کنترل تغییر مکان تیرها و دال های بتن آرمه

کنترل تغییر مکان تیرها و دال های بتن آرمه

همانطور که گفته شد، بسیار مهم است که مقدار تغییر شکل قائم در تیرها و دال ها از حد مشخصی فراتر نرود. این حد مشخص، تغییر شکل مجاز نام داشته و برای کنترل آن می توانیم از دو روش زیر مطابق آیین نامه استفاده کنیم:

1- مقدار حداکثر تغییر شکل قائم عضو در محل مقطع بحرانی محاسبه شده و سپس با مقادیر مجاز آیین نامه کنترل شود.

2- ارتفاع یا ضخامت عضو بتن آرمه در همان ابتدای طراحی به نحوی در نظر گرفته شود که نیازی به کنترل تغییر مکان در انتهای طراحی وجود نداشته باشد.

برای استفاده از روش اول کافی است که با توجه به نوع قطعه مقدار تغییر شکل مجاز را مطابق جدول زیر بدست آوریم. در این جدول مقادیر مجاز تغییر شکل تحت بارهای دائمی و زنده ( ردیف 3 و 4 ) و همچنین تحت بارهای زنده ( ردیف 1 و 2 ) بر حسب نسبتی از طول عضو ارائه شده است.

مقادیر مجاز تغییر شکل ها در تیرها و دال ها

در جدول فوق l طول دهانه تیر یا دال بوده و در صورتی که عضو مورد نظر طره باشد، طول دهانه آزاد آن در نظر گرفته می شود.

مطابق مبحث نهم مقررات ملی ساختمان، در ساختمان های متعارف اداری، مسکونی و تجاری به منظور کنترل تغییر شکل ها، رعایت موارد 2 و 4 از جدول کفایت می کند.

بررسی دقیق تر

در کنترل تغییر مکان اعضا مطابق ردیف های 3 و 4 از جدول بالا باید به موارد زیر توجه نمود:

1- در مورد ردیف 3 در صورتی که تدابیر ویژه ای جهت عدم ایجاد خسارت به اعضای غیر سازه ای اندیشیده شده باشد، می توان مقدار تغییر مکان مجاز l/480 را افزایش داد.

2- در کنترل تغییر شکل ها مطابق ردیف 4، مقدار تغییر مکان ایجاد شده نباید از مقدار تغییر مکان مجاز قطعه غیر سازه ای فراتر رود. تغییر مکان مجاز قطعات سازه ای معمولا براساس نوع قطعه و واحد سازنده آن تعیین و اعلام می گردد.

3- در کنترل تغییر شکل تحت بارهای دراز مدت، مطابق ردیف های 3 و 4، آن قسمت از تغییر شکل که قبل از اتصال به اعضای غیر سازه ای ایجاد شده، در نظر گرفته نمی شود. در واقع می توان مقدار تغییر شکل را به صورت زیر محاسبه کرد:

تغییر شکل کل

لذا در صورتی که بخواهیم از روش دوم یعنی تغییر ارتفاع یا ضخامت استفاده کنیم، کافی است با توجه به نوع عضو بتن آرمه و شرایط تکیه گاهی، متناسب با سه حالت زیر حداقل مقدار ضخامت مورد نیاز تعیین می شود.

در واقع در این حالت سختی را آنقدر زیاد می کنیم که مطمئن باشیم پس از اعمال بار تغییر شکل ها در محدوده مجاز قرار می گیرند. برای استفاده از این روش براساس نوع عضو مورد بررسی، سه گروه زیر را در نظر می گیریم:

1- تیرها و دال های یک طرفه: در این حالت با توجه به نوع عضو، شرایط تکیه گاهی و نوع فولاد طولی مصرفی، مقدار حداقل ضخامت بر حسب طول دهانه عضو خمشی یا طول آزاد کنسول l مطابق جدول بالا تعیین می شود.

