یادآوری از مکانیک خاک
یادآوری از مکانیک خاک
پی سازی یکی از شاخه های اصلی علم ژئوتکنیک می باشد که ارتباط تنگاتنگی با مباحثی از قبیل تنش موثر و همچنین مقاومت برشی خاک دارد.
به همین منظور پیش از وارد شدن به مباحث پی سازی، مطالب مورد نیاز این دو موضوع از مکانیک خاک را در قابل نکات زیر ارائه می کنیم:
1- محاسبه مقادیر تنش ها در یک پروفیل خاک از مباحث مهم و مورد توجه در مکانیک خاک است. در یک نقطه از خاک، محاسبه تنش موثر (‘σ)، فشار آب حفره ای (u) و تنش کل (σ) مد نظر قرار می گیرند که به ترتیب مربوط به دانه های جامد، آب و مجموع آب و دانه های جامد هستند.
بر هیمن اساس، اصل تنش موثر به صورت زیر بیان می گردد:
![]()
برای محاسبه تنش ها، مطابق شکل زیر یک پروفیل خاک را در نظر بگیرید که تحت هیچگونه بارگذاری خارجی نبوده و آب در آن حرکت نداشته باشد. در این حالت مقادیر تنش ها برای نقطه (A) به شرح زیر می باشند:

توجه کنید که در روابط فوق Υ1=ΥSat1 و Y2=Ysat2 می باشند، زیرا خاک قرار گرفته در زیر سفره آب زیرزمینی اشباع است.
همچنین 1,2’Y وزن مخصوص غوطه وری خاک هستند که برابر Ysat1,2-Yw می باشد.
حال اگر سطح آب زیرزمینی تا سطح خاک (2) پایین بیاید، در آن صورت خواهیم داشت:

که در روابط Yt1 یا Y1=Yd1 بوده و Y2=Ysat2 است.
2- ایمنی هر سازه که بر روی خاک بنا می شود، بستگی به مقاومت خاک دارد. منظور ما از مقاومت خاک، مقاومت برشی آن می باشد که عبارت است از بیشترین تنش برشی مقاومی که خاک در برابر گسیختگی از خود نشان می دهد.
توجه کنید که در لحظه گسیختگی، در امتداد یک صفحه در داخل خاک، قسمت بالا و پایین صفحه نسبت به هم حرکت می کنند که در نتیجه آن بروز تغییر شکل های زیاد در خاک است.
مقاومت برشی خاک در امتداد صفحه ای قابل تعیین بوده و می توان مقدار آن را با استفاده از رابطه زیر (مور -کلمب) بدست آورد.

در رابطه بالا τf مقاومت برشی خاک و σ تنش قائم در صفحه مورد نظر می باشد. c و Φ نیز پارامترهای مقاومت برشی خاک هستند و به ترتیب چسبندگی (نیروی چسب در واحد سطح) و زاویه اصطکاک داخلی خاک نامیده می شوند.
توجه کنید که اگر خاک اشباع بوده و تنش موثر حاکم باشد، در آن صورت رابطه مور – کلمب به صورت زیر در می آید:
![]()
که در این حالت به ‘c و ‘Φ، پارامترهای موثر مقاومت برشی گفته می شود.
3- در مورد پارامترهای مقاومت برشی در انواع خاک ها می توان گفت:
الف) خاک های دانه ای
خاک های دانه ای مثل ماسه، چسبندگی برابر صفر است (C=’C=0) و مقاومت برشی خاک تنها از طریق عمل اصطکاک تامین می شود.
ب) خاک های رسی
خاک رسی عادی تحکیم یافته: در خاک رس اشباع که تحت اثر وزن خود به طور عادی تحکیم یافته است، چسبندگی برابر صفر بوده (0=’C) و مانند خاک های دانه ای، مقاومت برشی خاک تنها از طریق اصطکاک تامین می شود.
خاک رس پیش تحکیم یافته: در خاک رس پیش تحکیم یافته، اصطکاک و چسبندگی هر دو در تامین مقاومت برشی خاک مشارکت دارند (0=ΦوC)
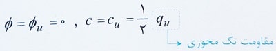
خاک رس صرفا چسبنده: اگر خاک رس اشباع در شرایط زهکشی نشده بارگذاری و گسیخته شود، در آن صورت زاویه اصطکاک داخلی آن برابر صفر شده (0=Φ) و چسبندگی خاک برابر مقاومت برشی آن خواهد شد.
به خاک رس اشباع در این شرایط، خاک رس صرفا چسبنده می گویند. چسبندگی خاک رسی در این حالت را با Cu نشان می دهیم. پس برای خاک رس اشباع در شرایط زهکشی نشده، پارامترهای مقاومت برشی عبارتند از:





دیدگاه خود را ثبت کنید
تمایل دارید در گفتگوها شرکت کنید؟در گفتگو ها شرکت کنید.