کنترل ارتعاش در اعضای بتن آرمه
کنترل ارتعاش در اعضای بتن آرمه
یکی از مواردی که باید در طراحی اعضای سیستم کف سازه ها به آن توجه نمود، ارتعاش و یا لرزشی است که بارهای دینامیکی یا جنبشی ایجاد می کنند.
این بارها در سازه های با کاربری های متفاوت می توانند ناشی از حرکت افزاد، بارهای رفت و برگشتی تجهیزات، آسانسورها، ماشین های دوار، … بر سازه اعمال گردند.
به طور کلی لرطش در سازه های بتن آرمه جزء موارد نگران کننده نبوده زیرا معمولا سیستم کف از جرم و سختی بالایی برخوردار می باشد.
اما در سیستم های مختلف و حضور بارهای با شدت های متفاوت این مساله می تواند بر روی بهره برداری ساختمان و کارکرد تجهیزات ئ همچنین احساس آرامش ساکنین تاثیرگذار باشد.
به همین دلیل در ویرایش اخیر مبحث نهم به معرفی این اثر در سازه های بتن آرمه و نحوه کنترل آن به طور خلاصه پرداخته شده است که در این پست با ضوابط ارائه شده در این خصوص آشنا می شویم.
کنترل ارتعاش کف ها
کنترل ارتعاش کف ها
کنترل ارتعاش کف ها ( شامل تیرچه ها، دال ها و تیرها ) براساس مقدار فرکانس دوره ای کف ها و مقایسه آن با مقادیر مشخصی که بر حسب کاربری ساختمان در جدول زیر ارائه شده است انجام می گیرد.
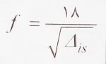
فرکانس کف ها نیز مطابق رابطه زیر براساس تغییر مکان استاتیکی قائم کف تحت اثر بارهای دائمی محاسبه می شود. دفت شود فرکانس کف در واقع پاسخ سیستم کف نسبت به بار اعمالی می باشد.

f: فرکانس دوره ای کف، هرتز
Δis: تغییر مکان استاتیکی آنی قائم در مرکز سقف تحت اثر بار مرده و بخشی از بار زنده که دائمی فرض می شود، میلی متر
در محاسبه فرکانس لازم است موارد زیر در نظر گرفته شود:
1- در محاسبه تغییر شکل ها باید اثر ترک خوردگی در محاسبه مقدار ممان اینرسی موثر Ie لحاظ شود.
2- ضریب ارتجاعی دینامیکی بتن 1.25 برابر مقدار مدول الاستیسیته ( Ec ) در نظر گرفته می شود.
با توجه به موارد فوق، مقدار حداقل فرکانس دوره ای مجاز کف مطابق جدول زیر می باشد:

کنترل ارتعاش در برخشی موارد اهمیت ویژه ای دارد، از جمله:
1- دهانه های با طول نسبتا زیاد
2- سازه هایی که در آنها تجهیزات دینامیکی با فرکانس مشخصی کار می کنند، مثل انواع فن ها، توجه شود بارهای دینامیکی می تواند از نوع چرخشی و یا رفت و برگشتی باشد.
در صورت استفاده از سایر مراجع معتبر بین المللی یا نتایج مثبتی بر آزمایشات تایید شده، می توان کنترل ارتعاش را بر آن اساس انجام داد.
مثال: در یک ساختمان تجاری که در آن از دال یک طرفه بتن آرمه با ضخامت 200 میلی متر استفاده شده است، مقدار تغییر مکان حداکثر در یکی از طبقات با لحاظ اثر دینامیکی ناشی از ارتعاش برابر 24 میلی متر بدست آمده است. حساسیت این کف در برابر ارتعاش را کنترل نمایید.
حل: مطابق رابطه بالا داریم:

مطابق جدول بالا، مقدار حداقل فرکانس در ساختمان های تجاری برابر 4 هرتز در نظر گرفته می شود. بنابراین با توجه به اینکه f=3.67Hz<4Hz است.
لذا این کف نسبت به ارتعاش حساس می باشد. در این خصوص به منظور افزایش فرکانس کف می توان از افزایش سختی سیستم سقف ( از قبیل افزایش ضخامت دال و یا تیرهای تکیه گاهی دال )، به عنوان یک راهکار مناسب استفاده نمود.
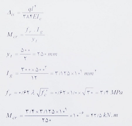
مثال: در یک سالن ورزشی تیر بتنی دو سر گیردار با طول 7.5 متر، به عرض 300 میلی متر و ارتفاع 500 میلی متر تحت بار مرده 36 کیلونیوتن بر متر قرار دارد. در این تیر بتن با رده C30 و وزن مخصوص 2.44 کیلونیوتن بر متر مکعب، فولاد S400 و 4Φ25 به عنوان میلگرد کششی استفاده شده است. نسبت فرکانس دوره ای تیر مورد نظر به حداقل فرکانس دوره ای مجاز آن به کدامیک از گزینه های زیر نزدیکتر است؟ ( از وزن تیر و اثر دائمی بار زنده صرف نظر و ممان اینرسی ترک خورده در مقطع تکیه گاه، برابر 40 درصد ممان اینرسی مقطع ناخالص در نظر گرفته شود. ممان اینرسی موثر کل تیر به طور تقریبی برابر مقدار آن در تکیه گاه لحاظ شود ).
1- 1.36 2- 0.74 3- 1.16 4- 0.86
حل:مطابق رابطه بالا فرکانس دوره ای به صورت زیر محاسبه می شود:

Δis: تغییر مکان قائم حداکثر تحت بار مرده و درصدی از بار زنده می باشد که با توجه به گیردار بودن تیر، مقدار آن مطابق جدول بالا برابر است با:

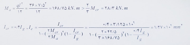
با توجه به صرف نظر از اثر دائمی بارهای زنده، مقدار لنگر خمشی در حالت بهره برداری فقط تحت اثر بارهای مرده و به صورت زیر محاسبه می شود:

دقت شود در محاسبه Δis براساس آنچه گفته شد، مقدار Ec باید 1.25 برابر شود.

مطابق جدول بالا، حداقل فرکانس دوره ای تیر در سالن های ورزشی برابر 9.5 هرتز می باشد. در این صورت نسبت خواسته شده برابر است با:

بنابراین گزینه 2 صحیح است.
کنترل ارتعاش در اعضای بتن آرمه – کنترل ارتعاش در اعضای بتن آرمه – کنترل ارتعاش در اعضای بتن آرمه




دیدگاه خود را ثبت کنید
تمایل دارید در گفتگوها شرکت کنید؟در گفتگو ها شرکت کنید.