حداقل ارتفاع یا ضخامت تیر و دال های یک طرفه

دقت شود استفاده از مقادیر جدول هنگامی مجاز است که اعضای مورد نظر ( تیر و دال ) به المان های غیر سازه ای که ممکن است در اثر تغییر مکان دچار آسیب شوند متصل نباشد.

نکته بسیار مهم

مقادیر ارائه شده برای حداقل ضخامت مطابق جدول بالا، برای بتن معمولی و آرماتور طولی با fy=420 MPa، ارائه شده است. در صورت استفاده از سایر انواع فولاد و یا بتن سبک، باید موارد زیر در نظر گرفته شوند:

1- در صورت استفاده از آرماتور طولی با مقاومت حد تسلیم غیر از 420 مگاپاسکال، باید مقادیر جدول را در 0.4+fy/700 ضرب نمود.

2- در اعضای ساخته شده با بتن سبک با وزن مخصوص 1440 تا 1840 کیلوگرم بر متر مکعب، مقادیر جدول باید در ضریب 0.0003wc -1.65 ≥1.09 ضرب شوند.

در تیرهای مرکب بتنی ساخته شده با ترکیب بتن معمولی و سبک که در زمان ساخت آنها از شمع بندی و یا داربست های تکیه گاهی استفاده شود و همچنین زمانی که بتن سبک تحت فشار باشد نیز این ضریب در نظر گرفته می شود.

( wc: وزن مخصوص بتن بر حسب کیلوگرم بر متر مکعب )

همچنین در خصوص ضخامت کل عضو که مطابق جدول محاسبه می شود، لازم است موارد زیر در نظر گرفته شوند:

1- در صورتی که کف پوش بتنی با دال به صورت یکپارچه اجرا شود و یا طراحی آن به منظور انتقال کامل نیروهای بین دال و کفپوش انجام شده باشد، می توان ضخامت کف پوش را شامل ضخامت دال در نظر گرفت.

2- در صورتی که کف تمام شده بتن به صورت یکپارچه با تیرها ریخته شده باشد و یا طراحی آن به نحوی باشد که انتقال نیروهای بین بتن کف و تیر به طور کامل انجام شده و تیرها به صورت مرکب عمل کنند، می توان ضخامت بتن کف را در ضخامت h بدست آمده لحاظ نمود.

2- دال های دو طرفه بدون تیر میانی: در دال های دو طرفه که در آنها نسبت حداکثر طول دهانه بزرگتر به طول دهانه کوچکتر برابر 2 می باشد، مقدار حداقل ضخامت برای اینکه نیازی به کنترل مقدار تغییر مکان ها پس از تحلیل وجود نداشته باشد، براساس جدول زیر تعیین می شود.

نکته مهمی که در این خصوص باید به آن توجه نمود این است که در این حالت در دهانه های داخلی و در حد فاصل تکیه گاه ها از تیر استفاده نشده و تیرها ممکن است در دهانه های خارجی به کار برده شده باشند.

در این حالت با توجه به وجود کتیبه، موقعیت دهانه دال و وجود تیرهای لبه ( پیرامونی ) مقدار حداقل ضخامت دال براساس رده فولاد مصرفی به دست می آید.

نکته بسیار مهمی که در این خصوص باید به آن توجه کرد این است که بعد از تعیین مقدار حداقل ضخامت دال براساس جدول مذکور، لازم است حتما مقادیر بدست آمده با مقادیر حداقل زیر نیز کنترل گردد:

1- دال بدون کتیبه: hmin=125 mm

2- دال با کتیبه: hmin=100 mm

حداقل ضخامت دال های دو طرفه بدون تیر میانی

تذکر: پارامتر ln معرف طول دهانه آزاد دال در جهت بلندتر بوده که برابر فاصله بر تا بر داخلی تکیه گاه ها می باشد.

