کنترل تیرها برای نیروی برشی – بخش دوم

کنترل تیرها برای نیروی برشی – بخش دوم

در این قسمت که بخش 2 برای بحث نیروی برشی می باشد، می خواهیم مطالب تکمیلی در ارتباط با برش را بررسی نماییم.

بحث هایی نظیر نحوه طراحی سخت کننده های عرضی و مقاومت برشی مقاطع در امتداد عمود بر محور ضعیف از آن جمله هستند.

طراحی ورق های سخت کننده عرضی جان

در مواردی که طراحی ورق های سخت کننده عرضی جان تیر بوده و نیز در مواردی که مقاومت برشی مورد نیاز کوچکتر یا مساوی مقاومت برشی موجود به ازای Kv=5 باشد نیازی به تعبیه سخت کننده های عرضی در جان مقاطع نمی باشد.

درصورت عدم تحقیق یکی از شرایط مذکور باید از سخت کننده های عرضی با رعایت محدودیت های زیر استفاده شود.

محدودیت های اجرایی سخت کننده های عرضی

1- در صورتی که به عمل تماسی مستقیم بین قطعه سخت کننده و بال تیر برای انتقال بارهای متمرکز یا عکس العمل تکیه گاهی، نیاز نباشد، می توان سخت کننده عرضی را به بال کششی جوش نداده و یا حتی می توان قطعه سخت کننده را نرسیده به بال کششی قطع کرد.

در صورت عدم جوشکاری سخت کننده به بال کششی، جوش هایی که قطعه سخت کننده را به جان تیر متصل می کنند باید در فاصله ای نه کمتر از 4 برابر و نه بیشتر از 6 برابر ضخامت جان از زیر جوش اتصال سخت کننده به جان و بال کششی ختم شوند.

2- سخت کننده های عرضی باید به بال فشاری متصل گردند تا از بلند شدن بال در اثر پیچش جلوگیری به عمل آید.

3- فاصله مرکز به مرکز پیچ هایی که سخت کننده ها را به جان تیر متصل می کند نباید از 300 میلی متر تجاوز نماید.

چنانچه برای اتصال سخت کننده ها به جان تیر از جوش های گوشه منقطع استفاده شود نباید فاصله آزاد بین جوش های منقطع از 16 برابر ضخامت جان یا 250 میلی متر هر کدام که کوچکتر است تجاوز نماید.

ورق های سخت کننده عرضی جان، ورق هایی هستند که به صورت تیغه قائم و در فواصل a در طول تیر قرار دارند، واضح است که این ورق ها به صورت عمود بر جان تیر در حد فاصل دو بال قرار داده می شوند، ورق های سخت کننده می توانند به صورت جفت ورق در طرفین جان و یا تک ورق در یک طرف جان به کار گرفته شوند.

ورق های سخت کننده عرضی جان

ابعاد ورق های تقویتی باید به اندازه ای باشد که ممان اینرسی آنها (Ist در شکل های فوق) در رابطه زیر صدق کند:

ابعاد ورق های تقویتی سخت کننده تیر

پارامتر j به کمک رابطه زیر بدست می آید:

محاسبه ورق تقویتی استیفنر

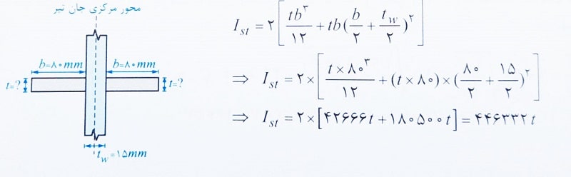
مثال: در یک تیرورق به شکل زیر، قصد داریم از سخت کننده های عرضی به فواصل 5 متری استفاده کنیم. اگر عرض سخت کننده های مورد استفاده برابر 80 میلی متر بوده و آنها به صورت جفت در دو سمت جان تیر ورق استفاده شوند، سخت کننده ها حداقل چقدر باید باشد؟

1- 8 میلی متر                                    2- 10 میلی متر                            3- 12                                4- 14

محاسبه سخت کننده جان تیرورق

حل: برای طراحی سخت کننده های جفت، باید ابتدا مقدار پارامتر j و سپس ممان اینرسی مورد نیاز آنها تعیین شود.

