محاسبه مقاومت خمشی مقاطع I شکل فشرده با دو محور تقارن
محاسبه مقاومت خمشی مقاطع I شکل فشرده با دو محور تقارن
طراحی تیرهای فولادی در برابر لنگر خمشی، موضوع گسترده ای است که به شکل مقطع بسیار وابسته می باشد.
به همین دلیل در این پست می خواهیم تنها روابط مرتبط با مقاطع I شکل با دو محور تقارن که بال و جان آنها فشرده است را بررسی نماییم/
قابل ذکر است که این مقاطع بیشترین استفاده را در طراحی سازه ها دارند و سایر مقاطع که کم کاربردتر هستن را در قسمت بعدی بررسی می کنیم.
موارد تاثیر گذار در طراحی تیرها
در طراحی قطعات خمشی، دو موضع بر مقدار مقاومت خمشی مقطع تاثیر مستقیم دارند:
1- کمانش موضعی: بر اثر لنگرهای خمشی وارد بر مقطع، یکی از بال های مقطع تحت فشار قرار می گیرد. اگر نسبت پهنا به ضخامت در جان و بال محدود نشده باشد، قطع تحت اثر تنش های فشاری تمایل به کمانش به صورت موضعی دارد.
در یک پروفیل تحت خمش، در صورت رعایت نشدن نسبت عرض به ضخامت، امکان رخ دادن کمانش موضعی بال و کمانش موضعی جان وجود دارد.

2- کمانش موضعی بال فشاری: مقطع تیر در ناحیه فشاری، به واسطه نیروی محوری ایجاد شده در آن ممکن است کمانش کند. به این نوع از کمانش در یک تیر، کمانش پیچشی – جانبی گفته می شود. این نوع رفتار در شکل زیر نشان داده شده است.

مثال: به منظور بالا بردن مقاومت اسمی خمشی تیرهای فولادی I شکل در خمش، باید کدام قسمت آنها را در فواصل مناسب مهار کرد؟
1- بال کششی 2- بال فشاری 3- جان 4- بر حسب مورد متفاوت است.
حل: در تیرهای فولادی I شکل، به منظور بالا بردن مقاومت اسمی خمشی باید بال فشاری را در فواصل مناسب با تکیه گاه های جانبی مهار نمود، زیرا امکان وقوع کمانش جانبی در اجزای فشاری محتمل است.
بنابراین گزینه 2 صحیح است.
بیشتر بدانیم
با توجه به لنگر وارد شده بر تیر، قسمت بالایی تیر تحت فشار و قسمت پایینی آن تحت کشش قرار دارد. اصولا کمانش را در بال فشاری و حول یکی از محورهای (1-1) و (2-2) می توان بررسی کرد.
با توجه به وجود جان، احتمال کمانش حول محور (1-1) ضعیف بوده و کمانش محور (2-2) محتمل تر است.

با توجه به مفاهیم مقاومت مصالح، مقاطع به گونه ای رفتار می کنند که گویی تمایل به خم شدن حول محورهای قوی را نداشته و به همین دلیل به سمت محور ضعیف تمایل پیدا می کنند.
در صورتی که جلوی این رفتار گرفته نشود، عضو در سرتاسر طول خود تحت کمانش قرار می گیرد. این کمانش به گونه ای است که قسمت فشاری عضو از میان تار اولیه خود خارج شده و مقطع دچار کمانش پیچشی جانبی می شود، وضعیت این نوع کمانش در شکل زیر نشان داده شده است:

اصول طراحی تیرها به روش LRFD
به طور کلی برای طراحی تیرها تحت اثر خمش باید گام های زیر طی شود:
گام اول: تشخیص نوع حالت های جدی حاکم بر طراحی عضو ( به طور مثال تشخیص این موضوع که کمانش پیچشی – جانبی در تیر مورد نظر می تواند بحرانی باشد یا خیر)
گام دوم: تعیین مقاومت خمشی اسمی تیر (Mn) براساس حالت های حدی حاکم
گام سوم: تعیین مقاومت خمشی طراحی تیر
![]()
گام چهارم: مقایسه مقاومت خمشی طراحی با لنگر نهایی وارد بر مقطع
![]()
مثال: در طراحی به روش ضریب بار و مقاومت (روش حالات حدی) منظور از عبارت مقاومت خمشی مورد نیاز یک تیر چیست؟
1- منظور همان مقاومت خمشی اسمی عضو است.
2- منظور همان مقاومت خمشی طراحی عضو است.
3- منظور همان مقاومت خمشی اسمی واقعی است.
4- منظور همان حداکثر لنگر خمشی بدست آمده از ترکیبات بارگذاری است.
حل: در روش طراحی حالات حدی مقاومت های مورد استفاده در طراحی به صورت زیر می باشند:
1- مقاومت های مورد نیاز که در حقیقت همان تلاش های نهایی در اعضاء ناشی از بارهای ضریب دار هستند.
2- مقاومت های اسمی اعضا که بدون در نظر گرفتن هیچگونه ضریب کاهش مقاومتی به دست می آیند.
3- مقاومت های طراحی که برابر حاصلضرب ضریب کاهش مقاومت در مقاومت اسمی می باشند.
بنابراین گزینه 4 صحیح است.
طراحی تیرهای I شکل فشرده با دو محور تقارن بدون اثر کمانش پیچشی – جانبی
در بخش اول گفتیم که به طور کلی دو موضوع کمانش موضعی و کمانش پیچشی – جانبی می تواند بر رفتار تیرها تحت لنگر خمشی تاثیرگذار باشد.
حال در این بخش می خواهیم ساده ترین روابط محاسبه مقاومت خمشی مقاطع را بیان کنیم. برای این منظور، مقطعی با شروط زیر را در نظر گرفته ایم:
1- مقطع تیر به صورت I شکل با دو محور تقارن باشد.
2- مقطع تیر فشرده باشد. بنابراین بحث کمانش موضعی در رفتار آن تاثیر گذار نیست.
3- مقطع در برابر کمانش پیچشی – جانبی مهار شده باشد و این موضوع نیز در رفتار آن مهم نباشد.
در صورتی که سه شرط فوق برقرار باشد، ساده ترین و البته پرکاربردترین حالت تعیین مقاومت خمشی اعضای فولادی به دست می آید.
در این حالت ظرفیت خمشی مقطع بر این مبنا تعیین می گردد که تمام نقاط مقطع بتوانند به تنش تسلیم (Fy) برسند. می دانیم چنین وضعیتی تحت عنوان خمش پلاستیک نام گذاری می شود که در جلسه قبل گفتیم.
برای آنکه بتوان از رسیدن تنش تمام نقاط مقطع تیر به حد Fy و ایجاد لنگر پلاستیک اطمینان حاصل نمود، لازم است که از رخ دادن کمانش های موضعی و کمانش پیچشی – جانبی در مقطع جلوگیری شود. به عبارت دیگر باید اولا مقطع فشرده باشد و ثانیا مهار جانبی کافی داشته باشد.
در جمع بندی مطالب بیان شده، باید گفت که اگر شروط زیر برقرار باشد، مقاومت خمشی مقطع I شکل با دو محور تقارن حول محور قوی برابر Mp می باشد:

ry: شعاع ژیراسیون مقطع حول محور ضعیف
شروط فشردگی بال ها و جان های مقطع I شکل با دو محور تقارن، از جدول بدست می آید.
همچنین شرط فاصله مهارهای جانبی تیر، توسط آیین نامه در فصل خمش گذاشته شده است و برای این است که کمانش پیچشی – جانبی در تیر ندهد.
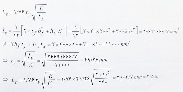
مثال: تیر ورقی با مقطع I شکل زیر دارای دهانه ای به طول 4 متر و بدون مهار جانبی است. اگر بخواهیم مقطع تیر فشرده بوده و لزومی به در نظر گرفتن کمانش پیچشی – جانبی نباشد، عرض بال (bf) در چه محدوده ای می تواند تغییر کند؟ (ry=0.5bf) (Fy=2400 kg/cm2)

حل: ابتدا ارضای شرط فشردگی بال در تیرورق می پردازیم.

