مفاهیم اولیه در مورد مقاطع مختلط (فولاد و بتن)
مفاهیم اولیه در مورد مقاطع مختلط (فولاد و بتن)
اصطلاح مقاطع فولادی مختلط یا مرکب، به مقاطعی گفته می شود که در آن از پروفیل های فولادی به همراه یک بخش بتن آرمه استفاده شده است.
برای کاربرد مقاطع مختلط مزیت های زیادی وجود دارد که از جمله آن می توان به کاهش وزن فولاد مورد نیاز، کاهش ارتفاع تیرها، افزایش سختی مقاطع و همچنین تحمل بارهای اضافی اشاره نمود.
مزایای استفاده از مقاطع مختلط
استفاده از مصالح فولاد و بتن به صورت مجزا در طراحی سازه ها از دیرباز مورد توجه مهندسان بوده است. خواص منحصر به فردی که هر یک از این مصالح دارا می باشد، باعث شده که در یک مقایسه کلی نتوان سازه های فولادی را به سازه های بتنی یا بالعکس برتری داد.
با این وجود از اوایل قرن 20 میلادی استفاده همزمان از مصالح بتنی و فولادی در ساخت سازه ها مد نظر مهندسان قرار گرفت.
به طور کلی هدف اصلی این کار، استفاده از مزایای هر دو مصالح و پوشش معایب آنها می باشد. در اعضای با مقطع مرکب (مختلط)، می توان از ظرفیت فشاری بتن و ظرفیت کششی فولاد به صورت همزمان استفاده نمود.
نکته قابل ذکر در ارتباط با سازه های مختلط، لزوم عملکرد همزمان هر دو مصالح بین ورق های فولادی و قطعه بتنی برقرار باشد تا از لغزش این دو بر روی یکدیگر جلوگیری شود.
در توضیح بیشتر این موضوع، به دو حالت زیر توجه کنید:
حالت 1 ( بدون برش گیر): در این حالت دال بتنی و تیر فولادی هر یک به صورت مجزا عمل می کنند و با تقریب خوبی می توان گفت که صفحات عمود بر محور تیر از خمش نیز عمود بر محور تیر و به صورت مسطح باقی می مانند.
بنابراین تغییرات کرنش در دال بتنی و تیر فولادی به صورت خطی است. با صرف نظر کردن از اصطکاک جزئی در محل تماس دال بتنی و تیر فولادی، شکل زیر تغییرات کرنش را در ارتفاع مقطع نشان می دهد.
در این حالت نکات زیر حائز اهمیت است:
1- در این حالت دو محور خنثی در مقطع وجود داشته که یکی در وسط ارتفاع تیر فولادی قرار دارد.
2- در هر قسمت نیروی فشاری و کششی با یکدیگر برابر است (Ts=Tc) شایان ذکر است که تحت اثر لنگر مثبت، قسمت های فوقانی تیر فولادی و دال بتنی تحت فشار قرار می گیرد.
3- لنگر خمشی قابل تحمل توسط مجموعه از جمع لنگر خمشی دال بتنی و تیر فولادی بدست آمده و در محل اتصال بتن و فولاد شاهد لغزش هستیم.

