مفاهیم اولیه درباره طراحی اعضای فشاری فولادی
مفاهیم اولیه درباره طراحی اعضای فشاری فولادی
در قسمت ابتدایی، مفاهیم اولیه اعضایی بررسی می شود که تحت نیروی فشاری خالص قرار دارند. قابل ذکر است از آنجا که اعضای فشاری عمدتا به شکل ستون در سازه ها کاربرد دارند، از واژه ستون به جای عضو فشاری استفاده می کنیم.
در این پست ابتدا رابطه تعیین بار کمانشی ستون ها را بررسی کرده و سپس نحوه محاسبه ضریب طول موثر ستون ها در حالت های مختلف را یاد می گیریم.
همچنین در ادامه بحث ها، موضوع نسبت لاغری بحرانی و ضوابط آن را مرور خواهیم کرد.
بار کمانشی ستون ها
اعضای فشاری به شکل های مختلف در سازه های فولادی مورد استفاده قرار می گیرند که ستون ها از جمله رایج ترین و معمول ترین این اعضاء هستند در طراحی اعضای فشاری می بایست این نکته را مورد توجه قرار داد که به دلیل لاغری و ضعیف بودن مقاطع فولادی، ممکن است خرابی در سازه قبل از آنکه تنش ها در مقطع به حد تنش تسلیم Fy برسند، اتفاق بیفتد.
در این حالت عضو تحت فشار در جهت عمود بر محور خود، به طور ناگهانی دچار تغییر شکل جانبی شده که به این پدیده کمانش یا ناپایداری می گویند.
بنابراین در طراحی اعضای فشاری علاوه بر معیار مقاومت (کنترل نیروها)، باید معیار پایداری (کنترل پدیده کمانش) نیز مورد بررسی قرار گیرد.
بار کمانشی در ستون ها به مقدار بار محوری گفته می شود که به ازای اندکی افزایش در آن، ستون قبل از جاری شدن دچار ناپایداری شده و کمانش می کند.
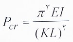
در مقاومت مصالح با استفاده از روش اولر اثبات می شود که بار کمانشی ستون از رابطه زیر بدست می آید:

در رابطه بالا ضریب طول موثر K که بر حسب شرایط مختلف تکیه گاهی مقدار متفاوتی دارد.
دقت: بار کمانشی ستون ها به عوامل زیر بستگی دارد:
1- صلبیت خمشی ستون (EI)
2- شرایط مرزی و تکیه گاهی (موثر در ضریب K)
3- طول ستون (L)
نکته: به حاصلضرب ضریب طول موثر در ارتفاع ستون، طول موثر ستون گفته می شود که آن را با Le نشان می دهیم. بر این اساس رابطه بار کمانشی ستون را می توان به صورت زیر نیز استفاده کرد.

تعیین ضریب طول موثر ستون (K) به نحوه استفاده از ستون در سازه بستگی دارد که به صورت زیر بدست می آید.
ضریب طول موثر ستون های با شرایط تکیه گاهی ایده آل
به منظور محاسبه ضریب K در یک ستون با شرایط تکیه گاهی ایده آل، با توجه به وضعیت مهار شدگی ستون حالت های زیر قابل بررسی می باشد.
در هر یک از این حالت ها برای K دو مقدار داده شده است که یکی مقدار نظری و دیگری مقدار مورد استفاده برای طراحی می باشد.
مقدار نظری نشان دهنده مقدار است که از روابط مقاومت مصالح بدست می آید ولی مقدار مورد استفاده برای طراحی مقداری است که آیین نامه برای طراحی عضو ارائه می دهد و معمولا از مقدار نظری بیشتر است.
الف) اگر ستون مهار شده باشد، یعنی دو سر ستون نسبت به یکدیگر امکان جابه جایی افقی نداشته باشد، ضریب طول موثر در بازه بین 0.5 و 1 قرار می گیرد.

تذکر: در واقع طول موثر ستون، فاصله بین دو نقطه با لنگر خمشی صفر ( نقطه عطف منحنی تغییر شکل) در شکل کمانش یافته فرضی برای ستون می باشد.
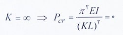
ب) اگر ستون مهار نشده باشد، یعنی دو سر ستون نسبت به یکدیگر امکان جابه جایی افقی داشته باشند، ضریب طول موثر در بازه بین 1 تا بی نهایت قرار می گیرد.