طراحی سخت کننده تیرورق

از سوی دیگر ممان اینرسی موجود قطعات سخت کننده جفت نسبت به محور مرکزی جان تیر برابر است با:

ممان اینرسی قطعات سخت کننده فولادی

توجه: رابطه ای که در اینجا برای محاسبه Ist استفاده شد، نحوه دقیق انجام این کار است. شما می توانید از رابطه ارائه شده در شکل ابتدای این بخش نیز استفاده کنید که البته مقدار جزئی تقریبی دارد.

حال با مقایسه I مورد نیاز و Ist می توان مقدار ضخامت لازم برای ورق سخت کننده را تعیین نمود.

ممان اینرسی مورد نیاز تیرورق فولادی

بنابراین با توجه به گزینه ها، باید حداقل ازورقی به ضخامت 10 میلی متر استفاده شود و گزینه 2 صحیح است.

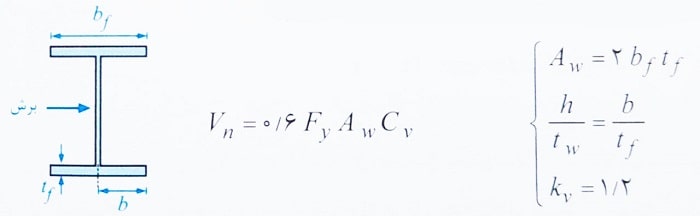
مقاومت برشی در امتداد عمود بر محور ضعیف

برای اعضایی که در امتداد عمود بر محور ضعیف تحت اثر برش قرار دارند، مقاومت برشی در دو گام به صورت زیر تعیین می شود:

مقاومت برشی در امتداد عمود بر محور ضعیف تیر فولادی

گام اول: پارامترهای موثر در طراحی برشی به صورت زیر انتخاب می شوند:

پارامترهای طراحی تیر

tf: ضخامت جزء مقاوم در برابر برش

bf: پهنای جزء مقاوم در برابر برش

b: نصف پهنای کلی بال در مقاطع I شکل و پهنای کلی بال برای مقاطع ناودانی

گام دوم: استفاده از روابط قسمت اول برای تعیین مقاومت برشی

مثال: مقاومت برشی اسمی مقطع IPE300 تحت اثر برش در امتداد عمود بر محور ضعیف مقطع به کدام مقادیر زیر نزدیکتر است؟ (مقطع تحت اثر پیچش قرار نداشته و فولاد از نوع ST37 می باشد.)

1- 123                                  2- 306                                 3- 462                                4- 768

حل: برای محاسبه مقاومت برشی این مقطع در امتداد عمود بر محور ضعیف داریم:

محاسبه مقاومت برشی مقطع

حال براساس مقدار این پارامترها برای مقطع IPE300 که از جدول بدست می آید داریم:

مقاومت برشی تیر فولادی

نکته: ضریب Cv برای مقاطع IPE تحت اثر برش در امتداد عمود بر محور ضعیف آنها، همواره برابر 1 بدست می آید.

بنابراین گزینه 3 صحیح است.

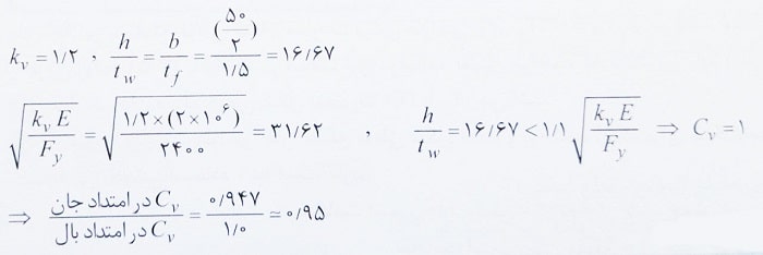
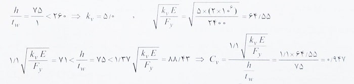
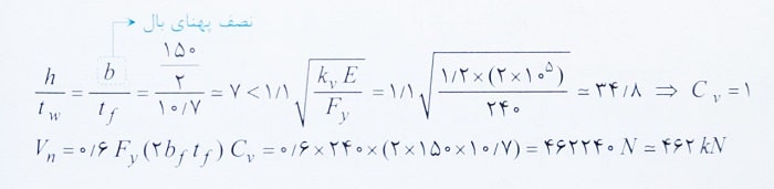
مثال: برای یک تیر با مقطع نشان داده شده، نسبت ضریب Cv برای برش در امتداد جان به برش در امتداد بال ها چقدر است؟ (تیر بدون سخت کننده می باشد و Fy=2400kg/cm2)