حالت 2 (برش گیر کافی): اگر بین مصالح بتنی و فولادی از قطعات واسطی به نام برشگیر استفاده شود، رفتار کل مقطع به صورت مرکب خواهد شد.
در این حالت رفتار مرکب، هیچ گونه لغزشی در محل اتصال دو ماده رخ نمی دهد و مقطع تیر فقط دارای یک محور خنثی است.
در این حالت تحت اثر لنگر مثبت، بالای محور خنثی تحت فشار و پایین محور خنثی تحت کشش است و توزیع کرنش در ارتفاع مقطع به صورت پیوسته می باشد که در شکل زیر مشاهده می کنید.
در این حالت نکات زیر حائز اهمیت است:
1- لنگر خمشی قابل تحمل مقطع در این حالت، بزرگتر از حالت قبل می باشد. محاسبات انجام گرفته نشان می دهد که ظرفیت باربری یک عضو خمشی با مقطع مرکب حدود 30 درصد بیشتر از مقطعی با مشخصات یکسان ولی بدون برشگیر است.
2- اساس مقطع تیر نسبت به حالت قبل افزایش محسوسی خواهد داشت که موجب کاهش تنش های ناشی از خمش می شود.
3- با توجه به افزایش قابل توجه ممان اینرسی، خیز تیر در مقایسه با حالت بدون برشگیر کمتر است.
4- توجه شود که در صورت کافی نبودن تعداد برش گیرها، عملکرد تیر به صورت مرکب محسوب نشده ولی میزان لغزش بین بتن و فولاد از حالت اول کمتر است.
همچنین واضح است که مقاومت خمشی مقطع در این حالت مقداری بین حالت های با برش گیر کافی و بدون برش گیر دارد.

بررسی تاثیر نحوه اجرای تیر مرکب بر طراحی تیر
پس از نصب تیر فولادی و بتن ریزی دال، مدت زمانی طول می کشد تا بتن سفت شود. در این مدن بارهای وارده باید توسط تیر فولادی و یا شمع بندی موقت تحمل شود.
1- اگر شمع بندی استفاده نشود، تیر فولادی باید به تنهایی وزن خود و بتن خیس و وزن قالب ها را تحمل کند. پس از کسب 75 درصد مقاومت نهایی 28 روزه توسط بتن، عملکرد مرکب تیر فولادی و بتن شروع می شود و وزن دال بتنی، توسط تیر مرکب (تیر فولادی همراه با قسمتی از دال بتنی) تحمل می شود.
2- اگر از شمع بندی استفاده شود، وزن تیر فولادی و دال بتنی خیس توسط شمع ها تحمل شده و می توان از تیر فولادی ضعیف تری استفاده کرد.
تذکر: هزینه های اضافی اجرای تیر مرکب با شمع و مشکلات اجرایی آن جزء معایب و امکان استفاده از تیر فولادی ضعیف تر جزء محاسن روش اجرا با شمع می باشد.
نکته: نحوه اجرای تیر مرکب تاثیری در مقاومت نهایی آن ندارد و نتایج آزمایشگاهی نشان داده است که چه تیر مرکب با سیستم شمع بندی اجرا شود و چه بدون سیستم شمع بندی، در شرایط یکسان برای مقاطع در هر دو حالت مقاومت نهایی آن تقریبا مساوی است.
کنترل فشردگی در مقاطع مختلط
به طور کلی برای ساخت مقاطع مختلط به یکی از دو روش زیر عمل می شود:
الف) مقطع مختلط محاط در بتن: مقطع مختلط می تواند از مقاطع فولادی نورد شده یا ساخته شده از ورق که در بتن سازه ای محاط بوده تشکیل شود.
ب) مقطع مختلط پر شده با بتن: مقطع بتن مختلط می تواند از مقاطع توخالی مستطیلی شکل نورد شده یا ساخته شده از ورق با جوش پیوسته و مقاطع تو خالی دایره ای شکل که با بتن سازه ای پر شده، تشکیل شود.

واضح است که در حالت اول مقطع فولادی به طور کامل در درون بتن مدفون شده و امکان کمانش موضعی برای اجرای آن وجود ندارد.
در مقابل اگر درون مقطع فولادی با بتن پر شود، احتمال ایجاد کمانش موضعی برای اجرای آن وجود خواهد داشت. به همین دلیل براساس آیین نامه باید نسبت پهنا به ضخامت برای اجزای مقطع پر شده با بتن براساس جداول زیر کنترل شود:
مقطع مختلط فشرده: اگر نسبت پهنا به ضخامت هیچ یک از اجزای مقطع از λp تجاوز نکند.
مقطع مختلط غیر فشرده: اگر نسبت پهنا به ضخامت یک یا چند جزء مقطع از مقدار λp بیشتر ولی از λr کمتر باشد.
مقطع مختلط با اجزای لاغر: اگر نسبت پهنا به ضخامت یک یا چند جزء مقطع از λr بیشتر باشد.
جدول پارامترهای λp و λr برای مقاطع مختلط تحت اثر فشار