دقت: ستون آخر ناپایدار بوده و با کوچکترین نیرو کمانش می کند. با توجه به این موضوع، Pcr برای آن برابر صفر می باشد و ضریب طول موثر آن بی نهایت است.

با توجه به مطالب فوق، برای تعیین ضریب طول موثر (K) در یک ستون باید ابتدا امکان جابه جایی افقی آن سنجیده شود و سپس بر حسب نوع شرایط تکیه گاهی ستون، یکی از شکل های قبل برای آن انتخاب شود.
مثال:در شکل زیر ضریب طول موثر ستون AB به کدامیک از مقادیر زیر نزدیکتر است؟
1- 4 2- 1 3- 2 4- 0.5

حل: سازه مورد نظر، به صورت زیر تغییر شکل می دهد که قسمت AB از آن معادل یک ستون با شرایط تکیه گاهی نشان داده شده است. لذا برای آن K=2 در نظر گرفته شده و گزینه 3 صحیح است.

مثال: کدام مورد در خصوص طول موثر کمانش ستون AB در داخل صفحه، در سازه خرپایی شکل زیر صحیح است؟
1- طول موثر کمانش ستون AB حدودا برابر 0.5h می باشد.
2- طول موثر کمانش ستون AB حدودا برابر 2h می باشد.
3- طول موثر کمانش ستون AB حدودا برابر h می باشد.
4- طول موثر کمانش ستون AB حدودا برابر 0.7h می باشد.

حل: با توجه به عدم وجود بادبندی برای قاب ABCD ( در ارتفاع h) ستون AB مهار نشده است از طرفی با توجه به مفصلی بودن گره B، ستون AB به صورت یک سر گیردار – یک سر آزاد عمل می کند و ضریب طول موثر آن برابر 2 می باشد. بنابراین گزینه 2 صحیح است.
مثال: در سازه شکل زیر، ضریب طول موثر تئوریک ستون های AB و BC چقدر است؟ (تیرها صلب فرض شوند)

حل: با توجه به اینکه تکیه گاه های جانبی می توانند در راستای افق حرکت کنند، لذا این سازه مهار جانبی نشده است، به عبارت دیگر می توان گفت که دو انتهای ستون AB نسبت به یکدیگر دارای حرکت بوده و ستون AB مهار نشده محسوب می شود.
در مورد ستون BC نیز دو انتهای ستون مطابق شکل زیر نسبت به یکدیگر دارای حرکت هستند و ستون مهار نشده می باشد، بنابراین می توان ستون های مذکور را با شرایط تکیه گاهیی ایده آل در نظر گرفته و لذا داریم:

ضریب طول موثر ستون های داخل قاب
معمولا ستون های یک سازه، اعضای قاب های ساختمانی هستند که شرایط آنها به نحوه اتصال ابتدا و انتهای ستون و نیز سختی اعضای متصل به ستون بستگی دارد.
به منظور بررسی ضریب K در یک ستون از قاب، ابتدا می بایست وضعیت مهار شدگی ستون را بررسی کرد و با توجه به شرایط مهار جانبی ستون حالت های زیر را برای آن در نظر گرفت.
الف) ستون در یک قاب مهار شده ب) ستون در یک قاب مهار نشده
نکته: وجود دیوار برشی یا بادبند در یک قاب، تغییر شکل جانبی آن قاب را به طور قابل ملاحظه ای مهار کرده و ستون های قاب در این حالت مهار جانبی شده محسوب می شوند.

ضریب طول موثر در یک قاب مهار شده
در شکل زیر قاب در هر دو طبقه مهار جانبی شده است ( در طبقه اول با استفاده از تکیه گاه های جانبی و در طبقه دوم با استفاده از مهاربندی).
در این نوع از سازه ها، ضریب طول موثر برای اعضای فشاری باید برابر 1 در نظر گرفته شود مگر آنکه تحلیل دقیق بتواند مقدار کمتری را نشان دهد.
برای انجام این کار و تحلیل دقیق ضریب طول موثر باید گام های زیر طی شود.

