کنترل های اعضای کششی فولادی خاص
کنترل های اعضای کششی فولادی خاص
این قسمت به بررسی مطالب تکمیلی در بحث کشش می پردازیم که درباره کنترل اعضای کششی خاص است.
ابتدا ضوابط کششی را بررسی می کنیم که از چند نیمرخ تشکیل شده اند، سپس روابط اعضای کششی را بیان می کنیم که در انتهای خود دارای اتصالات لولایی شامل تسمه لولا شده یا تسمه سر پهن می باشد.
اعضای کششی مرکب از چند نیمرخ
محدودیت هایی برای اتصال نیمرخ های کششی به یکدیگر وجود دارد که در ادامه به آنها اشاره می کنیم:
الف) در اعضای مرکب از یک نیمرخ ورق که اجزای آن به صورت سراسری در تماس با یکدگیر فرض می شوند، فاصله بین وسایل اتصال ( پیچ ، پرچ و جوش و … ) با پارامتر a نشان داده شده و در مورد آن داریم:

tmin: ضخامت قطعه نازکتر
ب) در اعضای مرکب از دو یا چند نیمرخ و یا ورق که به وسیله لقمه به یکدیگر متصل شده اند، حداکثر فواصل لقمه ها باید به نحوی باشد که لاغری هر یک از اجزا به صورت تکی در فاصله آزاد بین لقمه ها از 300 تجاوز نکند.
بدین ترتیب اگر فاصله بین لقمه ها a و شعاع ژیراسیون حداقل نیمرخ تک r1min نامیده شوند، می توان نوشت:

پ) در اعضای مرکب که از دو یا تعدادی بیشتری نیمرخ تشکیل شده اند فواصل بین وسایل اتصال باید در رابطه زیر صدق کند:
![]()
r1min: شعاع ژیراسیون حداقل نیمرخ تک در فاصله ای که اعضا به یکدیگر متصل نشده اند.
ت) در اعضای کششی مرکب، استفاده از بست های موازی و ورق های پوششی مرکب در وجوه باز مقطع به شرطی مجاز است که ضخامت آنها کمتر از 1/50 فاصله خطوط جوش یا قید هایی که آنها را به نیمرخ مقطع متصل می کند b نباشد.
ث) در صورت استفاده از از بست های موازی، پهنای بست در راستای طولی عضو نباید کمتر از 2/3b باشد و فواصل مرکز تا مرکز بست ها در راستای طولی عضو کششی باید به نحوی انتخاب شود که لاغری هر یک از اجزای مقطع در آن کمتر از 300 باشد.

مثال: برای ساخت یک عضو کششی خرپا، از مقطعی به شکل زیر استفاده شده است، برای اینکه این مقطع از نظر کنترل لاغری ایراد نداشته باشد، به ترتیب طول عضو باید حداکثر ……….. و فاصله بین لقمه ها حداکثر …………. باشد.
1- 16 متر – 9 متر 2- 16 متر – 6 متر 3- 19 متر – 6 متر 4- 19 متر – 9 متر

حل: ابتدا مشخصات مقطع UNP180 را با استفاده از اشتال به همین ترتیب است.

![]()
حال برای تعیین حداکثر طول عضو، باید به این نکته توجه کنیم که به طور کلی در اعضای کششی باید لاغری حداکثر یعنی L/rmin از 300 تجاوز نکند. پس در این تست باید ابتدا rmin کل عضو که مربوط به دو مقطع در کنار هم است را تعیین کنیم.

از سوی دیگر فاصله بین لقمه ها (a) باید در رابطه a/r1min≤300 صدق کند، ولی باید دقت کنیم که در این رابطه r1min شعاع ژیراسیون حداقل برای نیمرخ تک است.

بنابراین طول عضو باید حداکثر 19 متر و فاصله بین لقمه ها حداکثر 6 متر باشد و در نتیجه گزینه 3 صحیح است.
اعضای کششی با تسمه لولا شده ( با خار مغزی )
در شکل زیر یک عضو کششی را مشاهده می کنید که در انتهای آن یک تسمه وجود دارد. این تسمه دارای کی سوراخ است که درون آن قطعه ای استوانه ای به نام خار مغزی قرار می گیرد و به دلیل خار مغزی به جدار سوراخ می تواند نیرو را منتقل کند.

