کنترل تیرها برای نیروی برشی – بخش اول
کنترل تیرها برای نیروی برشی – بخش اول
طراحی اعضای خمشی در سازه های فولادی، عمدتا براساس معیار خمش انجام می گیرد و پس از آن معیار برش کنترل می شود.
در این پست می خواهیم اصلی ترین موضوعات درباره کنترل برش در تیرها را بررسی نماییم.
برای این منظور، ابتدا مقاهیم مرتبط با کنترل برش در تیرها را عنوان کرده و سپس مقاومت برشی تیرها را در دو حالت بحث می کنیم.
حالت اول مربوط به روشی است که برای اکثر تیرها به کار می رود (حالت بدون میدان کششی ) و روش دوم در صورتی که تیر شرایط خاصی را داشته باشد قابل استفاده است (حالت با عمل میدان کششی).
معیار کنترل برش در تیرها
تنش های برشی در نیمرخ های نورد شده و در تیرهایی که دارای دهانه های معمولی هستند، معمولا تعیین کننده نمی باشد.
به عبارتی مقاومت تیرهای معمولی در مقابل نیروهای برشی، از مقاومت آنها در برابر لنگرهای خمشی بیشتر است.
البته در تیرهایی که دارای دهانه های کوچک بوده و بارهای سنگین را تحمل می کنند، ممکن است تنش های ناشی از برش بحرانی شوند.
برای بررسی مفاهیم برش، ابتدا دو نکته زیر از مقاومت مصالح یاد آوری می شود:
1- در یک تیر مستطیلی، حداکثر تنش برشی در محل محور خنثی رخ داده و مقدار آن برابر زیر می باشد:

2- در تیرهای I شکل، وجود بال، باعث توزیع یکنواخت تنش در جان مقطع مقطع می شود. دقت شود که بال، به صورت مستقیم در تحمل تنش برشی نقش کمی بر عهده دارد و وجود آن باعث می شود که تنش حداکثر از 1.5V/A به حدودا 1.1V/A برسد.

این موضوع نیز یکی از مواردی است که تیر I شکل را به یکی از تیرهای ایده آل در مهندسی عمران تبدیل می کند.
برای بررسی تنش های برشی در یک تیر و روند کنترل آنها به توضیحات زیر دقت شود.
1- در یک تیر دو سر مفصل با طول L مطابق شکل زیر، نیروی برشی در محل تکیه گاه ماکزیمم و در وسط تیر ناچیز است.
از طرفی در محل محور خنثی، تنش های قائم صفر و تنش های برشی معمولا ماکزیمم است.
المان تنش در محل تکیه گاه و در محور خنثی مطابق شکل زیر است:

2- تنش های برشی در المان برش خالص نشان داده شده، با 45 درجه دوران به دو تنش اصلی فشاری و کششی تبدیل می شوند.

3- از سوی دیگر در صورتی که جان مقطع از حد مشخصی نازک تر باشد، احتمال رخ دادن پدیده کمانش برشی در جان وجود دارد.
پدیده کمانش برشی جان در اثر تنش های فشاری اصلی در راستای قطری جان به وجود می آید که در شکل زیر دیده می شود.

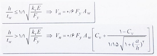
مقاومت برشی تیرها بدون عمل میدان کششی
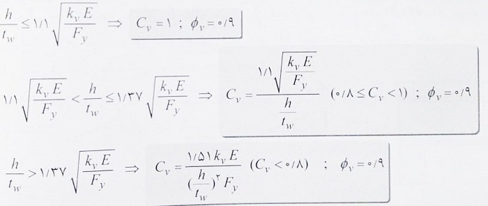
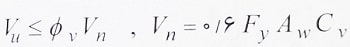
مقاومت برشی طرح برای مقاطع با جان سخت نشده و سخت شده بدون عمل میدان کششی، به صورت زیر تعیین می شود.

