محاسبه مقاومت فشاری اعضای محوری
محاسبه مقاومت فشاری اعضای محوری
در این پست قصد داریم ابتدا اصول طراحی ستون ها را براساس مبحث دهم مقررات ملی ساختمان و روش LRFD بیاموزیم.
سپس نحوه محاسبه مقاومت فشاری اعضای فولادی را که در آنها تنها معیار کمانش خمشی مد نظر است بررسی کنیم.
با توجه به همه معیارهای کمانش شامل کمانش خمشی، کمانش پیچشی و کمانش خمشی – پیچشی را یاد می گیریم.
اصول طراحی ستون ها
همانطور که می دانیم برای طراحی اعضای فشاری باید معیار کمانش عضو به دقت مورد بررسی قرار گیرد.
یک عضو تحت فشار می تواند در یکی از حالت های زیر کمانش کند:
1- کمانش خمشی 2- کمانش پیچشی 3- کمانش خمشی – پیچشی
کمانش خمشی همان حالتی از کمانش است که همواره با آن آشنا بودیم، به این معنی که در این حالت مقطع فشاری در کل طول خود انحناء پیدا می کند.
در مقابل کمانش پیچشی حالت دیگری از کمانش عضو فشاری است که در آن عضو در طول خود خم نمی شود بلکه مقطع عضو حول محور طولی آن می پیچد.
کمانش خمشی – پیچشی هم حالت دیگری است که در آن، هر دو کمانش خمشی و پیچشی با هم اتفاق می افتد.
حال برای طراحی یک ستون باید احتمال ایجاد هر یک از انواع کمانش در مورد آن بررسی شود. با توجه به اینکه روند محاسبات در کمانش پیچشی و کمانش خمشی – پیچشی طولانی تر از کمانش خمشی است، لذا عمدتا در سوالات کمانش خمشی اعضای فشاری مد نظر قرار می گیرد.
با توجه به این موضوع طراحی ستون ها را در دو بخش یاد می گیریم:
1- طراحی ستون ها تنها با معیار کمانش خمشی و با فرض عدم اتفاق افتادن کمانش پیچشی یا کمانش خمشی – پیچشی.
2- طراحی کامل ستون ها براساس هر سه نوع کمانش محتمل.
به طور کلی طبق اصل حاکم بر طراحی سازه ها، در طراحی ستون ها باید مقاومت طراحی (ΦcPn) بزرگتر یا مساوی مقاومت مورد نیاز Pu باشد:
![]()
Φc: ضریب تقلیل مقاومت فشاری برابر 0.9
Pn: مقاومت فشاری اسمی ستون که از رابطه زیر محاسبه می شود:
![]()
Ag: سطح مقطع کل عضو فشاری
Fcr: تنش فشاری ناشی از کمانش
تشخیص نوع حالت های حدی حاکم بر طراحی عضو فشاری
در اعضای فشاری بر حسب شکل مقطع عضو، ممکن است یک یا دو حالت کمانشی دیده شود. به همین منظور برای طراحی این اعضاء باید ابتدا حالت کمانشی حاکم بر طراحی عضو از جدول زیر تعیین شود.

توجه: در مواردی که دو حالت حدی، برای یک مقطع عنوان شده است، بحرانی ترین حالت ملاک عمل قرار می گیرد. به عبارت دیگر Fcr برای هر حالت حدی مقطع محاسبه شده و کوچکترین آن دو در محاسبات منظور می شود.
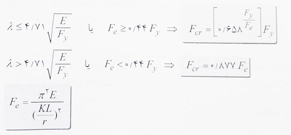
محاسبه مقاومت فشاری تنها با معیار کمانش خمشی
به طور کلی روابط زیر در محاسبه مقاومت فشاری استفاده می شود:

Φc: ضریب تقلیل مقاومت فشاری برابر 0.9
Pn: مقاومت فشاری اسمی ستون
Ag: کل سطح مقطع عضو فشاری
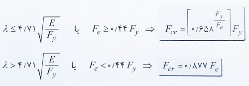
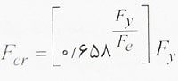
اگر در یک عضو فشاری، بحث کمانش پیچشی و کمانش خمشی – پیچشی وجود نداشته باشد، تنها معیار کمانش خمشی مطرح خواهد بود. در این حالت پارامتر Fcr بیانگر تنش فشاری ناشی از کمانش خمشی است که به صورت زیر محاسبه می شود:

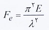
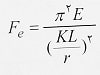
λ: نسبت لاغری حداکثر عضو فشاری ( KL/r) Fe: تنش کمانش بحرانی اولر در حالت الاستیک

توجه: مقدار Fcr برای دو نوع فولاد ST37 و ST52 در جداول زیر گردآوری شده است.
مقدار Fcr بر حسب kg/cm2 با توجه به λ مختلف برای فولادی ST37 ( مقدار Fy=2400 kg/cm2 و E=2×10^6 kg/cm2)

مقدار Fcr بر حسب kg/cm2 با توجه به λ مختلف برای فولادی ST52 ( مقدار Fy=3600 kg/cm2 و E=2×10^6 kg/cm2)

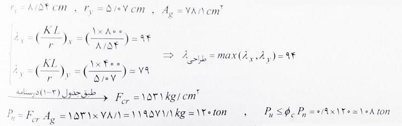
مثال: ستونی دو سر مفصل به طول 8 متر از یک نیمرخ IPB200 تشکیل شده است. این ستون در وسط ارتفاع، در جهت عمود بر جان، تکیه گاه جانبی دارد. حداکثر نیروی نهایی وارد بر این ستون چقدر می تواند باشد؟ (از وقوع کمانش پیچشی صرف نظر شود)(Fy=2400 kg/cm2)
1- 108 تن 2- 122 تن 3- 125 تن 4- 139 تن
حل:
در کمانش حول محور قوی مقطع (x)، ستون به صورت دو سر مفصل با طول 8 متر عمل می کند. اما در کمانش حول محور ضعیف مقطع (y)، با ایجاد تکیه گاه در وسط طول ستون، طول کمانش نصف شده و برابر 4 متر می گردد.

طبق جدول اشتال خصوصیات هندسی مقطع IPB200 مطابق زیر می باشد:

بنابراین حداکثر نیرویی که در حالت نهایی (بارهای ضریبدار) می تواند به این ستون وارد شوید، برابر 108 تن می باشد و گزینه 1 صحیح است.
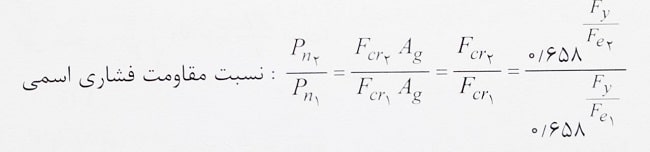
مثال: در صورتی که نسبت لاغری موثر ستونی از یک عدد IPB200 برابر KL/r=150 باشد و تنها کمانش خمشی در آن مد نظر باشد، نسبت مقاومت فشاری طراحی آن ستون ساخته شده از فولاد ST52 می باشد به مقاومت فشاری طراحی همان ستون ساخته شده از فولاد ST37 چقدر است؟
1- 1.4 2- 1.5 3- 1 4- 1.3
حل: برای حل این مثال، ابتدا مقدار Fcr را از جداول بالا محاسبه کرده و سپس مقاومت فشاری طراحی ستون ها را بدست می آوریم.

