محاسبه مقاومت خمشی در انواع مقاطع فولادی
محاسبه مقاومت خمشی در انواع مقاطع فولادی
پس از آشنایی با اصول طراحی خمشی اعضای فولادی در قسمت قبل حال می خواهیم نحوه طراحی اعضای خمشی با شکل های مختلف را بررسی کنیم.
به طور کلی برای طراحی خمشی اعضاء به روش ضرایب بار و مقاومت ( LRFD ) باید رابطه زیر برقرار باشد:
![]()
Mu: لنگر خمشی حداکثر در اثر ترکیب بارهای ضریب دار
Φb: ضریب کاهش مقاومت خمشی که در تمام حالت ها برابر 0.9 است.
Mn: مقاومت خمشی اسمی مقطع
برای تعیین مقاومت خمشی اسمی مقطع، باید معیارهای مختلفی بررسی شود که به آنها حالت های حدی می گوییم. به طور مثال در قسمت قبلی بیان کردیم که در صورت ارضای شرایط مورد نیاز، می توان ظرفیت خمشی مقطع را براساس ظرفیت پلاستیک آن تعیین کرد و از سوی دیگر باید از عدم رخ دادن کمانش در مقطع اطمینان حاصل کرد.
بر این اساس، معیارهای حاکم برای طراحی اعضای خمشی را می توان به صورت زیر دسته بندی کرد:
*معیار حالت حدی تسلیم ( Yelding )
*معیار حالت حدی کمانش موضعی ( Local Buckling )
*معیار حالت حدی کمانش پیچشی – جانبی ( Lateral Torosianal Buckling = LTB )
در اعضای خمشی بر حسب شکل مقطع ممکن است یک یا چند حالت حدی مقاومت ایجاد شود. به همین منظور برای طراحی این اعضاء باید ابتدا حالت های حدی حاکم بر طراحی عضو از جدول زیر تعیین شود.
دقت: انواع حالت های حدی اعضای خمشی به طور اختصار با حروف زیر شناخته می شوند که در جدول زیر نیز بیان شده اند:
Y: تسلیم LTB: کمانش پیچشی – جانبی FLB: کمانش موضعی بال
WLB: کمانش موضعی جان TFY: تسلیم کششی بال LLB: کمانش موضعی ساق
LB: کمانش موضعی C: فشرده NC: غیر فشرده
S: لاغر N/A: کاربرد ندارد.