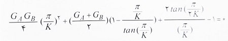
گام اول (تعیین ضرایب GA و GB):

توجه: ضرایب GA و GB نشان دهنده سختی نسبی ستون ها به تیرها در نقاط A و B می باشند. هر چند این ضرایب بزرگتر باشند، یعنی سختی تیرها (مخرج کسر) کمتر بوده و امکان دوران اتصال بیشتر می شود.
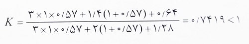
گام دوم (محاسبه ضریب طول موثر): بعد از تعیین ضرایب G، مقدار ضریب طول موثر را می توان از یکی از دو روش زیر محاسبه کرد:
1- با استفاده از حل معادله زیر که باید با استفاده از ماشین حساب انجام شود:

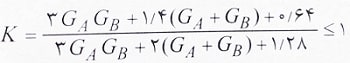
توجه: رابطه زیر که البته در مبحث دهم ذکر نشده است، مقدار تقریبا مشابهی با رابطه فوق نتیجه می دهد.

2- استفاده از نموگراف شکل زیر:

دقت: برای استفاده از این نموگراف، ابتدا ضرایب GA و GB را بر روی محورهای سمت چپ و راست یا خطی به یکدیگر متصل می کنیم. محل تقاطع خط با محور وسط برابر ضریب طول موثر است.

نکات مهم
*مقدار ضریب G برای تکیه گاه مفصلی از نظر تئوری بی نهایت است، ولی در عمل به علت گیرداری کمی این نوع از تکیه گاه ها دارند، مقدار این ضریب را در محاسبات برابر G=1 در نظر می گیریم.
*در تکیه گاه های گیردار ضریب G از نظر تئوری صفر می باشد، ولی در عمل به علت مقدار نرمی که این نوع تکیه گاه ها دارند، مقدار این ضریب در محاسبات G=1 در نظر گرفته می شود.
*اعضای طراه ای مانند CD در قاب شکل زیر، سختی دورانی در گره C ایجاد نمی کنند و سختی آنها در محاسبات مربوط به Gc برابر صفر در نظر گرفته می شود. به طور مثال در ستون CE مقادیر Gc و Ge عبارتند از:

*در یک قاب مهار شده اگر تیر متصل به ستون، از طرف دیگر به تکیه گاه مفصلی و یا تکیه گاه گیردار متصل باشد، باید سختی آن را در ضرایب اصلاح زیر ضرب نمود.
به عنوان مثال در سازه فوق در محاسبه ضریب GB برای ستون BF، سختی تیر BA باید در عدد 2 ضرب شود.

*اگر انتهای تیر در محلی که G را برای آن محاسبه می کنیم به صورت مفصلی به ستون متصل باشد، صلبیت آن تیر را در نظر نمی گیریم. به عنوان مثال در شکل زیر صلبیت تیر BC را در محاسبه ضریب GC در نظر نمی گیریم.

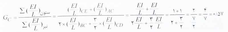
مثال: در سازه شکل زیر مقدار ضریب طول موثر ستون CE تقریبا در کدام گزینه ذکر شده است؟ ( مقدار E، I و L برای همه تیرها و ستون ها برابر است).
1- 0.65 2- 0.74 3- 0.88 4- 1.21

حل: ابتدا باید وضعیت مهار شدگی ستون مورد بررسی قرار بگیرد. گره پایین ستون یعنی گره C توسط عضو BC به تکیه گاه B متصل شده است که نمی تواند حرکت جانبی داشته باشد.
همچنین تکیه گاه E ستون نمی تواند به طور جانبی حرکت کند. پس گره های C و E ستون نمی توانند به صورت جانبی نسبت به هم جابه جا شوند و بنابراین ستون دارای مهار جانبی می باشد.
حال برای محاسبه ضریب طول موثر ستون K باید ضرایب G برای گره های C و E تعیین شود.
در گره E، تکیه گاه در برابر دوران کاملا مقید است ( گیردار است) و در نتیجه مقدار G در محاسبات برابر واحد در نظر گرفته می شود.
در گره C باید از رابطه زیر برای تعیین ضریب G استفاده کرد.

حال می توان با داشتن مقادیر 1 و 0.57 برای پارامتر G در دو گره ستون، مقدار ضریب K را با استفاده از نموگراف با رابطه مربوط به قاب های مهار شده تعیین نمود.


بنابراین گزینه 2 صحیح است.
بررسی ضریب طول موثر در یک قاب مهار نشده
در شکل زیر اتصالات قاب به صورت صلب (خمشی) است ولی مهار جانبی برای قاب وجود ندارد. در این حالت برای تعیین ضریب طول موثر ستون AB باید گام های زیر طی شود:
گام اول (تعیین ضرایب GA و GB):

گام دوم (محاسبه ضریب طول موثر): در این حالت مقدار ضریب K را می توان براساس یکی از روابط زیر یا نمودار مربوط به ستون های مهار جانبی نشده تعیین کرد.