1- 0.9                              2- 0.95                                    3- 1                                4- 1.05

مقطع تیر ورق

حل: برای برش در امتداد جان، براساس مطالب گفته شده داریم:

برش در امتداد جان تیر

برای برش در امتداد بال ها داریم:

برش در امتداد بال ها

بنابراین گزینه 2 صحیح است.

محاسبه مقاومت برشی مقاطع غیر I شکل

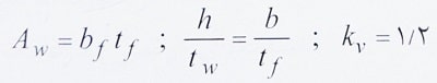
بحثی که در قسمت قبلی در مورد محاسبه مقاومت برشی تیرها انجام شد، عمدتا مربوط به مقاطع I شکل می باشد، حال در اینجا نحوه تعیین مقاومت برشی مقاطع تک نبشی، قوطی شکل و لوله ای شکل را نیز بررسی می کنیم.

مقاومت برشی اعضای با مقاطع نبشی تک

برای اعضایی با مقطع نبشی تک که تحت نیروی برشی قرار دارند، مقاومت برشی طراحی برابر ΦVn=0.9Vn می باشد.

برای Vn باید نکات زیر را در نظر داشت:

1- مساحت جان مقطع به صورت Aw=bt تعیین می شود.

2- پارامترهای b و t برابر پهنا و ضخامت ساق مقاوم مقطع در برابر نیروی برشی هستند.

3- در طراحی برشی نبشی ها، به جای h/tw از b/t استفاده می شود.

4- مقدار Kv در نبشی ها برابر 1.2 است.

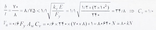
مثال: برای نبشی شکل زیر که از فولاد St37 ساخته شده است، حداکثر مقدار نیروی برشی قابل تحمل (Vu) تقریبا چقدر است؟ (امتداد نیروی Vu از مرکز برش نبشی عبور می کند.)

1- 86                                            2- 80                                                3- 77                                  4- 72

حداکثر نیروی برشی قابل تحمل تیر

حل: در این نبشی، ساق مقاوم در برابر برش Vu دارای b=70mm و t=8mm است. حال برای تعیین مقاومت برشی اسمی نبشی به سادگی داریم:

حداکثر نیروی برشی نبشی

حال می توان مقاومت برشی طراحی این مقطع و در نتیجه حداکثر برش قابل تحمل آن را تعیین نمود.

حداکثر نیروی برشی تیر

بنابراین گزینه 4 صحیح است.

مقاومت برشی اعضای با مقطع قوطی شکل

برای اعضای با مقطع قوطی شکل، مقاومت برشی طراحی برابر ΦVn=0.9Vn می باشد. مقدار Vn در این اعضاء از طریق روابط گفته شده در جلسه قبلی تعیین می شود که نکات زیر درباره آنها باید لحاظ شود.

1- مساحت جان مقطع قوطی شکل به صورت Aw=2ht می باشد.

2- پارامتر t، ضخامت طراحی جان مقطع قوطی شکل است و بر حسب اینکه برای ساخت مقطع قوطی شکل چه نوع جوشی استفاده شده است داریم:

پارامترهای ضخامت طراحی جان مقطع قوطی شکل

3- پارامتر h ارتفاع جان مقطع است که به صورت زیر تعیین می شود:

اگر شعاع گردی در محل اتصال جان ها به بال ها مشخص باشد:

شعاع های گردی محل اتصال جان به بال – فاصله آزاد بین دو بال = h

اگر شعاع گردی در محل اتصال جان ها به بال ها مشخص نباشد:

سه برابر ضخامت اسمی بال – بعد بیرونی (کلی) مقطع = h

4- در طراحی برشی مقاطع قوطی شکل، به جای پارامتر tw از t استفاده می شود.