توجه: در مواردی که دو یا چند حالت برای یک مقطع عنوان شده است، بحرانی ترین حالت ملاک عمل قرار می گیرد. به عبارت دیگر لنگر اسمی مقطع برای هر حالت محاسبه شده و کوچکترین آنها در محاسبات منظور می شود.
مثال: برای کدامیک از حالات زیر بررسی کنترل کمانش پیچشی – جانبی لازم است؟
1- مقطع ناودانی حول محور ضعیف
2- مقطع I شکل فشرده با دو محور تقارن با خمش حول محور قوی
3- مقطع I شکل نامتقارن با جان لاغر با خمش حول محور ضعیف
4- مقطع قوطی تو خالی با خمش حول محور قوی
حل:
در خمش حول محور ضعیف که مقطع کمترین باربری خمشی را دارد، اساسا پدیده کمانش پیچشی – جانبی اتفاق نمی افتد و گزینه های 1 و 3 نمی توانند جواب تست باشند.
از طرفی مقاطع قوطی شکل و لوله ای چون سختی پیچشی بالایی دارند نمی توانند کمانش پیچشی – جانبی کنند و بنابراین گزینه چهارم نیز قابل قبول نیست.
در تیر I شکل فشرده در خمش حول محور قوی اش یکی از حالات حدی که باید بررسی شود، کمانش پیچشی – جانبی است.
توجه کنید که همه موارد مذکور از جدول بالا قابل درک است. همانطور که در این جدول مشاهده می شود، از گزینه های این تست فقط برای مقطع I شکل فشرده با دو محور تقارن با خمش حول محور قوی، کمانش پیچشی – جانبی ( پدیده LTB ) رخ می دهد.
بنابراین گزینه 2 صحیح است.
مقاومت خمشی مقاطع I شکل و ناودانی حول محور قوی
برای مقاطع I شکل و ناودانی، نحوه تعیین مقاومت خمشی کاملا وابسته به فشردگی اعضای مقطع می باشد.
در صورتی که همه اجزای مقطع فشرده باشند، حالت های حدی حاکم بر عضو تنها شامل معیار تسلیم و معیار کمانش پیچشی – جانبی می باشد ولی اگر هر یک از اجزای مقطع غیر فشرده یا لاغر باشند، حالت های حدی کمانش موضعی نیز باید کنترل گردند.
براساس این موضوع، چهار حالت کلی زیر برای تعیین مقاومت خمشی مقاطع I شکل و ناودانی حول محور قوی آنها وجود دارد:
*اعضای با مقطع I شکل فشرده با دو محور تقارن و اعضای با مقطع ناودانی فشرده
*اعضای با مقطع I شکل با دو محور تقارن با بال های غیر فشرده و جان فشرده
*اعضای با مقطع I شکل با یک یا دو محور تقارن با بالهای فشرده یا غیر فشرده و جان فشرده یا غیر فشرده
*اعضای با مقطع I شکل با یک یا دو محور تقارن با بال های فشرده یا غیر فشرده و جان لاغر
در ادامه بحث، ضوابط مرتبط با هر یک از موارد فوق و روابط تعیین مقاومت خمشی آنها را بررسی خواهیم کرد.
اعضای با مقطع I شکل فشرده با دو محور تقارن و با مقطع ناودانی فشرده تحت خمش حول محور قوی
ضوابط مرتبط با این موارد در قسمت قبلی بررسی شدند. همانطور که به یاد دارید در آن بخش ضوابط مقاطع I شکل را بررسی کردیم و حال باید گفت که ضوابط ناودانی فشرده نیز مشابه همان موارد می باشد.
در اینجا برای یادآوری حالت های حدی مرتبط با این موارد را ذکر می کنیم:

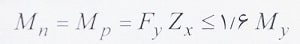
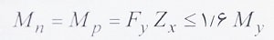
الف) حالت حدی تسلیم ( Y ): برای حالت تسلیم، لنگر اسمی این نوع از مقاطع برابر لنگر پلاستیک آنها بوده و با استفاده از رابطه زیر بدست می آید:
![]()
Mn: لنگر پلاستیک؛ Fy تنش تسلیم فولاد؛ Zx: اساس مقطع پلاستیک حول محور x
ب) حالت حدی کمانش پیچشی – جانبی ( LTB ):
1- اگر Lb≤Lp باشد لزومی به در نظر گرفتن کمانش پیچشی – جانبی نمی باشد.
2- برای Lp<Lb≤Lr :

3- برای Lb>Lr:
![]()
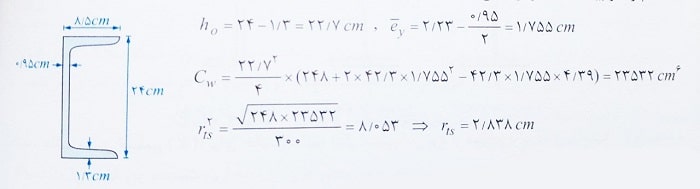
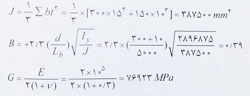
مثال: برای یک ناودانی از نوع UNP240 مقادیر تقریبی ثابت تابیدگی و شعاع ژیراسیون موثر بال فشاری به ترتیب چقدر است؟
1- 23500 و 2.8
2- 24500 و 2.8
3- 23500 و 3.1
4- 24500 و 3.1
حل:
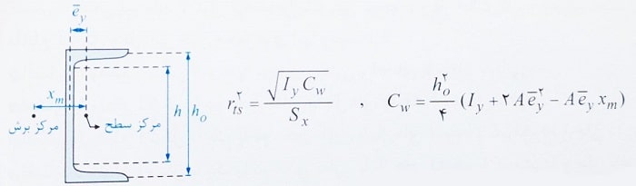
برای یک مقطع ناودانی که در شکل زیر نشان داده شده است، پارامترهای Cw و rts به صورت زیر تعریف می شوند:

حال می توان براساس مشخصات ناودانی از نوع UNP240 که در جدول ارائه شده مقادیر مورد نظر را محاسبه نمود.