تذکر: ضرایب اصلاح سختی برای تیرهای با تکیه گاه در انتهای خود، در قاب های مهار نشده از جدول زیر محاسبه می گردد.

مثال: ضریب طول موثر ستون AB به کدامیک از مقادیر زیر نزدیکتر است؟
1- 1.4 2- 1.3 3- 1.2 4- 1.5

حل: ستون AB در یک قاب مهار نشده قرار دارد که در مقابل بار جانبی، دو انتهای ستون نسبت به یکدیگر حرکت می کنند و ستون مهار نشده محسوب می شود.
برای بدست آوردن مقدار ضریب K با توجه به مقدار G در بالا و پایین ستون خواهیم داشت:

با توجه به مقادیر بدست آمده برای ضرایب G در بالا و پایین ستون، مقدار K برای ستون AB که مهار نشده است از نموگراف مربوط به آن تقریبا برابر 1.5 بدست می آید.
توجه شود که در محاسبه ضریب GB سختی تیری که به صورت طره به گره اتصال می یابد در محاسبات وارد نمی شود.
بنابراین گزینه 4 صحیح است.
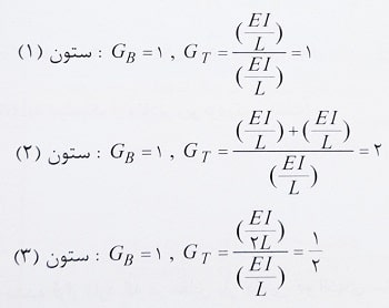
مثال: اگر در سازه فولادی نشان داده شده، ضرایب طول موثر ستون های شماره 1 تا 3 را به ترتیب با K1 و K2 و K3 نشان دهیم، کدامیک از عبارت های زیر صحیح خواهد بود؟ (E و I و A به ترتیب مدول الاستیسیته، ممان اینرسی و مساحت مقطع) برای تمامی اعضای سازه یکسان فرض شود. تمام اتصالات تیرها به ستون ها گیردار می باشند.)


حل: قاب مورد نظر هیچ گونه مهار جانبی ندارد و به راحتی می تواند تغییر شکل جانبی به صورت شکل زیر را در صفحه داشته باشد لذا ستون های این قاب همگی مهار جانبی نشده محسوب می شوند و ضریب K برای این ستون ها بزرگتر از یک می باشد.
برای بررسی ضریب K در هر ستون، با توجه به مقادیر G در نقاط ابتدایی و انتهایی ستون داریم:


در مقایسه ستون های 1، 2 و 3 ،GB برای هر سه ستون یکسان ولی GT در ستون 2 از همه بیشتر است. پس ضریب طول موثر برای آن از دو ستون دیگر بیشتر می باشد.
در مقایسه ستون ها 1 و 3 با توجه به یکسان بودن GB چون ستون 1، GT بزرگتری دارد ضریب طول موثر آن بزرگتر است:
![]()
بنابراین گزینه 2 صحیح است.
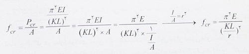
نسبت لاغری در ستون ها
تنش بحرانی کمانش ستون ها تنشی است که از تقسیم نیروی کمانشی به سطح مقطع ستون حاصل می شود بنابراین داریم:

نسبت KL/r در یک ستون را با λ نمایش داده و به آن نسبت لاغری ستون ( یا نسبت رعنایی) می گویند. در این نسبت r شعاع ژیراسیون مقطع می باشد که از رابطه
بدست می آید.

تذکر: نسبت لاغری حداکثری در اعضای فشاری نباید از 200 تجاوز کند.
نسبت لاغری بحرانی
برای یک ستون در فضای سه بعدی، باید امکان کمانش ستون در صفحات مختلف را بررسی کرد و آنگاه بیشترین مقدار را برای نسبت لاغری λ برگزید.
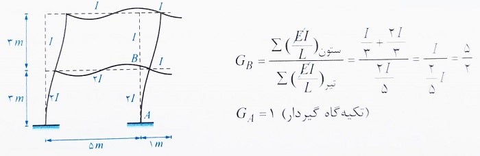
برای درک بهتر این مطلب قاب شکل زیر در نظر بگیرید که در آن مقطع ستون BC نشان داده شده است.

