پارامترهای مورد نیاز برای طراحی اعضای کششی فولادی
پارامترهای مورد نیاز برای طراحی اعضای کششی فولادی
در یک سازه فولادی، اعضاء کششی کاربردهای زیادی دارند. این اعضاء در ساختمان ها ( به عنوان بادبند)، پل های معلق، سازه های کابلی، خرپاها و … کاربرد فراوانی دارند.
در خصوص طراحی این اعضاء می توان به موارد زیر اشاره کرد:
1- با توجه به حساس نبودن این اعضاء به کمانش، طراحی این اعضاء صرفا بر مبنای معیار مقاومت انجام می شود.
2- در اعضاء کششی با نیروی محوری کم، از مقاطع میلگرد، تسمه، کابل با سطح مقطع کم، پروفیل سبک نبشی و … استفاده می شود.
3- در اعضاء کششی با نیروی محوری زیاد، از پروفیل های دوبل نبشی یا ناودانی، کابل های رشته ای با مقاومت بالا و … استفاده می شود.
مفاهیم اولیه طراحی اعضای کششی
طراحی اعضای کششی صرفا بر مبنای معیار مقاومت انجام شده و با توجه به این موضوع، یکی از ساده ترین مسائل مهندسی محسوب می شود.
در این اعضاء، طراح باید به گونه ای عمل نماید که نیروی محوری کششی تا حد امکان خروج از مرکزیت نداشته و در عضو خمش ایجاد نشود.
به طور کلی طراحی اعضای کششی را می توان در دو ناحیه بررسی کرد. این دو ناحیه در مهاربند زیر نشان داده شده است:

طراحی در طول یک عضو کششی: گاهی اوقات در طول یک عضو کششی، پیچی بر روی عضو قرار نداشته و تنها باید اثر سوراخ های روی عضو در نظر گرفته شود.
این سوراخ ها می تواند به دلیل مسائل اجرایی و یا پیش بینی برای اتصالات اضافی در آینده، بر روی عضو ایجاد شده باشد.
در این حالت که پیچی وجود ندارد این سوراخ ها، از مقدار نیروی محوری در عضو کم نمی کند ولی توزیع تنش در اطراف سوراخ در حالت الاستیک را غیر یکنواخت می کند:

توجه: بنابراین در این حالت تمام مقاطع در طول عضو، برای نیروی محوری T طراحی می شوند.
طراحی در محل اتصال یک عضو کششی: در محل اتصال یک عضو کششی به عضو دیگر که توسط پیچ یا جوش انجام می شود، وسیله اتصال قسمتی از نیروی کششی را تحمل می کند.
به عبارتی با عبور از وسیله اتصال، مقداری از نیروی کششی T کاهش می یابد. به طور مثال در شکل زیر، با فرض سلب بودن ورق و یکسان بودن پیچ ها، نیروی آنها با یکدیگر برابر بوده و معادل 1/3T است.
در این حالت، نیروی محوری در مقاطع مختلف با بررسی تعادل در راستای افق برای نمودار جسم آزاد ورق و پیچ ( به صورت جدا از ورق زیرین) عبارت است از:

همانگونه که مشاهده می شود، با عبور از وسیله اتصال، نیروی محوری در مقطع عضو کاهش می یابد. این موضوع باید در طراحی عضو کششی مد نظر قرار گیرد.
مفهوم سطح مقطع کل و خالص عضو کششی
سطح مقطع کل یا سطح مقطع ناخالص ( gross section ): سطح مقطع عضو کششی بدون در نظر گرفتن اثر سوراخ های قرار گرفته در طول عضو کششی است به طور مثال در تسمه زیر، سطح مقطع کل عبارت است از:

سطح مقطع خالص ( net section ): از تفاضل سطح سوراخ های مقطع از سطح مقطع کل بدست می آید. به طور مثال در شکل فوق، حداقل سطح مقطع خالص در مقطع 2 رخ داده و مقدار آن عبارت است از:

نکته: برای محاسبه سطح مقطع خالص، باید از پارامتر D استفاده شود که آن را قطر محاسباتی سوراخ می گوییم. در جدول زیر برای پیچ های مختلف، قطر اسمی پیچ (db)، قطر اسمی سوراخ (d) و قطر محاسباتی سوراخ (D) ارائه شده است.