اگر بخواهیم کمانش پیچشی – جانبی در تیر مهم نباشد و به عبارت دیگر اتکای جانبی کافی برای آن داشته باشد، باید داشته باشیم:

ry طبق فرض سوال معادل 0.5bf در نظر گرفته می شود داریم:

بنابراین بین 15.74 و 33.7 می باشد.
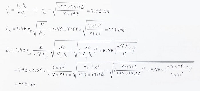
مثال: در مقطع شکل زیر، مقادیر ممان اینرسی ها و اساس مقطع های پلاستیک داده شده است. از این مقطع برای ساخت تیری استفاده می شود که تحت لنگر خمشی حول محور قوی قرار می گیرد. فاصله مهارهای جانبی در طول تیر تقریبا چقدر باشد که بحث کمانش پیچشی – جانبی در آن بی اهمیت شود و در این صورت مقاومت خمشی اسمی مقطع تقریبا چقدر است؟
(Fy=240MPa، I22=1.1×10^7 mm4، I23=1.8×10^8 mm4، Z22=232500 mm3، Z33=1185000mm3)
1- 7.16 و 56
2- 7.16 و 285
3- 1.78 و 56
4- 1.78 و 285

حل: در مورد مقطع اولا باید وضعیت فشردگی بال و جان بررسی شود.

حال که از فشردگی بال و جان مقطع و عدم وجود حالت کمانش موضعی اطمینان حاصل شد، می توان گفت که اگر فاصله مهارهای جانبی تیر از مقدار زیر کمتر باشد، بحث کمانش پیچشی – جانبی هم در این مقطع تاثیر گذار نخواهد بود.

توجه: برای تعیین ry، از ممان اینرسی مقطع حول محور ضعیف استفاده می کنیم که در این تست با پارامتر I22 نشان داده شده است.
حال می توان گفت که اگر فاصله مهارهای جانبی تیر از مقدار 1.78 متر کمتر باشد، بحث کمانش پیچشی – جانبی نیز در این تیر وجود نداشته و مقاومت خمشی اسمی تیر، همان لنگر پلاستیک مقطع خواهد شد.
![]()
توجه: برای تعیین لنگر پلاستیک مقطع حول محور قوی، از Z حداکثر استفاده شده که در این تست با Z22 بیان شده است.
بنابراین گزینه 4 صحیح است.
مثال: تیری با مقطع IPE240 در نظر بگیرید که به صورت زیر استفاده شده است. اگر این تیر در کل طول خود مهار جانبی داشته باشد، حداکثر مقدار Pu تقریبا چقدر می تواند باشد؟ (Fy=240MPa)
1- 53 2- 59 3- 79 4- 88

حل: مقطع تیر از نوع IPE اشتال است و فشرده می باشد، همچنین از آنجا که تیر مورد نظر در کل طول خود دارای مهار جانبی است، کمانش پیچشی – جانبی آن مهم نیست. در این صورت می توان ابتدا مقاومت خمشی این مقطع و سپس حداکثر نیروی Pu را با طی گام های زیر بدست آورد:
گام اول (تعیین مقاومت خمشی اسمی):
![]()
توجه: مقدار Zx مقطع از جدول بدست آمده است.
گام دوم (تعیین مقاومت خمشی طراحی):
![]()
گام سوم (تعیین حداکثر لنگر وارد بر مقطع ناشی از نیروی Pu):

گام چهارم (محاسبه مقدار Pu با توجه به رابطه مقاومت خمشی طراحی تیر با حداکثر لنگر خمشی وارد بر آن):

بنابراین گزینه 1 صحیح است.
مثال: در کنترل کننده ترین مقطع، (مطابق شکل زیر) از یک تیر فولادی براساس تحلیل سازه، لنگرهای حاصل از بارهای مرده و زنده و زلزله به ترتیب برابر 150 و 100 و 350 کیلونیوتن است. این بارهای بدون ضریب بار بوده و محاسبات زلزله براساس ویرایش چهار استاندارد 2800 انجام گرفته است. حداکثر نسبت مقاومت خمشی مورد نیاز به مقاومت خمشی طراحی این مقطع به کدامیک از گزینه های زیر نزدیکتر است؟ (فولاد مصرفی از ST37 با Fy=240MPa بوده و مقطع با دو محور تقارن، تمام شرایط فشردگی را دارد و حالت حدی کمانشی پیچشی جانبی حاکم نمی باشد.)
1- 0.8 2- 1.15 3- 1 4- 0.85

حل: با توجه به اطلاعات صورت تست، ترکیب بارهای حالت حدی مقاومت در ساختمان های فولادی (مطابق آیین نامه) یعنی ترکیب بارهای 1 و 2 و 5 باید ملاک مورد نیاز قرار گیرند.