توجه: پارامتر Xm فاصله مرکز سطح و مرکز برش ناودانی است.

بنابراین گزینه 1 صحیح است.
هر چند مقادیر Cw و rts برای پروفیل UNP240 در جدول داده شده بود ولی قصد نحوه محاسبه تحلیلی و تقریبی آنها را داشتیم.
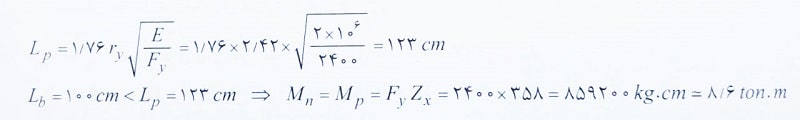
مثال: در مثال قبل اگر مقطع ناودانی مورد نظر به عنوان تیری دو سر مفصل با طول چهار متر به کار رفته باشد و دارای مهارهای جانبی در فواصل یک متری باشد، حداکثر بار گسترده یکنواخت روی آن چند کیلوگرم بر متر می تواند باشد؟ ( Fy=2400kg/cm2 و Zx=358 cm3 تنها کنترل خمش تیر مد نظر است، راستای بار از مرکز برش مقطع عبور می کند.)
1- 2870 2- 3870 3- 3477 4- 2477
حل:
مقطع ناودانی اشتال، فشرده بوده و تنها باید مهار جانبی آن کنترل شود، فاصله مهارهای جانبی در این تیر برابر یک متر است و داریم:

حال برای تیر دو سر مفصل تحت بار گسترده و یکنواخت داریم:

بنابراین گزینه 2 صحیح است.
جدول کاربردی
در جدول زیر پارامترهای تکمیلی مورد نیاز برای محاسبات خمش مقاطع UNP ارائه شده است.

توجه: مشخصات کامل مقاطع UNP در جدول قسمت های قبل آورده شده است.
اعضای با مقطع I شکل با دو محور تقارن با بال های غیر فشرده و جان فشرده حول محور قوی
مقاومت خمشی اسمی (Mn) این نوع اعضاء باید برابر کوچکترین مقدار محاسبه شده براساس حالت های حدی کمانش پیچشی – جانبی و کمانش موضعی بال فشاری در نظر گرفته شود.

الف) حالت حدی کمانش پیچشی – جانبی ( LTB ): الزامات این حالت حدی عینا مشابه حالت ب بالا می باشد.
ب) حالت حدی کمانش موضعی بال فشاری غیر فشرده:

λ: نسبت پهنا به ضخامت بال فشاری مطابق جدول
λp=λrf : حد لاغری برای بال فشرده مطابق جدول
λr=λrf : حد لاغری برای بال غیر فشرده مطابق جدول
tf و bf: به ترتیب ضخامت و پهنای بال فشاری مقطع
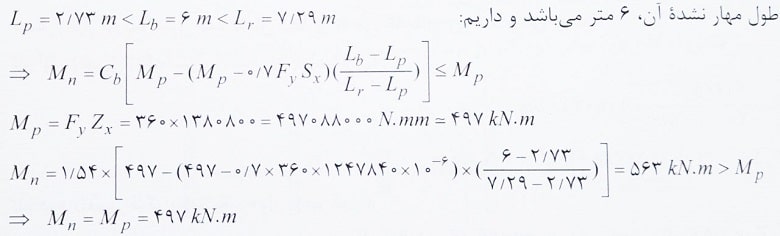
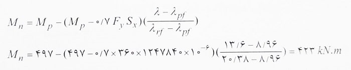
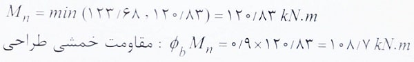
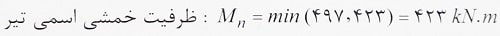
مثال: برای تیری به طول 6 متر از مقطع نشان داده شده که از فولاد ST52 ساخته شده و تنها در تکیه گاه های خود دارای مهار جانبی بال فشاری است، مقاومت خمشی اسمی بر حسب کیلونیوتن – متر به کدام گزینه نزدیک تر است؟ ( Lp=2.73 m ، Sx=1247840 mm4 ، Zx=1380800 mm3 و پارامتر Cb برای این تیر برابر 1.54 است )
1- 388 2- 457 3- 423 4- 497