تذکر: قطر سوراخ پیچ (قطر اسمی) همواره باید اندکی از قطر پیچ بزرگتر باشد تا پیچ به راحتی درون آن قرار گیرد.
از سوی دیگر در هنگام انجام محاسبات سطح مقطع خالص، باید قطر محاسباتی سوراخ را در نظر بگیریم که 2 میلی متر بیشتر از قطر اسمی سوراخ است و عملا نوعی محافظه کارانه در طراحی به شمار می رود.
شایان ذکر است که در سایر روابطی که قطر سوراخ مورد استفاده باشد، قطر اسمی سوراخ (d) استفاده می شود و تنها برای محاسبه سطح مقطع خالص از D استفاده می کنیم.
اثر سوراخ های زیگزاگ در سطح مقطع خالص
هنگامی که برای اتصال عضو کششی به بیشتر از یک ردیف پیچ (یا پرچ) نیاز داشته باشیم، معمولا سعی می شود سوراخ ها به صورت یک در میان و زیگزاگ آرایش داده شوند تا ضعیف شدن مقطع به حداقل برسد.
در این حالت با توجه به شکل می توان به موارد زیر اشاره کرد:

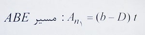
s: فاصله افقی دو سوراخ، در امتداد نیرو
g: فاصله قائم دو سوراخ عمود ABE می باشد. در این مسیر سطح مقطع خالص مانند قسمت قبل عبارت است از:

این مسیر، مانند مسیر قائم گذرنده از سوراخ C می باشد.
2- با توجه به وجود سوراخ های زیگزاگ و مشاهدات آزمایشگاهی، مسیر مایل ABCD نیز می تواند به صورت یک مسیر بحرانی در طراحی مطرح شود.
بر روی این مسیر ترکیبی از تنش های نرمال و برشی وجود داشته ( چرا؟ ) و محاسبات پیچیده ای برای تعیین دقیق سطح مقطع خالص در مقطع ABCD وجود دارد.
3- آیین نامه ها برای محاسبه An در این مسیر، روش ساده ای را پیشنهاد می کنند. در این روش، عرض عمود بر امتداد نیرو را در نظر گرفته و قطر کلیه سوراخ هایی را که در مسیر مایل وجود دارد از آن کم می کند.
در ادامه به ازاء هر خط مایل مانند BC، مقدار s2/4g را به آن اضافه می کنند. با توجه به این موضوع سطح مقطع خالص در مسیر مایل عبارت است از:

4- برای طراحی، Anmin در محاسبات در نظر گرفته می شود که مقدار آن عبارت است از:
![]()
نکته: در صورتی که در یک مسیر بحرانی در یک ورق با ضخامت t و عرض b، چندین قسمت مایل وجود داشته باشد، سطح مقطع خالص در این مسیر بحرانی عبارت است از:

n و D به ترتیب تعداد سوراخ در مسیر مایل و قطر محاسباتی سوراخ ها می باشد.
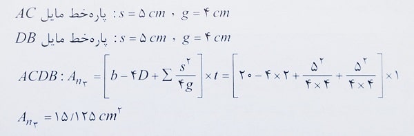
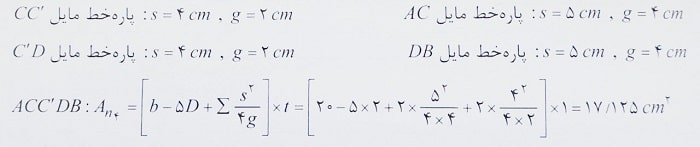
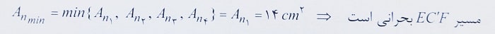
مثال: در ورق زیر، ضخامت ورق t=1cm و قطر محاسباتی سوراخ ها D=2cm می باشد. از بین مسیرهای EC’F، AB ، ACDB ، ACC’DB مسیری که در آن سطح مقطع خالص، بحرانی است کدام است؟
1- EC’F
2- AB
3- ACDB
4- ACC’DB