از سوی دیگر با توجه به متقارن بودن مقطع تیر، در لحظه اعمال لنگر پلاستیک به مقطع، محور خنثی در وسط ارتفاع مقطع قرار می گیرد و داریم:

بنابراین گزینه 3 صحیح است.
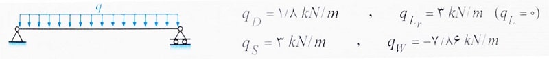
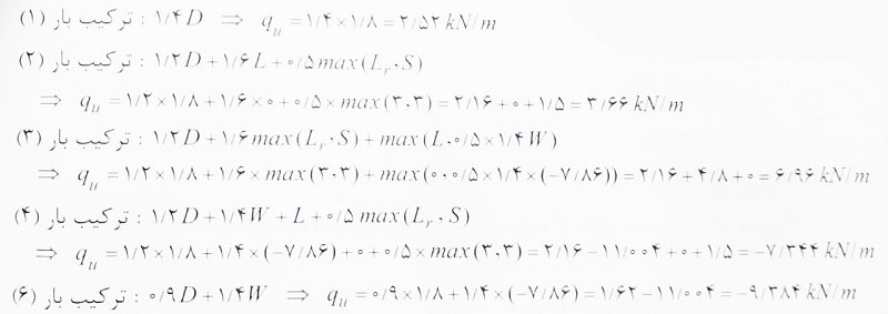
مثال: بر روی یک تیر دو سر ساده با شیب بسیار کم (فرض کنید افقی) به دهانه 12 متر مربوط به یک بام با پوشش سبک بار مرده 1.8 و بار زنده 3 و بار برف 3 و بار باد 7.86 (مکش) کیلونیوتن محاسبه شده است. اگر این تیر شرایط فشردگی مقطع را داشته باشد و دارای مهار جانبی کافی برای ممانعت از کمانش پیچشی – جانبی باشد، حداقل اساس مقطع پلاستیک لازم حول محور قوی به کدامیک از گزینه های زیر نزدیک تر است؟ (مقطع تیر I شکل با تقارن دو محوره و خمش حول محور قوی است، فولاد از نوع ST37 فرض شود. سایر بارگذاری ها و ترکیب بارها مربوط به آنها حاکم بر طرح نیست. بارها بدون ضریب می باشند. مساله براساس حالت حدی مقاومت حل شود.
1- 785×10^3 mm3
2- 830×10^3 mm3
3- 670×10^3 mm3
4- 980×10^3 mm3
حل:
بارهای داده شده برای این تیر شامل مرده، زنده، برف و باد می باشد که در شکل زیر نشان داده شده اند.

در مورد این تیر بارها باید به دو نکته مهم توجه نمود. اول اینکه چون تیر مورد نظر مربوط به بام است، بار زنده در حقیقت بار زنده بام است که با Lr نشان داده می شود ( و نه L). دوم اینکه بار باد به صورت مکش است یعنی اگر دیگر بارهای ثقلی علات مثبت داشته باشند، بار باد علامت منفی دارد.
از طرفی ترکیب بارهای طراحی سازه های فولادی در قسمت های قبلی ارائه شده است. می دانیم که از بین همه این ترکیب بارها باید مواردی را انتخاب کنیم که در آنها بارهای داده شده در فوق وجود دارد.
دقت شود که ترکیب بارهای زلزله دار ( ترکیب بارهای 5 و 7 ) و ترکیب بارهای دارای اثرات خود کرنشی (ترکیب بارهای 8 و 9 ) ملاک نیستند.
حال ترکیب بارهای دیگر را به ازای مقادیر داده شده بارها محاسبه می کنیم.