حل: ابتدا شرایط مقطع را کنترل می کنیم:

توجه: در رابطه فوق از ضرایب زیر استفاده شده است:

حال با توجه به اینکه مقطع غیر فشرده و جان آن فشرده است باید ظرفیت خمشی را براساس کمانش پیچشی – جانبی و کمانش موضعی بال به طور جداگانه محاسبه کرده و کمترین مقدار آنها را به عنوان ظرفیت خمشی در نظر بگیریم.
1- حالت حدی کمانش پیچشی – جانبی: تیر مورد نظر تنها در تکیه گاه های خود دارای مهار جانبی است بنابراین طول مهار نشده آن 6 متر می باشد و داریم:

2- حالت حدی کمانش موضعی بال فشاری:

حال می توان گفت که ظرفیت خمشی این تیر برابر کمترین مقدار بدست آمده از دو حالت حدی است و یعنی داریم:
![]()
به عبارت دیگر در این تیر کمانش موضعی بال فشاری زودتر از کمانش پیچشی – جانبی اتفاق می افتد و این حالت بحرانی تر است. بنابراین گزینه 3 صحیح است.
سایر اعضای I شکل با یک یا دو محور تقارن با بال های فشرده یا غیر فشرده و جان فشرده یا غیر فشرده حول محور قوی
مقاومت خمشی اسمی ( Mn ) این نوع اعضاء باید برابر کوچکترین مقدار محاسبه شده براساس حالت های حدی تسلیم بال فشاری، کمانش پیچشی جانبی، کمانش موضعی بال فشاری و تسلیم بال کششی در نظر گرفته شود.

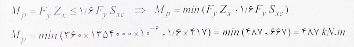
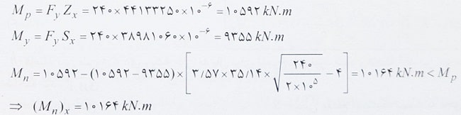
مثال: مقطع I شکل شکل زیر را در نظر بگیرید که دارای بال های نامتقارن می باشد و تحت اثر لنگر خمشی مثبت حول محور قوی قرار دارد. در این مقطع جان فشرده بوده و هر دو بال غیر فشرده هستند. اگر Fy=360MPa و طول تیر 6 متر باشد، مقاومت خمشی اسمی این تیر براساس معیار تسلیم بال فشاری تقریبا چقدر است؟
Ix=244650000 mm4 ، Iy35540000 mm4 ، Zx=1354000 mm3، Zy=387300 mm3
1- 520 2- 417 3- 667 4- 487

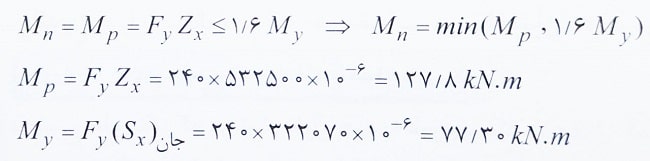
حل: برای یک مقطع I شکل نامتقارن با بال های غیر فشرده و جان فشرده که حول محور قوی خود تحت لنگر خمشی قرار دارد، کنترل تسلیم بال فشاری با طی گام های زیر انجام می شود:
گام اول (تعیین لنگر تسلیم نسبت به بال فشاری):