مهمترین پارامترهای نشان داده شده در شکل های فوق عبارتند از:
a: کوتاهترین فاصله بین لبه سوراخ تا لبه عضو در امتداد تاثیر نیرو
dh: قطر سوراخ dp: قطر پین ( قلم لوا)
tw: ضخامت تسمه در ناحیه دور از سوراخ w: پهنای تسمه
tp: ضخامت تسمه در ناحیه سوراخ b: فاصله بین لبه سوراخ تا لبه تسمه در امتداد عمود بر نیرو
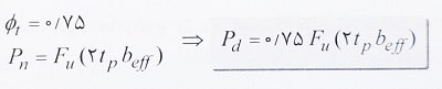
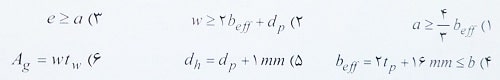
مقاومت کششی طراحی در اعضای کششی با تسمه لولا شده باید برابر کوچکترین مقدار محاسبه شده براساس حالت های حدی زیر در نظر گرفته شود.
الف) گسیختگی کششی در سطح مقطع موثر خالص:

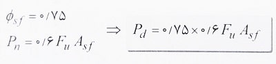
ب) گسیختگی برشی در سطح مقطع موثر:

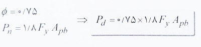
پ) مقاومت اتکایی در سطح تصویر شده قلم لولا ( پین ):

ت) تسلیم در سطح مقطع کلی:

برخی از پارامترهای مورد استفاده در روابط فوق، در شکل قبل نشان داده شده اند و مابقی آنها به شرح زیر هستند:
Ag: سطح مقطع کل Fy: تنش تسلیم فولاد
Fu: تنش کششی نهایی فولاد Pu: مقاومت کششی اسمی
beff: پهنای موثر مطابق رابطه زیر، که نباید بزرگتر از فاصله واقعی لبه سوراخ تا لبه تسمه در امتداد عمود بر راستای نیرو باشد.
![]()
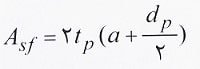
Asf: سطح مقطع موثر در مسیر گسیختگی برشی طبق رابطه زیر:

Apb: سطح تصویر اتکا که برابر قطر سوراخ پین در ضخامت قطعه فولادی سوراخ شده است که در حقیقت همان dhtp می باشد.
محدودیت های ابعادی تسمه های لولا شده
پارامترهای مرتبط با تسمه های لولا شده که در بخش های قبلی معرفی شده اند، باید محدودیت های زیر را برآورده سازند:

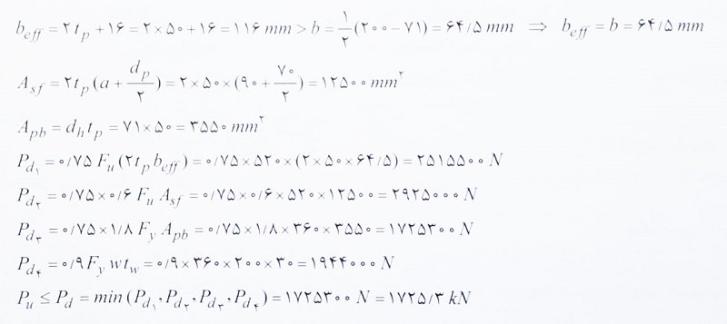
مثال: در شکل زیر، یک ورق فولادی به عرض 200 میلی متر و ضخامت 30 میلی متر، در انتها دارای یک تسمه لولا می باشد. اگر مقاومت طراحی ورق فولادی و همچنین خار مغزی که قرار است در سوراخ تسمه قرار گیرد به اندازه کافی باشد، حداکثر نیروی کششی قابل اعمال به این قطعه براساس ظرفیت تسمه لولا شده تقریبا چند کیلونیوتن است؟ ( فولادها از نوع ST52 است که برای آن Fy=360MPa و Fu=530MPa می باشد.)
1- 1720 2- 1950 3- 1800 4- 1650

حل: برای حل این سوال، تنها کافی است روابط چهار حالت حدی مرتبط با تسمه لولا شده را محاسبه کنیم:

بنابراین گزینه 1 صحیح است.
اعضای کششی با تسمه سر پهن ( با خار مغزی )
در شکل زیر یک قطعه فولادی را مشاهده می کنید که برای اتصال به تکیه گاه خود، به یک تسمه سر پهن منتهی شده است. قسمت پهن تسمه دارای سوراخ است که خار مغزی درون آن جای می گیرد.