جدول پارامترهای λp و λr برای مقاطع مختلط تحت اثر خمش

تذکر: در جدول های بالا، مقدار حداکثر نسبت مجاز در ستون ششم ذکر شده است. این مقدار به این معنی است که حتی نسبت های پهنا به ضخامت اجزای مقطع مختلط لاغر نیز نباید از این مقادیر بیشتر باشند.
مثال: برای ساخت یک عضو فولادی، از مقطع مختلط شکل زیر استفاده شده است. حداکثر مقدار شعاع خارجی این مقطع تقریبا چقدر باشد تا این مقطع به عنوان یک ستون، شرایط فشرده و به عنوان یک تیر، شرایط غیر فشرده داشته باشد؟ (Fy=360MPa)
1- 125 سانتی متر 2- 75 3- 138 4- 83

حل: اگر این مقطع بخواهد به عنوان ستون مختلط به کار رود، حداکثر نسبت D/t برای فشرده بودن آن باید برابر 0.15E/Fy باشد.
از طرفی اگر این مقطع بخواهد به عنوان تیر مختلط به کار رود، حداکثر نسبت D/t برای غیر فشرده بودن آن برابر 0.21E/Fy است. بنابراین از آنجا که می خواهیم هر دو شرط برقرار باشد و شرط 0.15E/Fy محدودکننده تر است، آن را انتخاب کرده و در نتیجه اگر رابطه زیر برقرار باشد، هر دو حالت مورد نظر اتفاق می افتد:

بنابراین گزینه 4 صحیح است.
عرض موثر دال بتنی در تیرهای مختلط
در برخی از سازه های فولادی، سقف سازه به صورت یک دال بتنی است که روی تیرهای فولادی قرار می گیرد، در صورتی که اتصال مناسب بین دال و تیر برقرار باشد، به مجموعه آنها تیر مرکب گفته می شود.
برای محاسبه خصوصیات هندسی مقطع مرکب لازم است عرض موثری از دال بتنی که با تیر فولادی در تحمل بار مشارکت می کند تعیین شود. عرض موثر دال بتنی (be) طبق رابطه زیر در نظر گرفته می شود:

Ln: طول دهانه تیر (مرکز تا مرکز تکیه گاه های تیر)
تذکر: در صورتی که S در دو طرف مقطع تیر یکسان نباشد، برای محاسبه be/2 در هر طرف تیر، از S مربوط به آن طرف استفاده می شود.
تبصره: حداقل ضخامت دال بتنی، 80 میلی متر مقرر می گردد.
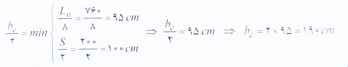
مثال: در مقطع مختلط زیر، طول دهانه تیرها 7.6 متر است، عرض بال فوقانی 10 سانتی متر و عرض بال تحتانی 20 سانتی متر است، در مورد عرض موثر دال بتنی در تیر a کدام گزینه صحیح است؟
1- 160 سانتی متر 2- 170 3- 190 4- 200

حل: عرض موثر دال بتنی که به صورت مختلط با تیر عمل می کند برای تیر داخلی (a) عبارت است از:

بنابراین گزینه 3 صحیح است.
محاسبه خصوصیات تیرهای مختلط در حالت الاستیک
بعد از محاسبه عرض موثر دال بتنی، به منظور محاسبه خصوصیات هندسی تیر مرکب، از روش مقطع تبدیل یافته استفاده می شود.
برای این کار باید عرض موثر be را بر ضریب n، که نسبت مدول الاستیسیته فولاد به بتن (Es/Ec) است نمود و ضخامت دال بتنی را ثابت در نظر گرفت. ( n=Es/Ec=8-10)
اگر محور خنثی در ناحیه بتن مقطع تبدیل یافته قرار گیرد، از قسمت کششی بتن در محاسبه خصوصیات هندسی مقطع صرف نظر می شود.
معمولا در مقاطع مرکب تحت اثر لنگر مثبت، بال پایین تیر فولادی را با ورق فولادی تقویت می کنند. در این حالت اغلب محور خنثی در ناحیه بتنی قرار نمی گیرد و از تمامی ظرفیت فشاری بتن می توان استفاده نمود.
اما اگر مقطع مرکب تحت اثر لنگر منفی قرار گیرد، بتن تحت کشش می افتد و در این حالت باید از میلگردهای طولی در قسمت بتنی برای تحمل کشش در ناحیه فوقانی تیر مرکب استفاده نمود.

مثال: اساس مقطع تیر مختلط زیر (در محاسبات تنش) نسبت به تار پایینی مقطع تقریبا چقدر است؟ ( n=Es/Ec=81 و A=23.9cm2 و Ix=1320 cm4)
1- 313.6 2- 348.1 3- 734.9 4- 955.3

حل: در مقطع تیر مختلط، ابتدا باید قسمت بتنی به فولاد معادل تبدیل شود. سپس با تعیین محور خنثی، اساس مقطع نسبت به تار پایینی محاسبه می گردد.

از طرفی با توجه به اینکه در اینگونه از مقاطع مختلط عمدتا محور خنثی در قسمت بتنی قرار می گیرد، لذا باید از بتن زیر محور خنثی صرف نظر شود (به دلیل ترک خوردگی بتن) به همین دلیل اگر فرض کنیم که فاصله محور خنثی از بالای مقطع برابر y است و به اندازه 10-y از ناحیه بتنی ترک خورده است، داریم:

نزدیکترین گزینه به جواب فوق، گزینه 1 است.
محدودیت ها و جزئیات بندی مقاطع مختلط
در این بخش می خواهیم محدودیت هایی که مبحث دهم مقررات ملی ساختمان در مورد جزئیات مقاطع مختلط بیان کرده است را بررسی نماییم.
محدودیت های مصالح در اعضای با مقطع مختلط
بتن، میلگرد و مقاطع فولادی در اعضای مختلط باید دارای شرایط زیر باشند، مگر آنکه استفاده از مصالح با شرایط مغایر با شرایط زیر توسط آزمایش یا تحلیل توجیه شده باشد:
1- مقاومت فشاری مشخصه نمونه استوانه ای بتن (f’c) برای بتن های با وزن مخصوص معمولی نباید از 20 مگاپاسکال و 70 مگاپاسکال بیشتر و برای بتن های سبک نباید از 20 مگاپاسکال کمتر و از 40 مگاپاسکال بیشتر باشد.
2- مصالح بتن پر مقاومت را می توان برای محاسبات مربوط به سختی اعضاء مورد استفاده قرار داد، لیکن برای محاسبات مقاومت اسمی اعضای با مقطع مختلط نمی توان به آن تکیه کرد، مگر اینکه نتایج آزمایش با تحلیل استفاده از آن را توجیه نماید.
3- تنش تسلیم میلگردها و مقاطع فولادی اعضای با مقطع مختلط نباید از 500 مگاپاسکال تجاوز نماید.
جزئیات بندی اعضای محوری با مقطع مختلط محاط در بتن
1- الزامات مربوط به پوشش بتن روی آرماتورها، وصله آرماتورها، فواصل آرماتورها و خم آرماتورها و خم آرماتورها باید با توجه به الزامات مبحث نهم مقررات ملی ساختمان تعیین گردد.
2- فاصله آزاد بین مقطع فولادی و آرماتورهای طولی باید از 1.5 برابر قطر آرماتور طولی و 40 میلی متر بزرگتر باشد.
3- به طور کلی در اینگونه اعضاء نیازی به در نظر گرفتن کمانش موضعی نمی باشد، لیکن در صورتی که بخش فولادی از دو یا تعداد بیشتری مقطع تشکیل شده باشد، مقاطع فولادی باید از طریق بست که می تواند از تسمه، نبشی، ناودانی یا مقاطع مناسب دیگر انتخاب شود، به یکدیگر متصل شوند تا از کمانش هر یک از مقاطع به تنهایی در اثر بارهای وارد بر آنها قبل از سفت شدن بتن جلوگیری به عمل آید.
جزئیات بندی برشگیرها
1-در اعضای با مقطع مختلط محاط در بتن، فاصله برشگیر تعبیه شده در بالا و پایین ناحیه انتقال برش طولی، نباید از دو برابر کوچکترین بعد مقطع مختلط باشد.
برشگیرهای تعبیه شده جهت انتقال برش طولی، باید حداقل در دو وجه مقطع فولادی به صورت قرینه مورد استفاده قرار گیرد.
2- در اعضای با مقطع مختلط پر شده با بتن در صورت نیاز به تعبیه برشگیر در داخل مقاطع فولادی، فاصله برشگیرها در محدوده طول انتقال برش طولی، برای مقاطع مستطیلی تو خالی نباید از دو برابر کوچکترین بعد مقطع مستطیلی و برای مقاطع لوله ای شکل نباید از دو برابر قطر بیرونی لوله بیشتر اختیار شود.
3- قطر گل میخ نباید از 2.5 برابر ضخامت فلز پایه که به آن جوش می شود، تجاوز نماید مگر اینکه گل میخ دقیقا در امتداد جان مقطع فولادی قرار گرفته باشد.
4- برشگیرها باید یا از نوع گل میخ های کلاهک دار که طول آنها بعد از نصب حداقل 4 برابر قطرشان است باشند یا از نوع ناودانی گرم نورد شده باشند.
5- برشگیرها باید در دال هایی مدفون شوند که سنگدانه های آنها برای بتن معمولی باشند.
6- به استثنای برشگیرهای نصب شده در داخل کنگره ورق های فولادی شکل داده شده، برشگیرها باید حداقل 25 میلی متر پوشش جانبی از بتن داشته باشند.
حداقل فاصله گل میخ تا لبه بتن در امتداد برش افقی برای بتن های با وزن مخصوص معمولی باید 20 میلی متر و برای بتن های سبک 25 میلی متر باشد.
7- حداقل فاصله مرکز تا مرکز بین برشگیرهای از نوع گل میخ مساوی 6 برابر قطر آنها در امتداد محور اصلی تیر و 4 برابر قطر آنها در امتداد عمود بر محور طولی تیر با مقطع مختلط می باشد.
مگر در داخل کنگره های ورق های فولادی شکل داده شده که حداقل فاصله مرکز تا مرکز در هر امتداد را می توان 4 برابر قطر گل میخ انتخاب کرد. حداکثر فاصله مرکز تا مرکز بین برشگیر ها نباید از 8 برابر ضخامت کل دال بتنی یا 800 میلی متر تجاوز نماید.
8- برشگیر باید حداقل 25 میلی متر پوشش جانبی از بتن داشته باشند.
9- حداقل فاصله مرکز تا مرکز گل میخ در هر امتداد 4 برابر قطر گل میخ می باشد.
10- حداکثر فاصله مرکز تا مرکز گل میخ ها 30 برابر قطر گل میخ می باشد.
11- حداکثر فاصله مرکز تا مرکز برشگیرهای از نوع ناودانی 500 میلی متر می باشد.
محدودیت های مقاطع مختلط به همراه ورق های فولادی شکل داده شده
1- ارتفاع اسمی ورق های فولادی شکل داده شده (hr)نباید از 75 میلی متر بیشتر باشد. پهنای متوسط کنگره های پر شده با بتن نباید کمتر از 50 میلی متر باشد، لیکن در محاسبات نباید بزرگتر از حداقل پهنای آزاد (خالص) در نزدیکی سطح فوقانی ورق فولادی شکل داده شده در نظر گرفته شود.
2- دال بتنی باید به وسیله گل میخ های برشگیر با قطر حداکثر 20 میلی متر به مقطع فولادی متصل شوند. گل میخ ها باید از طریق ورق فولادی شکل داده شده یا به طور مستقیم به مقطع فولادی جوش شوند.
در هر حال گل میخ ها باید روی بال مقطع فولادی ذوب شوند. پس از نصب، ارتفاع گل میخ ها که از بالای ورق فولادی شکل داده شده اندازه گیری می شود، نباید از 40 میلی متر کمتر باشد. پوشش بتن روی گل میخ ها نباید کمتر از 15 میلی متر باشد.
3- ضخامت دال بتنی در قسمت فوقانی ورق شکل داده شده نباید کمتر از 55 میلی متر باشد.
4- ورق های فولادی شکل داده شده باید در فواصلی حداکثر 450 میلی متر به مقطع فولادی و سایر اعضای تکیه گاهی مهار شوند.
این مهار ها می توانند گل میخ های برشگیر، ترکیبی از گل میخ ها و جوش های نقطه ای یا هر راهکار ارائه شده توسط مهندس طراح باشد.