حل: مسیرهای EC’F و AB دو مسیر قائم بوده و سطح مقطع خالص در آنها عبارت است از:

در مسیر مایل ACDB، دو پاره خطر مایل و چهار سوراخ وجود داشته و داریم:

در مسیر مایل ACC’DB، چهار پاره خط مایل و پنج سوراخ وجود داشته و داریم:

و کمترین سطح مقطع خالص در این ورق عبارت است از:
![]()
بنابراین گزینه 1 صحیح است.
سطح مقطع خالص موثر عضو کششی
نبشی نشان داده شده در شکل زیر را در نظر بگیرید، این نبشی توسط سه پیچ به ورق زیرین متصل شده است.

در این حالت توزیع تنش در نبشی یکنواخت نبوده و در منطقه هاشور خورده، مقدار آن کمتر است ( بال متصل شده نقش بیشتری در انتقال نیرو دارد).
از طرفی باید دقت شود که در این حالت با توجه به مفاهیم ارائه شده در ابتدای فصل، با عبور از وسایل اتصال نیروی محوری در مقطع عضو تغییر کرده و هر وسیله اتصال، قسمتی از نیرو را جذب می کند.
این دو موضوع در کنار هم، سبب می شود که نگاه ویژه ای به طراحی در محل اتصال یک عضو کششی به عضو دیگر داشته باشیم.
مبحث دهم مقررات ملی ساختمان با توجه به مفاهیم ارائه شده در شروع این بحث، با استفاده از ضریب کاهنده U در محاسبات تلاش می کند که غیر یکنواختی تنش در محل اتصال را در نظر بگیرد.
به همین منظور، از سطح مقطع موثر ( Ae ) را برای طراحی اعضاء کششی در محل اتصال دو عضو استفاده می کند.

تبصره: در ورق وصله های پیچی در اعضای کششی داریم:
![]()
Ag: سطح مقطع کلی عضو An: سطح مقطع خالص عضو
Ae: سطح مقطع خالص موثر عضو U: ضریب تاخیر برشی
نکته ای مهم
ضریب U در محاسبه سطح موثر، ضریبی کاهشی بوده و مقدار این ضریب به تعداد و آرایش پیچ هایی که در اتصال شرکت دارند و همچنین طول خط جوش در اتصالات جوشی بستگی دارد.
مقادیر این ضریب در ادامه شرح داده می شود، به عنوان یک نکته مهم و کلیدی، به خاطر بسپارید که در ورق های روی هم مطابق شکل زیر که با چند پیچ به هم وصل شده اند ضریب U برابر یک در نظر گرفته می شود.

نحوه محاسبه ضریب تاخیر برشی (U)
برای در نظر گرفتن اثر تاخیر برشی در اتصالات، ضریب کاهنده U باید به سطح مقطع خالص ( An ) اعمال شود. حال برای بدست آوردن ضریب U در این حالت با توجه به آیین نامه داریم:
1- در اعضای کششی که تمام اجزای آنها برای انتقال نیروی کششی متصل شده اند، ضریب U برابر 1 منظور می شود.
2- در صورتی که سطحی مانند ناودانی یا نبشی مطابق شکل زیر توسط قسمتی از اجزای مقطع نیروی کششی را منتقل کند، ضریب U عبارت است از:

x: فاصله صفحه اتصال تا مرکز سطح قسمت درگیر
L: طول اتصال ( در این شکل طول خط جوش عمود بر صفحه می باشد)
3- در نیمرخ های تک نبشی که توسط یک بال متصل شده باشند داریم:

ضریب U* به صورت زیر تعیین می شود:
1-3- در نیمرخ های تک نبشی که دارای اجزای متصل نشده باشند و حداقل چهار وسیله اتصال در هر ردیف در امتداد نیرو وجود داشته باشد، ضریب U* برابر 0.8 فرض می گردد.