در خصوص محاسبه مقادیر حداقل ضخامت مطابق جدول فوق، لازم است نکات زیر در نظر گرفته شود:

1- در صورتیکه فولاد مصرفی در محدوده بین اعداد معرفی شده در جدول باشد، می توان مقدار حداقل ضخامت مورد نیاز دال را با درونیابی خطی محاسبه نمود.

2- در چشمه های بیرونی دال هایی که دارای تیر هستند اما سختی خمشی آنها ( αf ) کمتر از 0.8 باشد، ضخامت حداقل دال باید مطابق حالت بدون تیر محاسبه گردد.

در خصوص محاسبه حداقل ضخامت دال های بدون تیر میانی باید به این نکته توجه نمود که در صورتیکه تنش تسلیم  فولاد مصرفی آرماتورهای طولی بیشتر از 550 مگاپاسکال باشد، به دلیل کمتر بودن مساحت فولادها نسبت به حالت استفاده از فولادهای با مقاومت کمتر، مقدار تغییر مکان های دراز مدت بیشتر از شرایط معمولی می باشد.

در این موارد توصیه می شود، مطابق آنچه در ابتدای این پست گفته شد مقدار تغییر مکان ها پس از تحلیل محاسبه شده و با مقادیر مجاز کنترل گردند.

در این خصوص لازم است موارد زیر در محاسبه تغییر مکان ها لحاظ گردند:

1- مقدار مدول گسیختگی بتن کاهش داده شده و برابر fr=0.42√f’c در نظر گرفته شود.

2- تغییر مکان های مجاز این دال ها باید مطابق جدول اول گفته شده بالا کنترل گردد.

تذکر: در دال های دو طرفه ای که فاقد تیر میانی بین تکیه گاه ها بوده ولی نسبت دهانه بزرگ به دهانه کوچک در آنها بیشتر از 2 باشد و یا دال های دو طرفه ای که مقدار حداقل ضخامت مطابق جدول بالا در مورد آنها رعایت نمی شود، لازم است مقدار تغییر مکان ها مطابق جدول اول کنترل گردد.

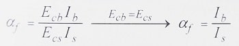
نحوه محاسبه نسبت سختی خمشی αf

ضریب سختی خمشی آلفا بیانگر نسبت خمشی تیر تکیه گاهی به دال در راستای مورد نظر بوده و به صورت زیر تعریف می شود:

فرمول محاسبه سختی خمشی آلفا اف

Ecs, Ecb : مدول الاستیسیته بتن در تیر و دال، در صورتی که بتن مصرفی در تیر و دال از یک نوع باشد این دو مقدار با هم برابر است.

Ib: ممان اینرسی تیر حول مرکز ثقل

Is: ممان اینرسی دال حول مرکز ثقل

در مورد نحوه محاسبه ممان اینرسی تیر باید به این نکته توجه کرد که مقطع تیر در این تعریف شامل عرض جان تیر به همراه تصویر 45 درجه آن قسمت از همان تیر که در زیر یا روی دال هر کدام ارتفاع بیشتری دارد، می باشد.

توجه شود که حداکثر این مقدار به چهار برابر ضخامت دال محدود می گردد. در این حالت مقطع تیر برای تیرهای میانی و کناری به صورت زیر در نظر گرفته می شود:

مقطع تیرهای کناری و میانی در محاسبه نسبت سختی خمشی

در چنین حالتی مقدار ممان اینرسی مقطع بر حسب محل مرکز سطح آن، براساس رابطه کلی زیر بدست می آید:

ممان اینرسی تیر میانی

عمق موثر تیر بتنی

bi و hi: عرض و ارتفاع اجزای مستطیلی

y بار: محل مرکز سطح

yi: فاصله مرکز سطح هر جزء مستطیلی نسبت به مبدا انتخابی

di: فاصله مرکز سطح هر جزء مستطیلی نسبت به مرکز سطح کل

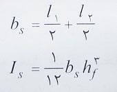
در خصوص محاسبه ممان اینرسی دال، عرض دال به محور مرکزی چشمه های مجاور محدود می شود. در این صورت مطابق شکل زیر داریم:

چشمه دال بتنی

محاسبه عرض دال بتنی

3- دال های دو طرفهدر دال های دو طرفه که تمام اضلاع آنها بر روی تیر قرار گرفته است، مقدار حداقل ضخامت براساس میانگین مقدار نسبت سختی خمشی تیرهای اطراف به دال، αfm، براساس موارد الف تا ج بدست می آید.