گام دوم ( تعیین لنگر پلاستیک حول محور قوی):

گام سوم (محاسبه پارامترهای hc و hb ):
![]()
گام چهارم (محاسبه پارامترهای λw، λpw ، λrw) : از آنجا که صورت این تست بیان کرده که جان مقطع فشرده است، نیازی به محاسبه این پارامترها نیست.
گام پنجم (محاسبه ضریب پلاستیک جان):

گام ششم (محاسبه ظرفیت خمشی اسمی براساس معیار تسلیم بال فشاری):
![]()
توجه: در این مقطع ظرفیت خمشی براساس معیار تسلیم بال فشاری، برابر با ظرفیت خمشی پلاستیک مقطع شده است.
بنابراین گزینه 4 صحیح است.
اعضای با مقطع I شکل با یک یا دو محور تقارن با بال های فشرده و غیر فشرده و جان لاغر حول محور قوی
مقاومت خمشی اسمی (Mn) این نوع اعضاء باید برابر کوچکترین مقدار محاسبه شده براساس حالت های حدی تسلیم بال فشاری، کمانش پیچشی – جانبی، کمانش موضعی بال فشاری و تسلیم بال کششی در نظر گرفته شود.

مقاومت خمشی مقاطع I شکل و ناودانی حول محور ضعیف
مقاومت خمشی اسمی (Mn) باید برابر کوچکترین مقدار محاسبه شده براساس حالت حدی تسلیم و کمانش موضعی بال در نظر گرفته شود.

الف) تسلیم:
![]()
Fy: تنش تسلیم فولاد
Sy: اساس مقطع الاستیک نسبت به محور ضعیف (محور y)
Zy: اساس مقطع پلاستیک نسبت به محور ضعیف (محور y)
ب) کمانش موضعی بال:
1- برای مقاطع با بال های فشرده لزومی به در نظر گرفتن کمانش موضعی بال نمی باشد.
2- برای مقاطع با بال های غیر فشرده:

Sy: اساس مقطع الاستیک نسبت به محور ضعیف (محور y)
λ: نسبت پهنا به ضخامت بال فشاری و برابر با b/2tf
b: پهنای کلی بال برای مقاطع ناودانی و نصف پهنای کلی بال برای مقاطع I شکل
tf: ضخامت بال
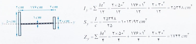
مثال: براساس حالت حدی تسلیم، مقاومت خمشی اسمی مقطع تیر ورق زیر حول محور ضعیف به کدامیک از مقادیر زیر نزدیک تر است؟ (Fy=240MPa)
1- 610 2- 230 3- 420 4- 390

حل: برای خمش مقطع I شکل حول محور ضعیف حالت حدی تسلیم و کمانش موضعی بال وجود دارد. طبق صورت سوال چون تنها حالت حدی تسلیم مد نظر است، داریم:

بنابراین برای محاسبه مقاومت اسمی، نیاز به داشتن پارامترهای Zy و Sy می باشد. برای این منظور، در شکل زیر مقطع را 90 درجه چرخاندیم تا دید بهتری برای شما ایجاد شود.
حال مشخصات مشخصات مقطع را حول محور ضعیف آن (محور y) محاسبه می کنیم:

حال برای محاسبه مقاومت خمشی اسمی مقطع داریم:

یادآوری: هر kg.cm معادل با 10 به توان منفی 4 کیلونیوتن سانتی متر می باشد.
بنابراین گزینه 4 صحیح است.
مثال: برای یک مقطع IPE270 که به عنوان تیر استفاده شده است، مهار جانبی ناحیه فشاری در کل طول تیر وجود داشته و کمانش موضعی نیز مدنظر نمی باشد. در این حالت نسبت مقاومت خمشی اسمی مقطع حول محور قوی به ضعیف تقریبا چقدر است؟( Fy=2400kg/cm2)
1- 5.2 2- 5 3- 4.8 4- 4.6
حل: براساس جدول داریم:

بنابراین گزینه 2 صحیح است.
مقاومت خمشی مقاطع قوطی شکل
مقاومت خمشی اسمی (Mn) این اعضاء باید برابر کوچکترین مقدار محاسبه شده براساس حالت های حدی تسلیم کمانش موضعی بال و کمانش موضعی جان در نظر گرفته شود.