2-3-در نیمرخ های تک نبشی که دارای اجزای متصل نشده باشند و فقط دو یا سه وسیله اتصال در هر ردیف در امتداد نیرو وجود داشته باشد، ضریب U* برابر 0.6 فرض می گردد.

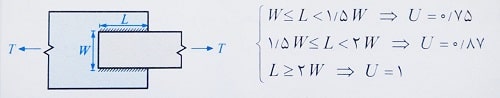
4- در اتصال تسمه و ورق با جوش های طولی در دو لبه موازی، ضریب U طبق روابط زیر تعیین می گردد:

L: طول جوش W: پهنای ورق ( فاصله بین خطوط جوش )
تذکر: علاوه بر حالت های گفته شده، موارد دیگری نیز برای محاسبه ضریب تاخیر برش U وجود دارد که در صورت نیاز از جدول (10-2-3-1) صفحات 36 و 37 مبحث دهم مقررا ملی ساختمان ( ویرایش 1392 ) تعیین می شود.
در ورق های اتصال ( وصله ) اعضای خرپا یا مهاربند ها که تحت اثر نیروی کششی قرار می گیردند، سطح مقطع موثر برابر سطح مقطع خالص می باشد که نباید بزرگتر از 85 درصد سطح مقطع کل باشد.

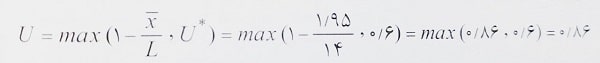
مثال: برای مقطع نبشی شکل زیر، مقدار ضریب تاخیر برشی چقدر است؟
1- 0.86 2- 0.8 3- 0.72 4- 0.6

حل: از آنجا که نبشی توسط یک بال خود متصل شده است داریم:

توجه 1: مقدار x از شکل زیر و با رجوع به جدول اشتال بدست آمده است.

توجه 2: از آنجا که دو یا سه وسیله اتصال در هر ردیف در امتداد نیرو وجود دارد، U* برابر 0.6 است.
بنابراین گزینه 1 صحیح است.
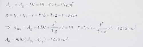
مثال: مساحت موثر عضو کششی زیر در ناحیه اتصال کدام است؟ (پیچ ها 6M16، ضخامت نبشی یک سانتی متر و مساحت آن 19 سانتی متر مربع است.)
1- 14.45 2- 13.175 3- 15.5 4- 17

حل:

در ادامه برای محاسبه An در مقطع های مختلف، از نبشی باز شده استفاده کرده و داریم (دقت کنید مسیرهای 1 و 2، نیروی وارد بر عضو برابر T می باشد و از هیچ پیچی به طور کامل عبور نکرده ایم. با توجه به این موضوع هر کدام از آنها که An کوچکتری داشته باشد، بحرانی تر است):

در نهایت چون در این اتصال هر دو بال نبشی متصل شده است، U=1 در نظر گرفته می شود و در نتیجه مساحت موثر کششی مقطع عبارت است از:
![]()
بنابراین گزینه 3 صحیح است.
پارامترهای مورد نیاز برای طراحی اعضای کششی فولادی – پارامترهای مورد نیاز برای طراحی اعضای کششی فولادی – پارامترهای مورد نیاز برای طراحی اعضای کششی فولادی – پارامترهای مورد نیاز برای طراحی اعضای کششی فولادی – پارامترهای مورد نیاز برای طراحی اعضای کششی فولادی




دیدگاه خود را ثبت کنید
تمایل دارید در گفتگوها شرکت کنید؟در گفتگو ها شرکت کنید.