![]()
Φv: ضریب تقلیل مقاومت برشی (همواره برابر با 0.9 و تنها در حالت الف که در ادامه می آید برابر 1
Aw: مساحت جان مقطع که برابر است با حاصلضرب عمق کلی مقطع در ضخامت جان ( Aw=dtw).
Cv: ضریب برشی جان (نسبت تنش کمانش برشی جان به تنش تسلیم برشی فولاد جان)
ضریب Cv مورد استفاده در رابطه Vn، در دو حالت محاسبه می شود:
حالت الف): برای جان مقاطع I شکل نورد شده و با نسبت 
![]()
حالت ب): برای جان سایر مقاطع به استثنای مقاطع لوله ای، ضریب برشی جان به شرح زیر است:

tw: ضخامت جان مقطع می باشد.
h: برای تیرهای نورد شده مساوی فاصله آزاد بین دو بال منهای شعاع های گردی محل اتصال جان به بال مقاطع ساخته شده از ورق چنانچه اتصال جان به بال ها جوشی باشد مساوی فاصله آزاد بین دو بال مقاطع ساخته شده از ورق چنانچه اتصال جان به بال ها پیچی باشد مساوی فاصله بین خطوط پیچ برای مقاطع سپری مساوی عمق کلی مقطع
در روابط فوق Kv ضریب کمانش برشی ورق جان بوده و به شرح زیر تعیین می شود.
1- برای جان های سخت نشده ( بدون سخت کننده عرضی ) با h/tw<260 و Kv=5 می باشد. ( به استثنای جان مقاطع سپری که برای آن Kv=1.2 است).
2- برای جان های سخت شده (دارای سخت کننده عرضی)

a: فاصله آزاد بین سخت کننده های عرضی جان
در ادامه با حل چند مثال مختلف، نحوه کنترل مقاومت برشی تیرها بدون عمل میدان کششی را یاد می گیریم. شایان ذکر است که هر گاه در سوالات بحثی از عمل میدان کششی نشده باشد از آن صرفه نظر می کنیم.
مثال: یک تیر ورق I شکل با بال های 200×15 میلی متر و جان 600×10 میلی متر مفروض است. چنانچه تیر ورق مذکور فاقد سخت کننده های عرضی باشد،؛ مقاومت برشی اسمی (Vn) به کدامیک از مقادیر زیر نزدیک تر است؟ (Fy=240MPa)
1- 910 2- 860 3- 770 4- 1440
حل: با توجه به عدم استفاده از سخت کننده های عرضی kv=5 می باشد و داریم:

بنابراین گزینه 1 صحیح است.
مثال: تیرورق زیر در یک دهانه ساده 8 متری استفاده شده اس. در صورتی که هیچ سخت کننده ای در جان تیر ورق غیر از محل تکیه گاه ها قرار داده نشده باشد، در طراحی به روش ضرایب بار و مقاومت، مقاومت طراحی برشی مقطع به کدامیک از مقادیر زیر نزدیک تر است؟ (Fy=240MPa).
1- 2280 2- 515 3- 474 4- 740

حل: ابتدا نسبت ارتفاع به ضخامت جان تیر ورق را محاسبه می کنیم:

برای جان تیرورق و حالتی که از سخت کننده های عرضی استفاده نشده باشد، با توجه به اینکه h/tw<260 است،مقدار Kv=5 استفاده می شود و داریم:

در ادامه برای محاسبه مقاومت طراحی برشی داریم:

بنابراین گزینه 3 صحیح است.
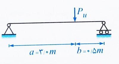
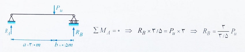
مثال: برای اجرای یک تیر دو سر ساده که تحت بارگذاری شکل زیر قرار دارد، مقطع IPE180 پیشنهاد شده است، حداکثر مقدار نیروی Pu تنها براساس معیار مقاومت برشی تیر چقدر است؟ (مصالح مقطع Fy=240MPa است، از سخت کننده در مقطع استفاده نمی شود)
1- 160 2- 144 3- 137 4- 123

حل: ابتدا با توجه به نحوه بارگذاری تیر، حداکثر مقدار برش (Vu) در آن را بدست می آوریم که همان نیروی تکیه گاهی تیر در سمت راست است.

حال باید مقاومت برشی طراحی مقطع این تیر را حساب کرده و با مقدار حداکثر نیروی برشی تیر ( یعنی RB) برابر قرار دهیم. برای مقطع I شکل نورد شده داریم:

دقت: پارامتر h در رابطه فوق برای مقاطع نورد شده، همان h-2c اشتال است که در جدول اشتال موجود است.