5- در ورق های فولادی شکل داده شده که کنگره های آنها عمود بر محور تیر می باشد، برای تعیین مشخصات هندسی مقطع مختلط و نیز در محاسبه Ac باید از بتن موجود در زیر سطح فوقانی ورق فولادی شکل داده شده صرف نظر شود.

6- در ورق های فولادی شکل داده شده که کنگره های آنها موازی با محور تیر می باشد، برای تعیین مشخصات هندسی مقطع مختلط و نیز در محاسبه Ac می توان از بتن موجود در زیر سطح فوقانی ورق فولادی شکل داده شده استفاده نمود.
همچنین ورق های فولادی شکل داده شده را می توان در روی تیر فولادی تکیه گاهی از هم جدا کرد تا روی بال مقطع فولادی یک ماهیچه بتنی تشکیل شود.
چنانچه ارتفاع اسمی ورق های فولادی شکل داده شده (hr) به مقدار 40 میلی متر یا بزرگتر باشد، پهنای متوسط کنگره های پر شده با بتن در روی تیر تکیه گاهی نباید کمتر از 50 میلی متر برای حالت یک گل میخ در پهنا باشد.
این پهنای حداقل برای هر گل میخ اضافی، به اندازه 4 برابر قطر گل میخ باید افزایش یابد.


مثال: در شکل زیر بخشی از یک سقف مرکب با ورق های فولادی شکل داده شده، نشان داده شده است. استفاده از کدام گل میخ در این سقف قابل قبول است؟
1- قطر 16 و ارتفاع 75 میلی متر
2- قطر 19 و ارتفاع 120 میلی متر
3- قطر 16 میلی متر و ارتفاع 100 میلی متر
4- قطر 22 میلی متر و ارتفاع 120 میلی متر

حل: با توجه به توضیحات ارائه شده، دال بتنی باید به وسیله گل میخ های برشگیر با قطر حداکثر 20 میلی متر به مقطع فولادی متصل شود و همچنین پس از نصب، ارتفاع گل میخ ها که از بالای ورق فولادی اندازه گیری می شود نباید از 40 میلی متر کمتر باشد.
با توجه به این دو محدودیت آیین نامه گزینه 4 نادرست است زیرا قطر گل میخ 22 میلی متر بوده که از 20 میلی متر تجاوز کرده است.
از طرفی با توجه به شکل ارائه شده در این تست، ارتفاع کنگره های ورق فولادی 75 میلی متر است و بنابراین با توجه به محدودیت ذکر شده در مورد ارتفاع گل میخ ها، حداقل ارتفاع گل میخ باید برابر 75+40=115 باشد که در بین سه گزینه اول فقط گزینه 2 این محدودیت را ارضاء می کند.
بنابراین گزینه 2 صحیح است.




دیدگاه خود را ثبت کنید
تمایل دارید در گفتگوها شرکت کنید؟در گفتگو ها شرکت کنید.