5- مقدار Kv در مقاطع قوطی شکل برابر 5 می باشد.

مثال: مقطع قوطی شکل زیر از مصالحی با Fy=240MPa ساخته شده است. مقاومت برشی اسمی این مقطع تقریبا چند کیلو نیوتن می باشد؟ (برای ساخت این مقطع از جوش قوس الکتریکی استفاده شده است)

1- 432                                 2- 464                                    3- 480                                       4- 516

مقاومت برشی مقطع تیر

حل: روابط مورد استفاده برای تعیین مقاومت برشی اعضای قوطی شکل، مشابه با سایر مقاطع است و تنها سه نکته زیر باید در آن در نظر گرفته شود.

1- ضخامت طرحی جان به دلیل استفاده از جوش قوس الکتریکی برابر 0.93 ضخامت اسمی جان است.

t=0.93×8=7.44 mm

2- از آنجا که شعاع گردی در محل اتصال جان ها به بال ها مشخص شده است، پارامتر h برابر فاصله آزاد بین دو بال منهای شعاع های گردی محل اتصال جان به بال است.

ضخامت اسمی جان تیرورق

3- پارامتر tw باید برابر t و نیز پارامتر Kv برابر 5 در نظر گرفته شود. حال می توان مقاومت برشی اسمی را به صورت زیر محاسبه کرد:

مقاومت برشی اسمی

بنابراین گزینه 3 صحیح است.

مقاومت برشی اعضای با مقطع لوله ای

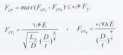
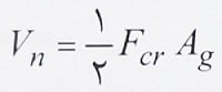
در اعضای با مقطع لوله ای شکل که تحت نیروی برشی قرار می گیرند، مقاومت برشی طراحی به صورت ΦVn=0.9Vn بدست می آید. مقدار Vn که مقاومت برشی اسمی مقطع است، براساس رابطه زیر تعیین می شود.

مقاومت برشی اسمی مقطع تیر

Ag: سطح مقطع کلی

Fcr: تنش برشی مقطع است که مطابق روابط زیر تعیین می شود:

تنش برشی تیرورق

D: قطر خارجی مقطع لوله ای

Lv: فاصله بین محل نیروی برشی حداکثر تا محل نیروی برشی صفر در طول عضو

t: ضخامت طراحی مقطع لوله ای است و بر حسب اینکه برای ساخت مقطع لوله ای از چه نوع جوشی استفاده شده است داریم:

ضخامت طراحی مقطع لوله ای فولادی

بیشتر بدانیم

1- در محاسبه Fcr برای مقطع لوله ای دو حالت حدی تسلیم برشی و کمانش برشی اهمیت دارد.

2- تنش 0.6Fy مربوط به حالت حدی تسلیم برشی و تنش های Fcr1 و Fcr2 مربوط به حالت حدی کمانش برشی می باشد.

3- معمولا در یکی از سه مورد زیر، حالت حدی کمانش برشی بحرانی می شود و به عبارت دیگر Fcr=max(Fcr1,Fcr2) می شود:

  • مقاطع لوله ای نازک با نسبت D/t>100
  • مقاطع ساخته شده از فولاد پر مقاومت
  • اعضای با دهانه های بسیار بزرگ

4- در مقاطع لوله ای استاندارد، غالبا حالت حدی تسلیم برشی کنترل کننده است و به عبارت دیگر Fcr=0.6Fy می باشد.

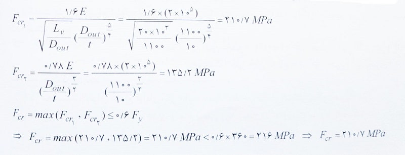
مثال: برای ساخت تیر فولادی در شکل زیر، از یک مقطع لوله ای به قطر خارجی 1100 میلی متر و ضخامت 10 میلی متر استفاده شده است. تنها براساس کنترل برش در تیر بگویید حداکثر مقدار qu چقدر می تواند باشد؟(در ساخت این مقطع از فولاد St52 با Fy=360MPa و جوش زیر پودری استفاده شده است)

1- 111                                         2- 162                                   3- 166                               4- 180

محاسبه نیروی وارد بر تیرورق

حل: در تیر مورد بررسی در این تست، دیاگرام توزیع نیروی برشی به صورت شکل زیر است و بیشترین نیروی برشی در محل تکیه گاه اتفاق می افتد که مقدار آن برابر quL/2 است.