در این حالت ستون می تواند حول محور x یا y کمانش کند که براساس آن دو حالت زیر رخ می دهد.
1- اگر ستون BC حول محور y کمانش کند تغییر شکل ستون در صفحه xz رخ می دهد و تکیه گاه A مانع از حرکت جانبی نقطه B نسبت به نقطه C می گردد و ستون مهار شده محسوب می گردد، بنابراین در محاسبه λy داریم:

2- در کمانش ستون حول محور x تغییر شکل ستون در صفحه yz صورت می گیرد و ستون مهار نشده محسوب می شود، زیرا در جهت عمود بر صفحه هیچ گونه تکیه گاه جانبی وجود ندارد. بنابراین در محاسبه λs داریم:

نتیجه: از بین مقادیر محاسبه شده برای λ باید بیشترین آنها به عنوان λطراحی در نظر گرفته شود.

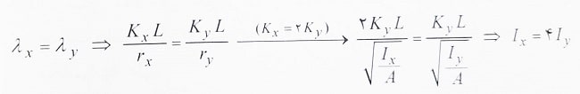
تذکر: بهینه ترین حالت برای طراحی ستون زمانی است که λx=λy گردد. به عبارتی در این حالت کمانش حول محورهای اصلی مقطع به طور همزمان اتفاق می افتد.
مثال: در یک ستون با مقطع H شکل چنانچه Kx=2Ky باشد، به ازای چه نسبتی از Ix/Iy مقاومت ستون حول هر دو محور یکسان خواهد بود؟ ( K و I به ترتیب ضریب طول موثر ستون و ممان اینرسی ستون می باشند)
1- 2 2- 0.5 3- 4 4- 0.25
حل: برای اینکه مقاومت یک ستون حول هر دو محور قوی و ضعیف یکسان باشد، باید نسبت لاغری حول دو محور یکسان گردد و لذا داریم:

بنابراین گزینه 3 صحیح است.
مثال: برای ستون فولادی شکل زیر که تکیه گاه های جانبی آن در هر دو صفحه ستون، فقط در ابتدا و انتهای آن قرار دارد، در صورتی که Kx=2Ky باشد، کدامیک از موارد زیر مناسب است؟
1- Iy=4Ix
2- Iy=2Ix
3- Ix=4Iy
4- Ix=4Iy

حل: همانطور که گفته شد، بهینه ترین حالت زمانی است که نسبت های لاغری حول دو محور یکسان گردند بنابراین داریم:

بنابراین گزینه 3 صحیح است.
ضوابط نسبت لاغری در قاب های مهاربندی شده
با توجه به الزامات مبحث دهم مقررات ملی ساختمان ایران، برای تعیین لاغری اعضاء در قاب های مهاربندی شده باید موارد زیر در نظر گرفته شود.
1- ضریب طول موثر در مهاربندی ضربدری، برای کمانش در صفحه قاب برابر K=0.5 و برای کمانش عمود بر صفحه قاب برابر K=0.7 در نظر گرفته می شود.
البته این کاهش زمانی مجاز است که در محل تقاطع دو عضو مهاربندی شده، اتصال مورد استفاده مقاومت کافی را داشته باشد.

2- در مهاربندی های هفتی و هشتی (مهاربندی های شورون) و همچنین مهاربندی های قطری، ضریب طول موثر کمانش برابر یک در نظر گرفته می شود.

3- استفاده از مهاربندی های K شکل در ساختمان های مهاربندی شده همگرا مجاز نمی باشد.
4- در حالات زیر ضریب طول موثر کمانش برابر واحد در نظر گرفته می شود مگر اینکه تحلیل دقیق مقدار کمتری را نشان دهد:
- اعضای فشاری در قاب های مهاربندی شده ( مثلا توسط مهاربندها)
- خرپاها
مفاهیم اولیه درباره طراحی اعضای فشاری فولادی – مفاهیم اولیه درباره طراحی اعضای فشاری فولادی – مفاهیم اولیه درباره طراحی اعضای فشاری فولادی – مفاهیم اولیه درباره طراحی اعضای فشاری فولادی – مفاهیم اولیه درباره طراحی اعضای فشاری فولادی




دیدگاه خود را ثبت کنید
تمایل دارید در گفتگوها شرکت کنید؟در گفتگو ها شرکت کنید.