الف) تسلیم:
![]()
Fy: تنش تسلیم فولاد Z: اساس مقطع پلاستیک نسبت به محور خمش
ب) کمانش موضعی بال:
1- برای مقاطع با بال های فشرده، لزومی به در نظر گرفتن کمانش موضعی بال نمی باشد.
2- برای مقاطع با بال های غیر فشرده:

S: اساس مقطع الاستیک نسبت به محور خمش
E: مدول الاستیسیته فولاد
Fy: تنش تسلیم فولاد
tf: ضخامت بال
b: پهنای بال که برابر فاصله بین دو خط وسایل اتصال می باشد.
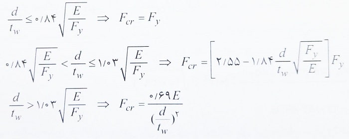
پ) کمانش موضعی جان:
1- برای مقاطع با جان های فشرده لزومی به در نظر گرفتن کمانش موضعی جان نمی باشد.
2- برای مقاطع با جان های غیر فشرده:

h: فاصله بین شروع گردی ریشه جان به بال برای نیمرخ های نورد شده و فاصله آزاد بین دو بال برای مقاطع ساخته شده از ورق
tw: ضخامت جان S: اساس مقطع الاستیک نسبت به محور خمش
مثال: برای مقطع قوطی شکل زیر، نسبت مقاومت خمشی حول محور y به مقاومت خمشی حول محور x چقدر است؟ (ضخامت همه ورق ها 35 میلی متر می باشد و Fy=240MPa است، Sx=38981060 mm3 و Sy=51175268 mm3 و Zx=44133250 mm3 و Zy=61895750 mm3 )
1- 1.46 2- 1.56 3- 1.50 4- 1.40

حل: برای بررسی مقاطع قوطی شکل تحت خمش، ابتدا باید وضعیت فشردگی بال و جان مقطع را براساس جدول گفته شده بررسی شود.
دقت کنید که با عوض شدن جهت لنگر خمشی وارد بر مقطع قوطی شکل، جای بال و جان آن نیز عوض می شود.



حال می توان مقاومت خمشی مقطع مورد نظر را در دو حالت فوق بررسی کرد.
حالت اول: تحت لنگر Mx بال غیر فشرده و جان فشرده است. پس رابطه زیر را در برای حالت کمانش موضعی بال کنترل می کنیم.

در این حالت باید از Zx=44133250 mm3 و Sx=38981060 mm3 استفاده کنیم و بنابراین داریم:

حالت دوم: تحت لنگر My بال و جان مقطع فشرده هستند و تنها معیار تسلیم کنترل کننده می باشد. دقت کنید که در این حالت باید از Zy=61895750 mm3 استفاده کنیم و داریم:
![]()
حال نسبت مقاومت خمشی ها برابر است با:

بنابراین گزینه 1 صحیح است.
مقاومت خمشی مقاطع لوله ای شکل
الزامات این بند مربوط است به تعیین مقاومت خمشی اسمی اعضای لوله ای شکل که در آنها
می باشد.
در صورتی که
باشد، مقطع لاغر محسوب می شود و استفاده از این نوع مقاطع برای اعضای خمشی مجاز نمی باشد.