حال برای تعیین مقاومت برشی مقطع لوله ای باید مقدار پارامتر Fcr را برای آن محاسبه کنیم. اما در ابتدا پارامترهای مورد نیاز در روابط Fcr را تعیین خواهیم کرد.

دیاگرام توزیع نیروی برشی در تیر فولادی

تذکر: پارامتر ضخامت طراحی مقطع لوله ای است که به دلیل استفاده از جوش زیر پودری، معادل ضخامت اسمی مقطع می باشد.

توجه: پارامتر Lr که فاصله بین محل نیروی برشی حداکثر با محل نیروی برشی صفر در طول عضو را نشان می دهد، در این تست برابر فاصله بین تکه گاه تا وسط تیر است که برابر 20 متر می باشد.

حداکثر نیروی برشی تیر

حال می توان مقاومت برشی اسمی مقطع را به صورت زیر تعیین نمود:

محاسبه مقاومت برشی اسمی مقطع تیر

با مقایسه مقدار ΦVn با حداکثر برش وارد بر مقطع داریم:

مقاومت برشی طراحی

بنابراین گزینه 2 صحیح است.

مقاومت برشی اعضاء در مجاورت ناحیه اتصال

مقاومت برشی طراحی اعضا در مجاورت ناحیه اتصال، ΦRn باید به شرح زیر برابر کوچکترین مقدار محاسبه شده براساس حالت های حدی تسلیم برشی روی مقطع کلی و گسیختگی برشی روی مقطع خالص تعیین شود.

الف) براساس تسلیم برشی روی مقطع کلی:

تسلیم برشی مقطع تیر

ب) براساس گسیختگی برشی روی مقطع خالص:

گسیختگی برشی روی مقطع خالص

پارامترهای مورد استفاده در روابط فوق عبارتند از:

Agv: سطح مقطع کلی تحت برش                                      Anv: سطح مقطع خالص تحت برش

Φ: ضریب کاهش مقاومت                                                  Fu,Fy: تنش تسلیم و تنش نهایی فولاد

مثال مقاومت برشی طراحی تیرآهن IPE200 در ناحیه  (مجاورت ناحیه اتصال) بر حسب کیلونیوتن به کدامیک از مقادیر زیر نزدیکتر است؟ (فولاد از نوع ST37 و قطر سوراخ 20 میلی متر می باشد. واحد ها در شکل به میلی متر است.)

1- 200                                      2- 160                                            3- 150                                      4- 120

مقاومت برشی تیرآهن

حل: برای مقطع تیر در ناحیه مجاور اتصال، با کنترل دو حالت حدی زیر داریم:

الف) براساس تسلیم برشی روی مقطع کلی

تنش تسلیم برشی مقطع

ب) براساس گسیختگی برشی روی مقطع خالص

گسیختگی برشی روی مقطع

مقاومت برشی مقطع، برابر کوچکترین مقدار محاسبه شده براساس حالت های حدی گفته شده است. بنابراین داریم:

مقاومت برشی تیر

بنابراین گزینه 3 صحیح است.

پیج اینستاگرام سیویل 2

کانال تلگرام سیویل 2

 

کنترل تیرها برای نیروی برشی – بخش دوم – کنترل تیرها برای نیروی برشی – بخش دوم – کنترل تیرها برای نیروی برشی – بخش دوم – کنترل تیرها برای نیروی برشی – بخش دوم – کنترل تیرها برای نیروی برشی – بخش دوم

0 پاسخ

دیدگاه خود را ثبت کنید

تمایل دارید در گفتگوها شرکت کنید؟
در گفتگو ها شرکت کنید.

دیدگاهتان را بنویسید

نشانی ایمیل شما منتشر نخواهد شد. بخش‌های موردنیاز علامت‌گذاری شده‌اند *