الف) αfm≤0.2: در این حالت مقدار حداقل ضخامت، مشابه مقادیر حداقل حالت قبل و طبق جدول بالا و با کنترل موارد حداقل زیر بدست می آید:

1- برای دال های بدون کتیبه: hm=125mm

2- برای دال های با کتیبه یا سر ستون: hmin=100mm

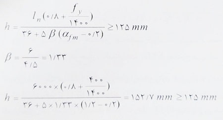
ب) αfm بین 0.2 تا 2: در این حالت مقدار حداقل ضخامت با استفاده از رابطه زیر محاسبه می شود:

ضریب بتا بتن

ج) αfm>2:

محاسبه ارتفاع دال بتنی

ln: طول دهانه آزاد دال در جهت بلندتر به صورت بر تا بر، میلی متر.

fy: مقاومت حد تسلیم آرماتورهای طولی، مگاپاسکال

αfm: میانگین نسبت سختی تیرهای لبه چشمه دال مورد نظر به سختی دال

تذکربا توجه به اینکه در دال های با تیر باید ابندا یک ضخامت برای دال در نظر گرفته شود و سپس با استفاده از آن مقدار αfm تعیین شده و در نهایت مقدار حداقل ضخامت بدست آید و با مقدار فرضی اولیه کنترل شود.

لذا احتمال طرح تست از این قسمت در آزمون نظام مهندسی کمتر بوده، مگر در حالت خاصی که مقدار αfm در صورت سوال داده شده باشد و یا از فرضیات ساده کننده مشابهی استفاده شود.

در لبه های غیر ممتد دال های دو طرفه با تیرهای میانی، لازم است به دلیل کنترل تغییر مکان ها از تیرهای لبه با سختی خمشی حداقل 0.8 ( αf≥0.8 ) استفاده گردد.

در صورتیکه به دلایل مختلف تعبیه چنین تیری با سختی خمشی مذکور ممکن نباشد، لازم است ضخامت حداقل دال که مطابق موارد ب و ج تعیین می شود، در دهانه های ممتد تا 10 درصد افزایش یابد.

مثال: در یک ساختمان با دال دو طرفه بدون تیر میانی و بدون کتیبه با پلانی مطابق شکل، در صورتی که ابعاد مقطع ستون ها 400 در 400 میلی متر و ضخامت دال برابر 200 میلی متر و تیرهای لبه با ابعاد مقطع b=400 mm و h=400 mm باشد، نسبت سختی خمشی αf تیر کناری به کدامیک از مقادیر زیر نزدیکتر است؟

1- 1                                 2- 1.2                          3- 1.4                                4- 1.6

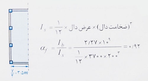
پلان دال دو طرفه

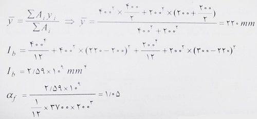
حل: همانطور که گفته شد مقدار αf برابر نسبت سختی خمشی مقطع تیر به سختی خمشی نواری از دال است که از طرفین به محورهای مرکزی چشمه های مجاور در صورت وجود، محدود می شود، مطابق این تعریف داریم:

سختی خمشی نوار دال

در ادامه با استفاده از آنچه در خصوص عرض تیر کناری آموختیم داریم:

عرض تیر کناری دال

در ادامه با توجه به اینکه پاسخ αf به طور تقریبی خواسته شده است، می توان مقدار ممان اینرسی را به صورت تقریبی و با صرف نظر از ترم Ad2 به صورت زیر محاسبه نمود:

ممان اینرسی تیر

همچنین با توجه به اینکه نوار کناری مورد سوال است، برای محاسبه ممان اینرسی دال، لازم است نصف عرض چشمه تا بر خارجی ستون محاسبه گردد:

3700 = 3.7 = 7/2 + 0.2 = نصف عرض چشمه مجاور + فاصله محور ستون تا وجه خارجی دال = عرض دال

دقت شود به دلیل اینکه وجه خارجی دال و تیر بر هم منطبق بوده و از طرفی تیر و ستون هم عرض می باشند، لذا جمله اول برابر نصف عرض تیر نیز می باشد.

سختی خمشی دال دو طرفه با تیر میانی و کناری

تذکر: دقت شود با توجه به عدم در نظر گرفتن ترم Ad2 در محاسبه ممان اینرسی تیر، می دانیم مقدار واقعی کمی بیشتر بوده و لذا مقدار αf باید بیشتر از 0.92 باشد.

بنابراین گزینه 1 صحیح است.

در صورتی که محاسبه دقیق αf مورد نظر باشد، با محاسبه مرکز سطح مقطع تیر و در نتیجه محاسبه مقدار دقیق ممان اینرسی خواهیم داشت:

محاسبه مرکز سختی تیر بتنی

نسبت خمشی آلفا

همانطور که مشاهده می شود مجددا گزینه 1 صحیح است.

مثال: در یک تیر بتن آرمه که متعلق به کف طبقه دوم از یک ساختمان 5 طبقه است، مقدار تغییر مکان آنی تحت بارهای مرده برابر 1.4 سانتی متر و تحت بارهای مرده و زنده برابر 2.4 سانتی متر است. همچنین مقدار تغییر مکان درازمدت تیر تحت بارهای دائمی که شامل بارهای مرده و درصدی از بارهای زنده است، برابر 2.8 سانتی متر بدست آمده است. در صورتی که طول این تیر برابر 6 متر باشد، کدامیک از گزینه های زیر در خصوص تغییر مکان تیر صحیح است؟ اجزای غیر سازه ای متصل به تیر به تغییر مکان حساس نبوده و همزمان با اجرای تیر به آن متصل می شوند.

1- تغییر مکان های تیر در محدوده مجاز قرار دارد.

2- تغییر مکان تیر تحت بارهای زنده بیشتر از مقدار مجاز است.

3- تغییر مکان تیر تحت بارهای مرده و زنده بیشتر از مقدار مجاز است.

4- تغییر مکان تیر تحت بارهای مرده بیشتر از مقدار مجاز است.

حل: برای بدست آوردن پاسخ صحیح در این سوال کافی است مقدار تغییر شکل تحت بارهای زنده و بارهای مرده و زنده، مطابق جدول گفته شده بالا کنترل شود.

با توجه به اینکه تیر مربوط به یک کف سازه ای بوده که به عناصر غیر سازه ای حساس به تغییر مکان اتصال دارد، بنابراین مطابق ردیف های 2 و 4 جدول داریم:

مقدار تغییر مکان تیر تحت بار مرده و زنده

مثال: بام یک ساختمان معمولی، تشکیل شده است از یک دال یک طرفه دو دهانه، که روی سه دیوار با طول بلند اجرا خواهد شد. اگر نخواهیم وارد محاسبات تغییر شکل دال بشویم. در طراحی برای بدست آوردن کمترین ضخامت دال از کدام گزینه باید شروع کنیم؟ ( طول موثر دهانه های دال را به ترتیب 3 و 5 متر فرض کنید. بارهای وارد به بام کاملا متعارف می باشند).