مقاومت خمشی اسمی Mn، این اعضاء باید برابر کوچکترین مقدار محاسبه شده براساس حالت های حدی تسلیم و کمانش موضعی در نظر گرفته شود.
الف) تسلیم:
![]()
که در آن:
Fy: تنش تسلیم و Z: اساس مقطع پلاستیک
ب): کمانش موضعی:
در صورتی که مقطع فشرده باشد، لزومی به در نظر گرفتن حالت حدی کمانش موضعی نیست.
در صورتی که مقطع غیر فشرده باشد:

D: قطر خارجی مقطع لوله ای شکل t: ضخامت جدار
S: اساس مقطع الاستیک E: مدول الاستیسیته فولاد
مثال: در یک مقطع لوله ای شکل به قطر خارجی 600 میلی متر و ضخامت 10 میلی متر، مقدار تنش تسلیم مصالح (Fy) چند مگاپاسکال باشد تا ظرفیت خمشی مقطع براساس معیار تسلیم و معیار کمانش موضعی برابر شود؟
1- 207 2- 256 3- 314 4- این حالت به ازای هیچ مقدار از Fy نمی تواند اتفاق بیفتد.
حل: با توجه به جدول در جلسات قبل، می توان گفت که مقطع مورد نظر جدار نازک بوده و مشخصات مورد نیاز آن به صورت زیر بدست می آید.

حال می توان مقاومت اسمی این مقطع براساس معیارهای تسلیم و کمانش موضعی را با یکدیگر برابر قرار داده و مقدار Fy مناسب را بدست آورد:

بنابراین گزینه 2 صحیح است.
مقاومت خمشی مقاطع نبشی جفت و سپری
مقاومت خمشی اسمی این نوع اعضاء، باید برابر کوچکترین مقدار محاسبه شده براساس حالت های حدی تسلیم، کمانش پیچشی – جانبی، کمانش موضعی بال و کمانش موضعی جان در نظر گرفته شود.

الف) تسلیم:
1- در صورتی که جان مقطع تحت کشش باشد (بال تحت فشار باشد):
![]()
2- در صورتی که جان مقطع تحت فشار باشد (بال تحت کشش باشد ):
![]()
Zx: اساس مقطع پلاستیک نسبت به محور x (محور خمش)
My: لنگر تسلیم مقطع
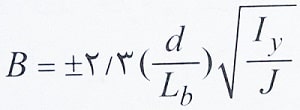
ب) کمانش پیچشی – جانبی:

که در آن:

در رابطه مورد استفاده برای محاسبه پارامتر B، علامت مثبت برای حالتی است که بال ها تحت فشار و علامت منفی برای حالتی است که بال یا بال ها تحت کشش هستند.
Iy: ممان اینرسی حول محور تقارن
J: ثابت پیچشی
d: ارتفاع کلی مقطع
Lb: فاصله مهارهای جانبی
پ) کمانش موضعی بال سپری ها:
1- برای مقاطع با بال کششی و برای مقاطع با بال فشرده، لزومی به در نظر گرفتن حالت حدی کمانش موضعی بال نمی باشد.
2- برای مقاطع با بال فشاری غیر فشرده:

Sxc: اساس مقطع الاستیک نسبت به بال فشاری
My: لنگر تسلیم مقطع
Mp: لنگر پلاستیک مقطع
λ: نسبت پهنا به ضخامت بال فشاری و برابر با bf/2tf
λp=λpf: حد لاغری برای بال فشرده مطابق جدول
λr=λrf: حد لاغری برای بال غیر فشرده مطابق جدول
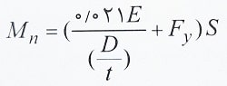
ت) کمانش موضعی جان سپری ها:
حالت حدی کمانش موضعی جان سپری هایی که بال آنها تحت کشش است، مورد استفاده قرار می گیرد و از رابطه زیر تعیین می شود:
![]()
Sx: اساس مقطع الاستیک نسبت به انتهای آزاد جان سپری
Fcr: تنش کمانشی جان مطابق روابط زیر:

مثال: مقطع سپری شکل زیر را در نظر بگیرید که برای تیری دو سر مفصل به طول 5 متر استفاده شده است. مقاومت خمشی طراحی این مقطع با توجه به جهت لنگر نشان داده شده است، تقریبا چقدر است؟ (Fy=240MPa، مهارهای جانبی در دو انتهای تیر به کار برده شده اند. Ix=60790625 mm4 و Iy=2896875 mm4 و Sx=501366 mm3 بال و Sx=322070 mm3 جان و Sy=38625 mm3 و Zx=532500 mm3 و Zy=73125 mm3 )
1- 109 2- 111 3- 121 4- 123

حل: برای مقطع سپری باید چهار حالت حدی به شرح زیر بررسی شوند.
الف) حالت حدی تسلیم با توجه به لنگر وارد بر مقطع، جان تحت کشش و بال تحت فشار است و داریم:

دقت شود که برای تعیین لنگر تسلیم (My) حول محور x، باید از Sx استفاده شود. همچنین از آنجا که مقطع حول محور x تقارن ندارد، کوچکترین مقدار Sx که مربوط به تارهای پایین مقطع (جان) می باشد را انتخاب کرده ایم.
توجه کنید که هر چه فاصله تار مورد نظر از محور خمش بیشتر باشد، وضعیت بحرانی تری وجود داشته و S کمتری را نتیجه می دهد.
![]()
ب) حالت حدی کمانش پیچشی – جانبی:

توجه: از آنجا که برای جهت لنگر مورد نظر، بال مقطع تحت فشار است، از علامت مثبت برای محاسبه B استفاده کرده ایم.

پ) حالت حدی کمانش موضعی بال سپری: از آنجا که بال این مقطع سپری فشرده است، لزومی به در نظر گرفتن این حالت حدی نیست.

ت) حالت حدی کمانش موضعی جان سپری: از آنجا که بال مقطع سپری تحت فشار بوده و بخش اعظم تحت کشش است، نیازی به کنترل این حالت حدی نیست.
حال در نهایت می توان گفت که مقاومت خمشی طراحی این مقطع به صورت زیر بدست می آید:

بنابراین گزینه 1 صحیح است.
مقاومت خمشی مقاطع نبشی تک، مقاطع توپر و مقاطع نامتقارن
در مورد این مقاطع که کاربرد کمی به عنوان اعضای خمشی دارند، توضیحات مختصری ارائه کردیم. علاقه مندان به مطالعه مبحث دهم مقررات ملی ساختمان مراجعه کنید.
مقاومت خمشی اسمی اعضای با مقطع نبشی تک
در نبشی ها تک که در تمام طول خود به طور پیوسته در مقابل کمانش پیچشی – جانبی مهار شده باشند، طراحی براساس مشخصات هندسی محورهای (y و X) مجاز می باشد اما در نبشی هایی که در تمام طول خود فاقد مهار کافی در مقابل کمانش پیچشی – جانبی هستند باید براساس مشخصات هندسی محورهای اصلی نبشی (z و w) محاسبه و طراحی شوند.

مقاومت خمشی اسمی اعضای با مقطع نامتقارن
مقاومت خمشی اسمی این نوع اعضاء، باید برابر کوچکترین مقدار محاسبه شده براساس حالت های حدی تسلیم کمانش پیچشی – جانبی و کمانش موضعی در نظر گرفته شوند.
به این منظور باید تنش اسمی مقطع نامتقارن (Fn) برای هر یک از حالت های حدی ذکر شده محاسبه گردد و در هر حالت در کوچکترین اساس مقطع الاستیک مقطع نسبت به محور خمش ضرب شود یعنی داریم:
![]()
محاسبه مقاومت خمشی در انواع مقاطع فولادی – محاسبه مقاومت خمشی در انواع مقاطع فولادی – محاسبه مقاومت خمشی در انواع مقاطع فولادی – محاسبه مقاومت خمشی در انواع مقاطع فولادی – محاسبه مقاومت خمشی در انواع مقاطع فولادی – محاسبه مقاومت خمشی در انواع مقاطع فولادی




دیدگاه خود را ثبت کنید
تمایل دارید در گفتگوها شرکت کنید؟در گفتگو ها شرکت کنید.