پارامترهای نشان داده شده در شکل فوق عبارتند از:
a: فاصله بین لبه سوراخ تا لبه بیرونی تسمه در امتداد نیرو
dh: قطر سوراخ dp: قطر پین
t: ضخامت تسمه سر پهن w: پهنای تسمه سر پهن در ناحیه ای دور از سوراخ
b: فاصله بین لبه سوراخ تا لبه تسمه در امتداد عمود بر نیرو
مقاومت کششی طراحی در اعضای کششی با تسمه سر پهن باید برابر کوچکترین مقدار محاسبه شده براساس حالت های حدی زیر در نظر گرفته شود.
همانطور که مشاهده می کنید، این حالت ها کاملا مشابه با حالت های گفته شده در اعضای کششی با تسمه لولا شده هستند.

برخی از پارامترهای مورد استفاده در روابط بالا قبلا نشان داده شده و مابقی آنها به شرح زیر هستند:
Ag: سطح مقطع کل Fy: تنش تسلیم فولاد
Fu: تنش کششی نهایی فولاد Pn: مقاومت کششی اسمی
beff: پهنای موثر مطابق رابطه زیر، که نباید بزرگتر از فاصله واقعی لبه سوراخ تا لبه تسمه در امتداد عمود بر راستای نیرو باشد.
![]()
Asf: سطح مقطع موثر در مسیر گسیختگی برشی طبق رابطه زیر:

محدودیت های ابعادی تسمه های سر پهن
پارامترهای مرتبط با تسمه های سر پهن که در بخش های قبلی معرفی شده اند، باید محدودیت های زیر را برآورده سازند:
1- ضخامت در طول تسمه یکنواخت باشد و تسمه در ناحیه سوراخ تقویت نشود.

مثال: در شکل زیر یک عضو کششی به ضخامت 20 میلی متر توسط یک بخش سر پهن به تکیه گاه متصل شده است. چنانچه در این اتصال، مقاومت اسمی در حالت حدی گسیختگی کششی در سطح مقطع خالص موثر با مقاومت اسمی در حالت حدی گسیختگی برشی در سطح مقطع موثر برابر باشد، مقدار b که در شکل نشان داده شده تقریبا چقدر است؟
1- 34 میلی متر 2- 70 میلی متر 3- 34 یا 70 4- مقداری برای b نمی توان ارائه داد.

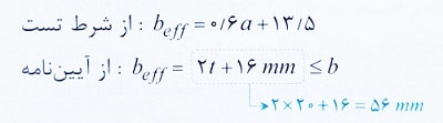
حل: برای اینکه مقاومت های گفته شده در صورت تست با هم برابر باشند، باید رابطه زیر را برقرار کرد که از طریق آن مقدار beff بدست می آید.

حال در رابطه بدست آمده برای beff، رابطه Asf را جایگذاری کرده و مقدار همه پارامترهایی که داریم را نیز قرار می دهیم:

رابطه ای که برای beff بدست آورده ایم، براساس شرط گفته شده در صورت تست است. از سوی دیگر در آیین نامه نیز رابطه ای برای beff ارائه شده است که باید هر دوی این روابط همزمان برقرار باشند:

با در نظر گرفتن این دو شرط، دو حالت زیر اتفاق می افتد:
حال 1: اگر 56mm≤b باشد، مقدار beff از آیین نامه برابر 56 میلی متر می باشد و داریم:
![]()
با توجه به محدودیت های ابعادی برای تسمه های سر پهن می دانیم که b=a می باشد. بنابراین b=70 mm است. اما براساس یکی دیگر از محدودیت های ابعادی باید b≤3/4w باشد. از آنجا که w=50mm است، حداکثر مقدار b باید 37.5=50*3/4 باشد.
از آنجا که w=50 mm است، حداکثر مقدار b باید 37.5=50*3/4 باشد، بنابراین حالت b=70mm مجاز نیست.
حالت دو: اگر 56>b باشد، مقدار beff از آیین نامه برابر b می شود و داریم:

بنابراین مقدار b تنهایی می تواند برابر 34 میلی متر باشد و گزینه 1 صحیح است.
کنترل های اعضای کششی فولادی خاص – کنترل های اعضای کششی فولادی خاص – کنترل های اعضای کششی فولادی خاص – کنترل های اعضای کششی فولادی خاص




با سلام، یک سوال در مورد ورق اتصال در اعضای کششی داشتم. دو تسمه فولادی رو میخوایم به هم وصل کنیم برای اتصال این دو تسمه از ورق اتصال استفاده میکنیم. آیا میتون از ورق اتصال با پهنای کمتر از عضو کششی استفاده نمود؟ آیا بندی در مورد الزامات ابعادی برای ورق اتصال اعضای کششی وجود دارد؟
سلام وقت بخیر امکان استفاده از اتصالات جوشی و پیچی مطابق مبحث دهم وجود داره ولی حتما به مبحث دهم مراجعه کنید