با توجه به محاسبات انجام گرفته، می توان گفت که بحرانی ترین حالت بارگذاری وارد بر این تیر، تحت ترکیب بار 6 رخ می دهد که بار گسترده 9.384 کیلونیوتن بر متر به صورت مکش به تیر وارد می شود. حال برای ادامه حل این تست داریم:

نزدیک ترین جواب به اساس مقطع پلاستیک فوق، گزینه 1 است.
طراحی تیرهای I شکل فشرده با دو محور تقارن با اثر کمانش پیچشی – جانبی
برای تیرهای I شکل با دو محور تقارن، اگر شرط فشردگی وجود داشته باشد، بحث کمانش موضعی دیگر مطرح نیست. درباره این تیرها، یا ممکن است که مقطع به لنگر پلاستیک برسد و یا اینکه اگر مهار جانبی تیر ناکافی باشد، ممکن است کمانش پیچشی – جانبی در تیر اتفاق بیفتد.

در صورتی که بخواهی اثر کمانش پیچشی – جانبی را در طراحی تیر در نظر بگیریم، معادلات خاصی وارد مساله می شوند. با این مقدمه، باید گفت که در طراحی تیرهای I شکل فشرده با دو محور تقارن دو حالت حدی زیر باید بررسی شوند:
الف) حالت حدی تسلیم (Y): برای حالت تسلیم، لنگر اسمی این نوع از مقاطع برابر لنگر پلاستیک آنها بوده و با استفاده از رابطه زیر بدست می آید.
![]()
Mp: لنگر پلاستیک Fy: تنش تسلیم فولاد Zx: مقطع پلاستیک حول محور x
ب) حالت حدی کمانش پیچشی – جانبی (LTB):
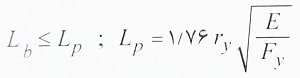
1- اگر Lb≤Lp باشد لزومی به در نظر گرفتن کمانش پیچشی – جانبی نیست.
2- برای Lp<Lb<Lr:

3- برای Lb>Lr:
![]()
به طور کلی در هنگام طراحی یک عضو، باید حالت بحرانی تر در طراحی منظور شود و این یعنی مقدار کمتر ظرفیت عضو باید مد نظر قرار گیرد. پس در طراحی تیرهای مورد نظر از روش فوق، باید مقدار Mn مینیمم بین حالت های حدی تسلیم (Y) و حالت حدی کمانش پیچشی – جانبی (LTB) در نظر گرفته می شود.
پارامترهای مورد استفاده در روابط فوق عبارتند از:
Lb: فاصله بین دو مقطع از طول عضو که در آن مقاطع از تغییر مکان جانبی بال فشاری یا از پیچش کل مقطع جلوگیری شده است فاصله تکیه گاه های جانبی نامگذاری می شود.
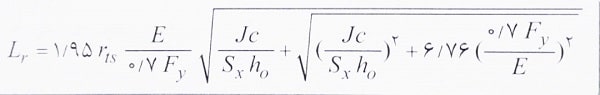
Lp: طول مهار نشده عضو مطابق رابطه زیر، که مرز بین حالت حدی تسلیم و حالت حدی کمانش پیچشی – جانبی غیر ارتجاعی را مشخص می کند.

Lr: طول مهار نشده عضو مطابق رابطه زیر که مرز بین حالت حدی کمانش پیچشی – جانبی غیر ارتجاعی و ارتجاعی را مشخص می کند.

Fcr: تنش کمانش الاستیک پیچشی – جانبی مطابق رابطه زیر:

Cb: ضریب اصلاح کمانش پیچشی – جانبی
E: مدول الاستیسیته فولاد J: ثابت پیچشی ![]()
Sx: اساس مقطع الاستیک نسبت به محور x
ho: فاصله مرکز تا مرکز بال ها
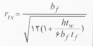
rts: شعاع ژیراسیون موثر طبق رابطه زیر:

همچنین rts را می توان به طور محافظه کارانه شعاع ژیراسیون مقطعی شامل بال فشاری و یک ششم جان نسبت به محور مار بر جان در نظر گرفت.