1- ضخامت 190 میلی متر و میلگرد fy=340 MPa

2- ضخامت 170 میلی متر و میلگرد fy=420 MPa

3- ضخامت 150 میلی متر و میلگرد fy=340 MPa

4- ضخامت 250 میلی متر و میلگرد fy=420 MPa

محاسبه ضخامت دال

حل: دال مورد نظر یک طرفه و توپر است و از یک طرف تکیه گاه پیوسته دارد، بنابراین مطابق جدول بالا، حداقل ضخامت مورد نیاز دال توپر با تکیه گاه پیوسته از یک طرف برابر l/24 بدست می آید.

حداقل ضخامت دال دو طرفه بتنی

بنابراین حداقل ضخامت دال باید برابر 210 میلی متر باشد.

همانطور که گفته شد، ضخامت دال بدست آمده از جدول براساس استفاده از میلگرد طولی fy=420 MPa است. از طرفی در گزینه های 1 و 3 فولاد طولی با مقاومت حد تسلیم 340 مگاپاسکال معرفی شده است، بنابراین ضخامت بدست آمده برای دال با استفاده از:

ضخامت دال

بنابراین در صورتی که از فولاد رده S340 استفاده کنیم، حداقل ضخامت مورد نیاز دال، برابر 190 میلی متر بدست می آید. با توجه به اینکه در صورت سوال کمترین ضخامت دال مورد نظر است، بنابراین بین گزینه های 1 و 4، گزینه 1 را به عنوان گزینه صحیح انتخاب می کنیم.

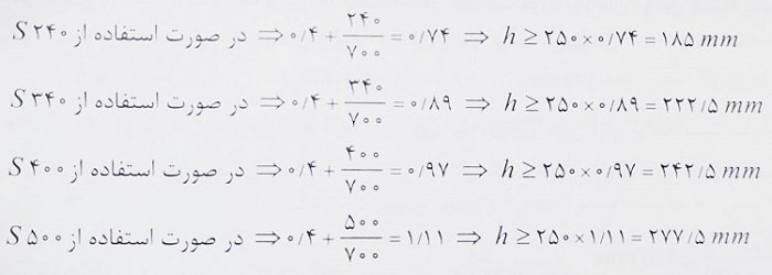
مثال: در یک ساختمان بتن آرمه دارای سه دهانه می خواهیم از دال بتن آرمه یک طرفه با ضخامت مشخص h در تمام دهانه ها استفاده کنیم. در صورتی که طول دهانه دال در دهانه های مجاور به ترتیب برابر 3، 7 و 5 متر باشد، حداقل ضخامت دال مطابق کدامیک از گزینه های زیر می تواند باشد؟

1- 175 میلی متر در صورت استفاده از S240

2- 250 میلی متر در صورت استفاده از S400

3- 225 میلی متر در صورت استفاده از S340

4- 275 میلی متر در صورت استفاده از S500

حداقل ضخامت دال بتنی چقدره

حل: با توجه به شکل داده شده مشاهده می شود که با دو نوع شرایط تکیه گاهی مواجه هستیم. دهانه های اول و آخر از یک طرف پیوسته بوده، در حالی که دهانه میانی از دو طرف پیوسته می باشد. بنابراین باید ضخامت دال در هر دو حالت کنترل شده و مقدار بیشتر در تمام دهانه ها رعایت گردد.

مطابق جدول گفته شده، حداقل ضخامت دال با دهانه پیوسته از یک طرف برابر l/24 و با توجه به دهانه از دو طرف پیوسته برابر l/28 می باشد. بنابراین داریم:

محاسبه ضخامت دال

بنابراین ضخامت به دست آمده از دهانه میانی کنترل کننده بوده و باید در تمام دهانه ها رعایت گردد.. باید به این نکته توجه داشت که این ضخامت در صورت استفاده از فولاد S420 می باشد. با توجه به اینکه در گزینه ها از فولادهای دیگر استفاده شده است بنابراین باید استفاده از ضریب زیر مقدار ضخامت بدست آمده را اصلاح کنیم:

اصلاح ضخامت دال

با توجه به اینکه مقدار ضخامت حداقل خواسته شده است، بنابراین مطابق گزینه ها، گزینه 3 صحیح است.