بنابراین گزینه 3 صحیح است.
بدون مراجعه به جدول Fcr نیز می توان پاسخ مثال را داد، به گونه ای که:

بنابراین در هر دو حالت، Fcr از رابطه 0.877Fe بدست می آید. از آنجا که Fe مستقل از تنش تسلیم مصالح است، بنابراین تنش های Fcr دو ستون و همچنین مقاومت فشاری طراحی دو ستون برابر می باشد.
مثال: چنانچه لاغری حداکثر یک عضو فشاری از 4.7 E/Fy√ به نصف این مقدار تقلیل یابد، در طراحی به روش ضرایب بار و مقامت، مقاومت فشاری اسمی عضو مذکور چند برابر خواهد بود؟ (تنها معیار کمانش خمشی مد نظر می باشد).
1- تغییر نمی کند. 2- 1.5 3- 2 4- 1.8
حل: نسبت مقاومت فشاری اسمی در دو حالت زیر خواسته شده است:

بنابراین با توجه به اینکه در هر دو حالت
است، تنش ناشی از کمانش خمشی از رابطه
بدست می آید و داریم:

با توجه به اینکه
است، مقدار Fy/Fe را در دو حالت حساب می کنیم:

حال برای محاسبه نسبت مقاومت فشاری اسمی در دو حالت زیر داریم:

بنابراین گزینه 3 صحیح است.
برای پاسخ به مثال بالا، می توان از راه حلی ساده تر نیز استفاده کرد که عملا استفاده از جداول بالا می باشد. از آنجا که مقدار Fy در صورت سوال مشخص نیست، هر دو جدول را می توان کنترل کرد.
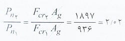
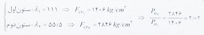
1- اگر فرض کنیم که Fy=2400 kg/cm2 باشد، آنگاه مقدار لاغری ستون اول برابر
شده و لاغری ستون دوم که نصف آن است برابر 68 می شود.
حال از جدول بالا نیز برای ستون اول Fcr1=936 kg/cm2 و برای ستون دوم Fcr2=1879 kg/cm2 می باشد و در نتیجه داریم:

2- اگر Fy=3600 kg/cm2 باشد، همین محاسبات با جدول انجام می گیرد و داریم:

پس به ازای هر مقدار از Fy، نسبت مقاومت فشاری اسمی حدود 2 و گزینه 3 صحیح می باشد.
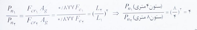
مثال: نسبت مقاومت اسمی ستون با ارتفاع 8 متر که در قاب مهار بندی شده قرار دارند و شعاع ژیراسیون حداقل مقطع هر دو ستون در امتداد مورد نظر یکسان می باشد، کدام است؟ (فرض کنید که برای این ستون
است)
1- 1 2- 2 3- 4 4- 8
حل: با توجه به اینکه
است می توان نتیجه گرفت که مقدار Fcr از رابطه زیر بدست می آید:

در رابطه بالا مقدار پارامترهای E و K و r برای هر دو ستون یکسان بوده و تنها L متفاوت است، بنابراین با افزایش طول ستون به میزان 2 برابر، تنش مجاز فشاری به میزان 1/4 برابر کاهش می یابد و داریم:

بنابراین گزینه 3 صحیح است.
مثال: در یک ستون با مقطع IPB و به ارتفاع 7 متر که تنها در دو انتهای خود مهار شده است، تنها کمانش خمشی اهمیت دارد. بزرگترین مقطع IPB که برای آن مقاومت فشاری ستون از فولاد ST37 و ST52 با یکدیگر برابر است کدام است؟
1- IPB160
2- IPB200
3-IPB260
4-IPB300
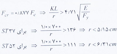
حل: مقاومت فشاری براساس حالت حدی کمانش خمشی از رابطه Pn=FcrAg بدست می آید. برای مقطع داده شده در هر گزینه در صورتی که دو حالت فولاد ST37 و ST52 در نظر باشد، Ag ثابت و بنابراین Fcr هم باید ثابت باشد.
برای یکسان بودن Fcr برای فولادی های مختلف، باید رابطه Fcr=0.877Fe ملاک باشد که در آن مقدار Fy اهمیتی ندارد ( کمانش الاستیک ستون باید مهم باشد):