tf و bf: به ترتیب ضخامت و پهنای بال فشاری مقطع
c: ضریبی است طبق روابط زیر:
c=1 برای مقاطع I شکل با دو محور تقارن
برای مقاطع ناودانی
Cw: ثابت پیچش تابیدگی که برای مقاطع I شکل با دو محور تقارن برابر
می باشد.
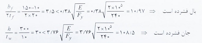
مثال: چنانچه مقطع یک تیر مطابق شکل زیر باشد، طول مهار نشده آن که مرز بین حالت حدی تسلیم و حالت حدی کمانش پیچشی – جانبی غیر ارتجاعی را مشخص می کند، به کدامیک از مقادیر زیر نزدیکتر است؟ (Fy=240MPa و E=2×10^5MPa)
1- 3 2- 2.5 3- 2 4- 1.5 متر

حل: مهندسان عزیز دقت کنید که منظور طراح این سوال از طول مهار نشده تیر ورق که مرز بین حالت حدی تسلیم و حالت حدی کمانش پیچشی – جانبی غیر ارتجاعی را مشخص می کند، همان پارامتر Lp است. حال با توجه به این موضوع داریم:

گزینه 2 صحیح است.
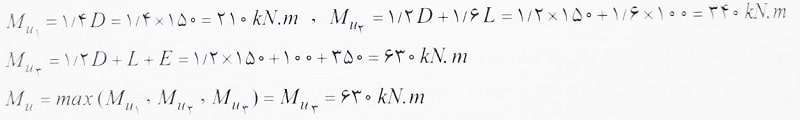
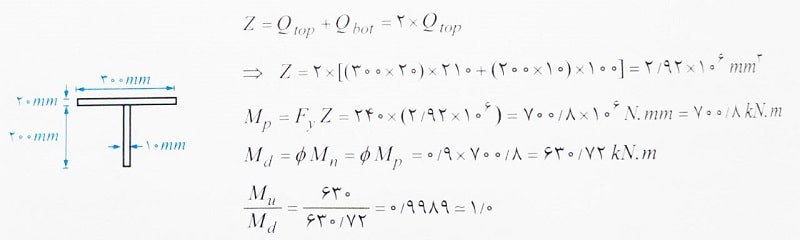
مثال: در طراحی یک تیر دو سر مفصل به طول 5 متر و تحت اثر بار نهایی یکنواخت 32 کیلونیوتن بر متر، چنانچه ضخامت ورق های موجود برابر 10 میلی متر و ارتفاع کلی تیر حداکثر 320 میلی متر باشد، تنها براساس کنترل معیار تسلیم تحت خمش، حداقل پهنای بال مورد نیاز برای مقاطع I شکل به کدامیک از مقادیر زیر بر حسب میلی متر نردیکتر است؟ Fy=240MPa
1- 150 2- 100 3- 80 4- 120
حل: با توجه به اطلاعات داده شده، شکل این تیر و مقطع آن به صورت زیر است:

حال با مقایسه لنگر نهایی وارد بر مقطع و لنگر طراحی داریم:
![]()
بنابراین براساس گزینه ها، حداقل مقدار مورد نیاز پهنای بال برابر 80 میلی متر بوده و گزینه 3 صحیح است.
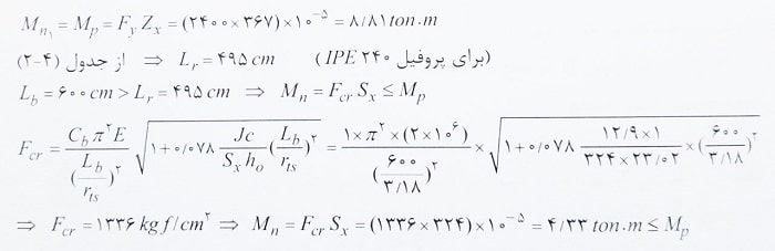
مثال: در یک تیر طره ای مطابق شکل، تیر فقط در نقطه A دارای اتکای جانبی است. اگر مقطع تیر IPE200 باشد، مقاومت خمشی اسمی حول محور x کدامیک از مقادیر زیر است؟ (مشخصات تیر IPE200 از جدول اشتال بردارید.)
1- Mn=4081 kg.m
2- Mn=5304 kg.m
3- Mn=3320 kg.m
4- Mn=1960 kg.m

