده در این بند باید 50 درصد کاهش یابد.
تبصره: در صورتی که مقاومت مورد نیاز از مقاومت طراحی بیشتر باشد، تعبیه یک جفت سخت کننده دارای مقاومتی حداقل برابر با اختلاف مقاومت مورد نیاز و مقاومت طراحی در محل بارهای متمرکز ضروری است.
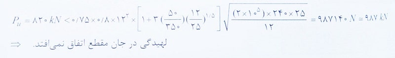
مثال: به یک مقطع فولادی مشابه شکل زیر، نیروی متمرکز 820kN به صورت کششی یا فشاری وارد می شود. در این مقطع کدامیک از حالت های حدی زیر امکان وقوع دارد؟ (فولاد از نوع ST37 با Fy=240MPa است. طول اتکای بار متمرکز روی بال مقطع برابر 50 میلی متر است. بار متمرکز در فاصله d/2 از انتهای عضو وارد می شود.)
1- خمش بال در برابر نیروی کششی
2- لهیدگی جان در برابر نیروی فشاری
3- کمانش فشاری جان در برابر نیروی فشاری
4- هیچکدام

حل: حالت های حدی گفته شده در گزینه های این تست، به دلیل ضعف بال یا جان مقطع در برابر نیروی متمرکز ایجاد شود که به ترتیب آنها را بررسی می کنیم.
کنترل خمش بال مقطع در برابر نیروی متمرکز کششی

کنترل لهیدگی جان مقطع در برابر نیروی متمرکز فشاری

توجه: مقدار lb طول اتکایی بار متمرکز است، در صورت تست داده شده است.

کنترل کمانش فشاری جان مقطع در برابر نیروی متمرکز فشاری:

بنابراین هیچ یک از حالت های حدی ذکر شده در گزینه های 1 تا 3 در این مقطع اتفاق نمی افتد و مقطع مورد نظر از این جهت مناسب می باشد. بنابراین گزینه 4 صحیح است.
برش در چشمه اتصال
چشمه اتصال به ناحیه ای از جان ستون گفته می شود که بین امتداد بال های بالا و پایین تیر محصور شده است.
در هنگام وقوع زلزله، نیروهای کششی و فشاری ایجاد شده در بال تیرها باعث ایجاد برش قابل ملاحظه ای در چشمه اتصال می شوند که باید توسط جان تحمل شود.

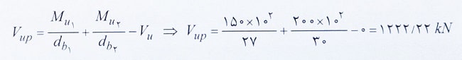
مقاومت برشی مورد نیاز در چشمه اتصال، Vup از رابطه زیر محاسبه می شود.

که در آن:
Mu1 و Mu2: به ترتیب لنگرهای خمشی انتهایی تیرهای سمت راست و چپ چشمه اتصال
db1 و db2: به ترتیب ارتفاع های کل مقاطع تیرهای سمت راست و چپ چشمه اتصال
Vu: نیروی برشی ستون در بالای چشمه اتصال
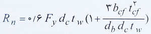
مقاومت برشی طراحی در چشمه اتصال مساوی ΦRn می باشد که در آن Φ ضریب کاهش مقاومت برابر 0.9 و Rn مقاومت اسمی است که براساس حالت حدی تسلیم برشی به شرح زیر تعیین می گردد.
1- در حالتی که تاثیر تغییر شکل چشمه اتصال در تحلیل سازه منظور نشود:
برای حالتی که Pu≤0.4Pc باشد:
![]()
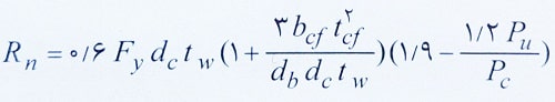
برای حالتی که Pu>0.4Pc باشد:

2- در حالتی که تاثیر تغییر شکل چشمه اتصال در تحلیل سازه منظور شود:
برای حالتی که Pu≤0.75Pc باشد:

برای حالتی که Pu>0.75Pc باشد:

پارامترهای مورد استفاده در روابط فوق عبارتند از:
bcf: پهنای بال ستون tcf: ضخامت بال ستون
dc: ارتفاع کلی مقطع ستون db: ارتفاع کلی مقطع تیر
tw: ضخامت جان مقطع ستون Fy: تنش تسلیم فولاد
Pu: مقاومت محوری مورد نیاز ستون Pc=Py=AgFy: مقاومت محوری تسلیم ستون
Ag: سطح مقطع کلی ستون
تبصره:
در صورتی که مقاومت برشی مورد نیاز چشمه اتصال از مقاومت برشی طراحی بیشتر باشد، تعبیه ورق تقویتی جان (ورق مضاعف) یا یک جفت سخت کننده قطری دارای مقاومتی حداقل برابر با اختلاف مقاومت مورد نیاز و مقاومت طراحی در محدوده چشمه اتصال ضروری است.