بنابراین در هر دو حالت باید شعاع ژیراسیون طراحی مقطع حداکثر برابر 51.5 سانتی متر باشد، اما با توجه به شعاع ژیراسیون حداقل (ry) مقاطع IPB، مقطع IPB200 به عنوان بزرگترین مقطع ممکن در این حالت انتخاب می شود.
بنابراین گزینه 2 صحیح است.
مثال: ستونی دو سر مفصل به طول 3 متر از مقطع لوله ای به قطر خارجی 400 میلی متر و ضخامت 15 میلی متر ساخته شده است، اگر فولاد مصرفی دارای Fy=500MPa باشد، مقاومت فشاری طراحی این ستون تقریبا چند کیلونیوتن است؟
1- 6800 2- 7200 3- 7800 4- 8200
حل: چنانچه مقطع به صورت لوله ای شکل باشد، تنها حالت حدی کمانش خمشی در آن باید بررسی شود. حال با توجه به اطلاعات جدول می توان شعاع ژیراسیون مقطع لوله ای را تعیین کرد:

حال نسبت لاغری ستون را محاسبه می کنیم:

توجه کنید که برای مقطع دایره ای، r و λ در همه جهات یکسان است. در ادامه می توان مقدار Fe و Fcr و سپس Pn و ΦcPn را محاسبه کرد.

بنابراین گزینه 3 صحیح است.
محاسبه مقاومت خمشی با همه معیارهای کمانش
همانطور که گفته شد برای محاسبه مقاومت خمشی اعضای محوری باید حالت های حدی کمانش براساس جدول و با توجه به شکل مقطع تعیین شود.
این حالت های حدی شامل کمانش خمشی، کمانش پیچشی و کمانش خمشی – پیچشی می باشد. جالب است بدانید که تنها تفاوت بین این حالت های حدی، تفاوت رابطه مورد استفاده برای پارامتر Fe می باشد.
با توجه به این توضیح اولیه، می توان چارت زیر را برای تعیین مقاومت فشاری ستون ها استفاده کرد:

حال در ادامه بحث، روابط تعیین Fe را برای سه حالت حدی بیان می کنیم:
حالت حدی کمانش خمشی
همانطور که در بالا گفتیم، برای بررسی حالت حدی کمانش خمشی از رابطه زیر استفاده می شود. دقت شود که براساس جدول، این حالت حدی در بسیاری از مقاطع حاکم می باشد.

پارامترهای مورد استفاده در این روابط عبارتند از:
KL/r: نسبت لاغری حداکثر عضو Fy: تنش تسلیم فولاد
E: مدول الاستیسیته فولاد K: ضریب طول موثر
L: طول فاقد مهار جانبی عضو r: شعاع ژیراسیون مقطع عضو
حالت حدی کمانش پیچشی
حالت حدی کمانش پیچشی، برای مقاطع دارای دو محور تقارن که در آنها طول آزاد مهار نشده در برابر پیچش از طول آزاد مهار نشده در برابر خمش تجاوز نماید، باید بررسی شود.
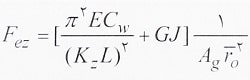
در این حالت حدی، رابطه زیر برای تعیین مقدار Fe استفاده می شود:

پارامترهای جدید مورد استفاده در این رابطه عبارتند از:
J: ثابت پیچشی
Cw: ثابت تابیدگی (برای مقاطع I شکل با تقارن دو محوره، Cw را می توان مساوی Iyho2/4 در نظر گرفت که در آن ho فاصله مرکز به مرکز بال ها می باشد. برای مقاطع سپری و نبشی جفت در محاسبه Fez می توان از جملات حاوی Cw صرف نظر نموده و xo را مساوی صفر در نظر گرفت)
G: مدول الاستیسیته برشی G=1/2.6E ( بافرض v=0.3)
Ix,Iy: ممان های اینرسی محورهای x و y
Kx,Ky: ضریب طول موثر برای کمانش خمشی حول محورهای اصلی x و y
Kz: ضریب طول موثر برای کمانش پیچشی
ضریب طول موثر برای کمانش پیچشی (Kz) می تواند به طور محافطه کارانه برابر 1 در نظر گرفته شود. اگر هر دو انتهای ستون در برابر کمانش پیچشی مهار شده باشند Kz=0.5 بوده و اگر تنها یک انتها یک انتهای ستون مهار شده باشد، Kz=0.7 می باشد.
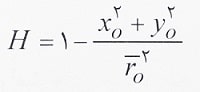
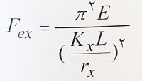
حالت حدی کمانش خمشی – پیچشی
الف) برای مقاطع با یک محور تقارن که محور آنها با y نامگذاری شده باشد، رابطه تعیین Fe براساس حالت حدی کمانش خمشی – پیچشی به صورت زیر می باشد:

ب) برای مقاطع نامتقارن باید حالت حدی کمانش خمشی – پیچشی کنترل شود که برای این منظور باید کوچکترین ریشه معادله درجه سوم زیر به عنوان Fe بدست آید:


پارامترهای جدید مورد استفاده در این روابط عبارتند از:
Xo و Yo: مختصات مرکز برش نسبت به مرکز سطح، ( Xo=0 برای نبشی جفت و نیمرخ سپری با محور تقارن y )
ry,rx: شعاع های ژیراسیون حول محور های x و y
ro: شعاع ژیراسیون قطبی نسبت به مرکز برش مطابق رابطه زیر:

H: ضریبی است که از رابطه زیر محاسبه می شود.

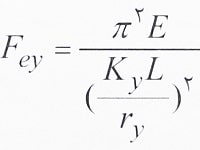
Fex: تنش کمانش خمشی الاستیک حول محور اصلی x که از رابطه زیر محاسبه می شود:

Fey: تنش کمانش خمشی الاستیک حول محور اصلی y که از رابطه زیر محاسبه می شود:

Fez: تنش کمانش پیچشی الاستیک طبق رابطه زیر:

یک حالت خاص
برای اعضای فشاری با مقطع سپری و نبشی جفت، نیازی به محاسبه مقدار Fe نیست و باید مقدار Fcr در چهار گام زیر تعیین گردد:
گام اول: برای مقطع سپری، نسبت لاغری به صورت KL/r=(KL/r)y یعنی حول محور تقارن y محاسبه شود.
برای مقطع نبشی جفت، نسبت لاغری اصلاح شده به صورت KL/r=(KL/r)m از رابطه پست بعدی بدست می آید.
گام دوم: براساس نسبت لاغری گام قبلی، ابتدا مقدار Fe از رابطه قبل گفته شده بدست آید و سپس مقدار Fcr از روابط بعدی تعیین شود. این مقدار را Fcry می نامیم.
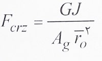
گام سوم: مقدار Fcrz از رابطه زیر تعیین شود.

گام چهارم: حال با استفاده از مقدار بدست آمده برای Fcry و Fcrz در گام های دوم و سوم مقدار Fcr از رابطه زیر محاسبه شود:

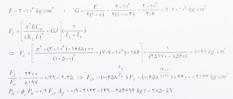
مثال: برای ستونی به مقطع IPB300 به طول 5 متر که در برابر پیچش آزاد است مقاومت طراحی براساس حالت حدی کمانش پیچشی چند kN می باشد؟( فولاد از نوع ST37 است)
1- 2550 2- 2850 3- 3060 4- 3400
حل: مشخصات مقطع IPB300 را از جدول بالا تعیین کرده و داریم:

تذکر: در بحث کمانش پیچشی، برای انتخاب رابطه Fcr، باید نسبت Fy به Fe با مقدار 2.25 مقایسه شود و کاری با نسبت لاغری λ نداریم.
بنابراین گزینه 2 صحیح است.
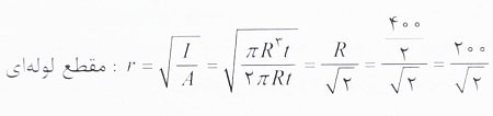
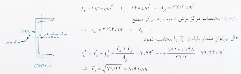
مثال: برای یک مقطع ناودانی از نوع UNP200 شعاع ژیراسیون قطبی نسبت به مرکز برش چند سانتی متر است؟
1- 94.96 2- 79.44 3- 9.74 4- 8.91
حل: در روابط مربوط به کمانش خمشی – پیچشی، پارامتر ro تعریف می شود که شعاع ژیراسیون نسبت به مرکز برش نام دارد.
برای محاسبه این پارامتر باید پارامترهای مقطع تعیین شوند.

بنابراین گزینه 4 صحیح است.
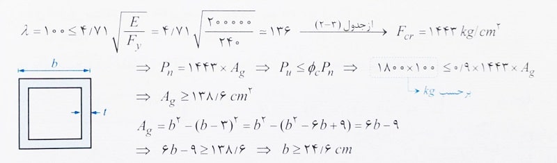
مثال: یک ستون فولادی با مقطع مربع مستطیل توخالی ( قوطی شکل) و با ضخامت بال و جان یکسان برابر 15 میلی متر تحت اثر نیروی فشاری ضریب دار برابر 1800 کیلونیوتن قرار دارد. چنانچه نسبت لاغری حداکثر ستون برابر 100 فرض شود، در طراحی به روش ضرایب بار و مقاومت ( روش حالات حدی)، حداقل ابعاد بیرونی مقطع قوطی شکل به کدام یک از مقادیر زیر نزدیک تر است؟ ( E=200000MPa و Fy=240MPa)
1- 35×35
2- 30×30
3- 25×25
4- 20×20

بنابراین می توان از مقطع با ضلع 25 در 25 استفاده نمود.
توجه: کنترل کمانش موضعی هم باید برای این مقطع انجام گیرد که البته با عرض 25 سانتی متر و ضخامت 1.5 سانتی متر مشکلی از این جهت وجود ندارد.
بنابراین گزینه 3 صحیح است.
دو نکته تکمیلی در بحث مقاومت فشاری
1- نبشی های تک عمدتا در ساخت خرپاها مانند دکل های انتقال برق به کار می روند. برای این نبشی ها در صورتی که شرایط زیر برقرار باشد، می توان از برون محوری نیروی فشاری در طراحی صرف نظر کرد:
- نیروی اعمال شده به نبشی از طریق یک ساق و در انتهای همان ساق اعمال گردد.
- اتصال دو انتهای عضو به کمک جوش و یا حداقل دو پیچ انجام شود.
- هیچگونه بارگذاری عرضی میانی بر عضو اعمال نگردد.
توجه: نحوه طراحی مقاطع نبشی تک بار محوری فشاری در بند (10-2-4-6) عنوان شده است. در این بند، طراحی نبشی برای دو حالت b/t≤20 و b/t>20 انجام می گیرد.
دقت شود که برای اغلب نبشی های تولیدی در ایران، b/t=10 بوده و حالت اول موضوعیت دارد.
2- مقاومت فشاری اعضای فولادی در مجاورت ناحیه اتصال، به صورت زیر بدست می آید:
الف) اگر KL/r≤25 باشد، حالت حدی تسلیم کنترل کننده بوده و داریم:

Fy: تنش تسلیم فولاد Ag: سطح مقطع کلی عضو
ب) اگر KL/r>25 باشد، حالت حدی کمانش عضو کنترل کننده بوده و باید ضوابط بند بالا منظور شود.
محاسبه مقاومت فشاری اعضای محوری – محاسبه مقاومت فشاری اعضای محوری – محاسبه مقاومت فشاری اعضای محوری – محاسبه مقاومت فشاری اعضای محوری – محاسبه مقاومت فشاری اعضای محوری




با درود مهندس جان آیا جزوه فولاد(محاسبات) بر اساس ویرایش 1401 است
بله مهندس حان جدید ترین ها رو قرار میدیم