حال با مقایسه مقاومت برشی طراحی تیر و حداکثر نیروی برشی ایجاد شده در تیر داریم:

بنابراین گزینه 1 صحیح است.
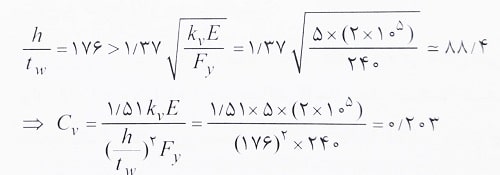
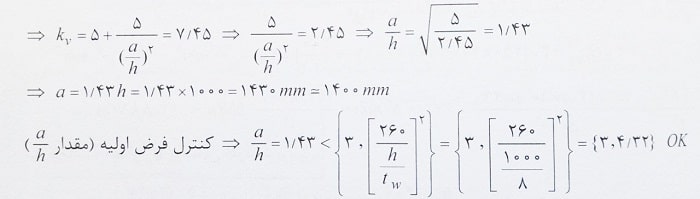
مثال: در یک تیر ورق با مقطع نشان داده شده در شکل زیر، مقدار Cv لازم برای تامین مقاومت برشی مورد نیاز برابر 0.6، بدست آمده است. حداکثر فاصله مجاز سخت کننده های عرضی در چشمه های ابتدایی و انتهایی به کدامیک از مقادیر زیر نزدیک تر است؟ (Fy=240MPa و E=2×10^5MPa)
1- 1400 میلی متر 2- 2800 3- 700 4- 2100

حل: با توجه به روابط گفته شده بالا، ضریب Cv<0.8 است. حال با توجه به مقدار ارائه شده برای Cv در صورت سوال باید ضریب کمانش برشی ورق جان (Kv) را محاسبه کنیم.

حال برای جان سخت کننده با فرض
داریم:

دقت: با توجه به اینکه حداکثر مقاومت برشی مورد نیاز از نمودار برش تیر بدست می آید که در تکیه گاه ها (چشمه های ابتدایی و انتهایی) ماکزیمم است، مقدار Cv لازم است براساس مقاومت برشی مورد نیاز در چشمه های ابتدایی و انتهایی است و فاصله سخت کننده ها که در بالا محاسبه شده نیز برای همین چشمه ها می باشد.
بنابراین گزینه 1 صحیح است.
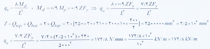
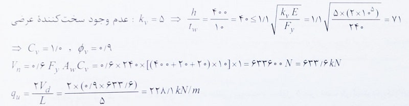
مثال: مقطع یک تیر دو سر ساده دارای تکیه گاه جانبی پیوسته دو سر ساده دارای تکیه گاه جانبی پیوسته و به طول 5 متر، تحت بار گسترده یکنواخت در صفحه جان (خمش حول محور قوی) مطابق شکل زیر است. براساس مقاومت خمشی و برشی طراحی تیر، اتصال این تیر حداقل برای چه مقدار عکس العمل تکیه گاهی نهایی باید طراحی شود تا اتصال زودتر از تیر خراب نشود (نزدیکترین جواب مد نظر است)؟ (Fy=240MPa و E=2×10^5MPa)
1- 435 کیلونیوتن 2- 235 3- 335 4- 635

حل: در این سوال اتصال تیر به ستون به صورت مفصلی است که بنابراین تنها یک نیروی قائم در آن ایجاد می شود. از طرفی می توان حداکثر مقدار این نیروی قائم را براساس ظرفیت برشی و خمشی تیر محاسبه کرد.
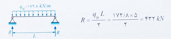
برای درک بهتر این موضوع، فرض کنید روی تیر مورد نظر که در شکل زیر آن را مشاهده می کنید بار گسترده qu وارد می شود. حداکثر لنگر خمشی در این تیر برابر qul2/8 و حداکثر نیروی برشی برابر quL/2 است.
حال اگر ظرفیت خمشی تیر را Md و ظرفیت برشی تیر را Vd نام گذاری کنیم، حداکثر مقدار qu براساس هر یک از این دو حالت به صورت زیر خواهد بود:


پس باید مقدار qu را برای این دو حالت حساب کرده و مقدار مینیمم آنها را ملاک عمل قرار داد.، زیرا هر کدام از این دو مقدار که زودتر اتفاق بیفتد، تیر را به حالت بحرانی خواهد رساند.
الف) محاسبه مقدار qu براساس ظرفیت خمشی، با توجه به وجود تکیه گاه جانبی پیوسته، تیر می تواند به لنگر پلاستیک برسد و داریم:

ب) محاسبه مقدار qu براساس ظرفیت برشی:

با توجه به حل انجام شده تا اینجا، می توان گفت که اگر مقدار بار گسترده روی تیر برابر 172.8kN/m باشد، تیر به ظرفیت خمشی خود رسیده و اگر این مقدار برابر 228/1kN/m باشد، تیر به ظرفیت برشی خود می رسد.
پس بحرانی ترین حالت که زودتر اتفاق می افتد، آن است که بار گسترده روی تیر برابر 172.8kN/mشود و تیر به ظرفیت خمشی خود برسد. در این شرایط، شکل زیر نشان دهنده وضعیت تیر است و نیروی قائم تکیه گاه که دنبال آن هستیم، به صورت زیر بدست می آید:

حال اگر مقاومت اتصال انتهایی تیر بیش از این مقدار بدست آمده باشد، مطمئن خواهیم بود که اتصال تیر زودتر از خود تیر خراب نمی شود. دقت دارید که نزدیکترین گزینه به مقدار محاسبه شده فوق، گزینه اول 435 کیلونیوتن است.
بنابراین گزینه 1 صحیح است.
مقاومت برشی تیرها با عمل میدان کششی
در تیرورق ها با ارتفاع زیاد، محاسبه ظرفیت برشی تیرورق بدون در نظر گرفتن عمل میدان کششی می تواند منجر به تعداد زیادی ورق تقویتی در طول تیر شود.
به همین دلیل در این بخش می خواهیم رویکرد عمل میدان کششی را بررسی کنیم که استفاده از آن باعث اقتصادی تر شدن تیر ورق های عمیق می شود.
همانطور که در ابتدای این قسمت نیز بیان کردیم، هنگامی که جان تیرها تحت تنش برشی قرار می گیرد عملا تنش های کششی و فشاری به ورق جان وارد می شود.
ایده اصلی در بحث عمل میدان کششی آن است که تنش های کششی که عمود بر راستای تنش های فشاری ایجاد می شوند، می توانند باعث افزایش ظرفیت برشی مقطع شوند.
همانگونه که در شکل زیر مشاهده می کنید، تنش های کششی در تیرورق هایی که سخت کننده عرضی جان دارند، به همراه تنش های فشاری در ورق های تقویتی می توانند یک عملکرد خرپایی را ایجاد کنند.
بنابراین حضور ورق های سخت کننده یکی از شروط اصلی برای استفاده از عمل میدان کششی است.
از سوی دیگر چنانچه به هر دلیلی از بازشو در جان تیر ورق استفاده شده باشد، توسعه تنش های کششی در پانل مورد نظر امکان نداشته و در آن پانل نمی توان عمل میدان کششی را لحاظ نمود.

در مواردی که قطعات سخت کننده عرضی در جان تیر تعبیه شود، می توان برای تعیین مقاومت برشی اسمی اعضاء از عمل میدان کششی استفاده نمود در این حالت داریم:

نکته: به طور کلی استفاده از عمل میدان کششی برای حالت های زیر مجاز نمی باشد؛
الف) در چشمه های دو انتهای تمامی اعضای دارای سخت کننده های عرضی
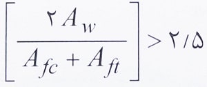
ب) در اعضایی که در آن
می باشد.
پ) در اعضایی که
می باشد.
ت) در اعضایی که
می باشد.
Afc و Aft: به ترتیب سطح مقطع بال فشاری و کششی
bfc و bft: به ترتیب پهنای بال فشاری و کششی
توجه: حداکثر مقدار Cv برابر 1 می باشد. به این ترتیب حداکثر مقاومت اسمی برشی حتی با وجود سخت کننده و استفاده از عمل میدان کششی برابر 0.6FyAw می باشد.
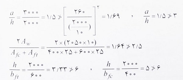
مثال: برای ساخت یک تیر فولادی با دهانه ساده به طول 18 متر، از مقطعی به شکل زیر استفاده شده و سخت کننده های عرضی نیز به فواصل 3 متر در تیر به کار رفته است. برای طراحی این تیر در برابر نیروهای برشی، در کدام چشمه ها می توان از عمل میدان کششی استفاده کرد؟
1- انتهای چشمه های A و G
2- همه چشمه ها با جز A و G
3- همه چشمه ها به جز A و G و D
4- در این تیر مجاز به استفاده از عمل میدان کششی نیستیم.