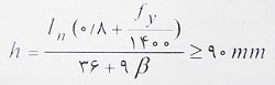
مثال: یک مهندس طراح تیر بتن آرمه ای را به طول 8 متر و با عرض 400 و ارتفاع 500 میلی متر طراحی نموده است. در این تیر از 3Φ20 با فولاد S420 و بتن رده C25 معمولی استفاده شده بود. در مرحله اجرا به دلیل وقوع تغییراتی در طرح اولیه، فولاد رده S340 جایگزین شده و بتن نیز از نوع سبک و با وزن مخصوص 1500 kg/m3 مورد استفاده قرار خواهد گرفت. با توجه به این موارد، به منظور قابل قبول بودن مقطع تیر فقط از نظر تغییر مکان، کدامیک از گزینه های زیر صحیح است؟ تیر دارای تکیه گاهی های ساده می باشد.

1- به منظور قابل قبول بودن مقطع باید حداقل ارتفاع برابر 620 میلی متر باشد.

2- به منظور قابل قبول بودن مقطع باید حداقل ارتفاع برابر با 550 میلی متر در نظر گرفته شود.

3- به منظور قابل قبول بودن مقطع عرض آن باید برابر 700 میلی متر باشد.

4- مقطع قابل قبول است.

حل: با تغییر مصالح فولاد و بتن مصرفی، ممکن است حداقل ارتفاع مقطع به لحاظ کفایت در برابر تغییر مکان پاسخگو نباشد. به همین جهت کافی است مقدار حداقل ارتفاع مورد نیاز مقطع با شرایط جدید کنترل شود. با توجه به اینکه تکیه گاه های تیر ساده می باشند، مقدار حداقل ارتفاع طبق جدول برابر l/16 می باشد.

در ادامه با توجه به تغییر رده مصالح مصرفی و همچنین وزن مخصوص بتن، ضرایب اصلاح را به صورت زیر بدست می آوریم:

اصلاح ضرایب ضخامت دال بتنی

بنابراین حداقل ارتفاع مقطع در این حالت باید برابر 534 = 500 * 1.2 * 0.8 باشد. بنابراین گزینه 2 صحیح است.

مثال: در یک ساختمان بتن آرمه از دال های دو طرفه با ابعاد 4.5×6 m در سیستم کف ها استفاده شده است. این دال ها در تمام وجه ها بر روی تیرهایی با عرض 400 میلی متر قرار گرفته اند. در صورتی که متوسط خمشی تیر به دال در یکی از چشمه ها برابر 1.2 باشد، حداقل ضخامت مورد نیاز دال در این چشمه چقدر باشد؟ آرماتورهای به کار رفته در دال از نوع S400 در نظر گرفته شود.

1- 160 میلی متر                          2- 145                                       3- 175                               4- 120

حل: دال دو طرفه بوده و در تمام جهات بر روی تیرهای پیرامونی قرار گرفته است. بنابراین با توجه به اینکه متوسط نسبت سختی خمشی تیرها به دال برابر 1.2 می باشد داریم:

ضخامت دالهای بتنی

بنابراین گزینه 1 صحیح می باشد.

پیج اینستاگرام سیویل 2

کنترل تغییر مکان تیرها و دال های بتن آرمه – کنترل تغییر مکان تیرها و دال های بتن آرمه – کنترل تغییر مکان تیرها و دال های بتن آرمه – کنترل تغییر مکان تیرها و دال های بتن آرمه – کنترل تغییر مکان تیرها و دال های بتن آرمه

0 پاسخ

دیدگاه خود را ثبت کنید

تمایل دارید در گفتگوها شرکت کنید؟
در گفتگو ها شرکت کنید.

دیدگاهتان را بنویسید

نشانی ایمیل شما منتشر نخواهد شد. بخش‌های موردنیاز علامت‌گذاری شده‌اند *