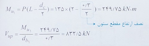
مثال: مقاومت برشی مورد نیاز چشمه اتصال ( Vup) به روش حالات حدی، چند کیلونیوتن است؟
1- 556 2- 667 3- 1222 4- 1241

حل: مقاومت برشی مورد نیاز چشمه اتصال (Vup) از رابطه زیر قابل محاسبه است:

توجه: ارتفاع مقاطع IPE برابر نمره آنها می باشد و از آنجا که ستون مورد نظر مربوط به طبقه آخر است و روی آن ستونی قرار ندارد، Vu برابر صفر است.
بنابراین گزینه 3 صحیح است.
مثال: بخشی از یک سازه فولادی شامل یک ستون و تیر طره ای متصل به آن که برای حمل بار زنده متمرکز 135 کیلونیوتنی طراحی شده، در شکل زیر نشان داده شده است. در طراحی به روش ضرایب بار و مقاومت، چشمه اتصال باید برای چه مقدار نیروی برشی مورد کنترل قرار گیرد؟ مشخصات مقطع برای تیر و ستون را یکسان و مطابق شکل زیر در نظر گرفته و از وزن سازه صرف نظر کنید.
1- 250 2- 833 3- 68 4- 135

حل: مقاومت برشی مورد نیاز در چشمه اتصال از رابطه زیر محاسبه می شود:

Mu1 و Mu2: لنگر انتهای تیر در دو طرف چشمه اتصال که در این سوال یکی از آنها صفر می باشد، زیرا تنها در یک سمت ستون تیر قرار دارد.
Vu: نیروی برشی ستون در بالای چشمه اتصال که در این سوال صفر می باشد، زیرا این ستون مربوط به طبقه انتهایی بوده و ستونی روی آن قرار ندارد.
با توجه به موارد گفته شده، بعد از محاسبه لنگر تیر در محل اتصال به ستون داریم:

تذکر: براساس صورت تست، مشخصات مقطع تیر و ستون یکسان می باشد.
بنابراین گزینه 2 صحیح است.
مثال: در یک قاب خمشی فولادی ویژه، عرض بال های تیر و ستون هر دو 20 سانتی متر و ضخامت بال هر دو عضو2 سانتی متر است. از ورق مضاعف در جان استفاده نشده و ضخامت جان تیر برابر 1 سانتی متر و ضخامت جان ستون برابر 1.5 سانتی متر است. ارتفاع مقطع تیر 40 سانتی متر و ارتفاع مقطع ستون نیز 40 سانتی متر می باشد. تاثیر تغییر شکل های چشمه اتصال در تحلیل سازه منظور شده و برای ستون نیروی نهایی محوری کمتر از 75 درصد مقاومت محوری تسلیم می باشد. مقاومت برشی طراحی در چشمه اتصال کدام یک از مقادیر زیر است؟ (Fy=2400kg/cm2)
1- 81180 2- 85536 3- 113520 4- 116160
حل: با توجه به شرایط گفته شده در صورت سوال با استفاده از رابطه زیر داریم:

بنابراین گزینه 2 صحیح است.
مثال: ضخامت ورق مضاعف مورد نیاز در چشمه اتصال شکل زیر، در صورتی که نسبت Pu به Pc برابر 0.2 باشد تنش تسلیم فولاد تیر و ستون 3500kg/cm2 باشد، چند میلی متر است؟ (Pu مقاومت محوری مورد نیاز ستون است و تاثیر تغییر شکل چشمه اتصال در تحلیل سازه منظور نمی شود. لنگر ایجاد شده در تیرها در بر ستون ها را 1.32 برابر لنگر پلاستیک مقطع تیر در نظر بگیرید. در صورت نیاز به ورق های مضاعف آنها را به صورت دوبل در دو سمت جان ستون استفاده می کنیم)
1- 20 2- 15 3- 12 4- در چشمه اتصال این ستون نیاز به ورق مضاعف نیست.

حل: به طور کلی ورق های تقویتی جان ستون (ورق های مضاعف) باید شرایط زیر را برآورده نمایند:
1- ضخامت ورق مضاعف و ابعاد آن باید جبران کمبود مقاومت جان ستون را بنماید.
2- جوش ورق مضاعف به جان باید برای انتقال نیروی سهم ورق مضاعف کافی باشد.
پس در این سوال برای تعیین ضخامت ورق چشمه اتصال، ابتدا مقدار مقاومت برشی مورد نیاز در چشمه اتصال را تعیین نموده و سپس مقاومت برشی طراحی را برابر آن قرار داده و ضخامت مورد نیاز جان تعیین می گردد.
اگر ضخامت مورد نیاز از ضخامت جان مقطع ستون کمتر بود نیاز به ورق مضاعف نیست وگرنه کمبود ضخامت را باید با تعبیه ورق مضاعف تامین نمود.

توجه: برای Vu مقداری در این تست داده نشده است.
حال با توجه به اینکه Pu/Pc=0.2 است و تاثیر تغییر شکل چشمه اتصال در تحلیل سازه منظور نشده است، مقاومت اسمی چشمه اتصال از رابطه زیر تعیین می گردد:
![]()
حال برای تعیین ضخامت جان مورد نیاز داریم:
![]()
ضخامت جان ستون (مقطع IPB300) برابر 1.1 سانتی متر است، پس بقیه ضخامت مورد نیاز باید توسط ورق های مضاعف تامین شود. در صورت استفاده از ورق های مضاعف در طرفین جان ستون و به موازات آن، ضخامت هر یک از آنها باید برابر
باشد، که در نتیجه از ورق های 15 میلی متری استفاده می شود. گزینه 2 صحیح است.




دیدگاه خود را ثبت کنید
تمایل دارید در گفتگوها شرکت کنید؟در گفتگو ها شرکت کنید.