حل: ضوابط آیین نامه برای مجاز بودن استفاده از عمل میدان کششی را بررسی می کنیم:
به طور کلی در چشمه های دو انتها یعنی A و G مجاز به استفاده از عمل میدان کششی نیستیم.
حال برای بررسی امکان استفاده از عمل میدان کششی در سایر چشمه ها، باید سه موضوع زیر کنترل شود. در صورتی که حتی یکی از موارد برقرار باشند، دیگر نمی توان از عمل میدان کششی در این مقطع استفاده کرد.
اما اگر هیچ یک از این سه حالت برقرار نباشند، می توان در همه چشمه های این تیر به جز A و G از عمل میدان کششی استفاده کرد.

هیچ یک از حالت های فوق برقرار نیست و در نتیجه گزینه 2 صحیح است.
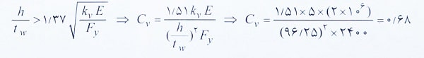
مثال: در مقطع تیرورق شکل زیر، از سخت کننده هایی به فواصل 2720 میلی متر استفاده کرده ایم. اگر در این تیرورق مجاز به استفاده از عمل میدان کششی باشیم، مقاومت برشی اسمی با توجه به عمل میدان کششی چند kN است؟ (از مصالح فولادی با Fy=360MPa استفاده شده است)
1- 1713 2- 2292 3- 2825 4- 3975

حل: در صورت مجاز بودن استفاده از عمل میدان کششی، مقاومت برشی اسمی به صورت زیر محاسبه خواهد شد:

بنابراین گزینه 2 صحیح است.
مثال: در یک تیرورق با مقطع زیر حداکثر نیروی برشی Vu=120ton می باشد. هرگاه حد تسلیم کششی فولاد به کار رفته در ساخت تیرورق Fy=2400kg/cm2 باشد، کدامیک از گزینه های زیر برای تحمل نیروی برشی 120ton در این تیرورق مناسب می باشد؟
1- تیرورق برای تحمل نیروی برشی 120 تن کافی است و نیاز به تقویت ندارد.
2- ضعف این تیرورق را می توان با اتصال سخت کننده هایی به جان تیرورق برطرف نمود.
3- ضعف این تیرورق را می توان با افزایش ضخامت جان تیر برطرف نمود.
4- هیچ کدام از دو راه حل 2 و 3 برای برطرف نمودن ضعف این تیرورق مناسب می باشد.

حل: برای تعیین مقاومت برشی یک تیر باید ابتدا پارامتر Cv برای آن مشخص شود. برای این منظور و براساس مطالب گفته شده قبل، با توجه به اینکه مقطع مورد نظر تیر ورق می باشد داریم:

در ادامه براساس حالت دوم برای محاسبه Cv داریم:

بعد از مشخص شدن Cv می توان مقاومت اسمی و مقاومت طرح این مقطع را محاسبه کرد.

مشاهده می شود که حداکثر نیروی برشی وارد بر این مقطع از مقاومت طرح بیشتر بوده و لذا باید تیر به نوعی تقویت شود.
دقت: رابطه تعیین مقاومت برشی اسمی مقطع به ازی Cv برابر 1 بدست می آید:
![]()
حداکثر مقاومت برشی برای این مقطع حتی با اضافه کردن سخت کننده های عرضی به جان نیز نهایتا 0.9x92ton می باشد. بنابراین تنها راه حل برطرف کردن این ضعف در برابر برش، افزایش ضخامت جان تیر می باشد.
بنابراین گزینه 3 صحیح است.
کنترل تیرها برای نیروی برشی – بخش اول – کنترل تیرها برای نیروی برشی – بخش اول – کنترل تیرها برای نیروی برشی – بخش اول – کنترل تیرها برای نیروی برشی – بخش اول – کنترل تیرها برای نیروی برشی – بخش اول




دیدگاه خود را ثبت کنید
تمایل دارید در گفتگوها شرکت کنید؟در گفتگو ها شرکت کنید.