حل:
با توجه به اینکه مقطع نورد شده می باشد، نیازی به کنترل فشردگی مقطع نداریم و مقطع به صورت پیش فرض فشرده می باشد. حال با توجه به اینکه مقطع IPE200 است و از نوع فشرده I شکل با دو محور تقارن است باید از حالت حدی تسلیم و حالت حدی کمانش پیچشی – جانبی استفاده کنیم.
الف) بررسی حالت حدی تسلیم (Y):

ب) بررسی حالت حدی کمانش پیچشی – جانبی (LTB):
برای بررسی این حالت باید مقادیر Lp و Lr بدست آمده و طول مهار نشده تیر یعنی 3 متر با آنها مقایسه شود.
![]()
برای مقاطع I شکل به صورت ساده شده داریم:

حال با توجه به اینکه Lp<Lb=3m<Lr قرار دارد برای محاسبه Mn داریم:

یادآوری: برای تیر طره مقدار Cb برابر 1 می باشد.
در نهایت مقاومت خمشی اسمی کوچکترین مقدار بدست آمده از بین حالت حدی تسلیم و حالت حدی کمانش پیچشی خواهد بود، به عبارتی Mn=4081 kg.m می باشد و گزینه 1 صحیح است.
جدول کاربردی
همانطور که از حل مثال بالا متوجه شده اید، مقدار پارامترهایی نظیر rts، Lp،Lr برای مقاطع وقت گیر است.
به همین دلیل می توان برای صرفه جویی در وقت، این پارامترها را برای مقاطع استاندارد (مقاطع شتال) یک بار محاسبه کرده و آنها را دفعات بعدی به کار برد.


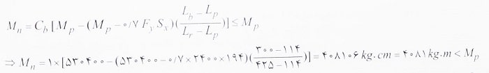
مثال: تیر طره شکل زیر را از مقطع IPE240 در نظر بگیرید. مقاومت خمشی اسمی این تیر تقریبا چقدر است؟ (تیر به جز در تکیه گاه، مهار جانبی ندارد و فولاد از نوع ST37 می باشد).
1- 3.3 تن متر 2- 4.3 3- 6.7 4- 8.8

حل: مقاومت خمشی تیر I شکل با دو محور تقارن، براساس حالت های تسلیم و کمانش پیچشی – جانبی بدست می آید.

در رابطه بالا پارامترهای مورد استفاده در حل این تست باید گفت:
1- برای تیرهای طره ای که انتهای آزاد آنها مهار نشده است، Cb مساوی واحد است.
2- پارامترهای Zx و Sx و J و rts و ho برای مقطع IPE از جدول بدست می آید.
3- پارامتر c برای تیرهای I شکل با دو محور تقارن برابر واحد است.
بنابراین گزینه 2 صحیح است.
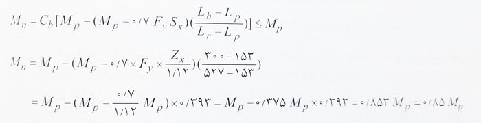
مثال: یک تیر خمشی با مقطع IPE270 تحت خمش یکنواخت حول محور قوی قرار دارد. در صورتی که دهانه تیر 6 متر و فواصل تکیه گاه های جانبی بال فشاری 3 متر باشد، مقاومت خمشی اسمی این عضو به کدامیک از مقادیر زیر نزدیکتر است؟ (Mp لنگر پلاستیک بوده و Zx=1.12Sx فرض شود.)
1- 0.75Mp
2- Mp
3- 0.9M9
4- 0.85Mp
حل: از آنجا که تیر تحت خمش حول محور قوی بوده ضریب Cb برابر واحد است، با توجه به جدول مقادیر Lp و Lr برای پروفیل IPE270 به صورت زیر است:
![]()
تذکر: طراح این سوال فراموش کرده که مقدار تنش تسلیم فولاد را ذکر کند. با این حال از آنجا که تمام مقاطع موجود IPE در ایران از نوع ST37 هستند از جدول استفاده کردیم.
با توجه به اینکه فاصله تکیه گاه های جانبی بال فشاری (Lb) برابر 3 متر است که بین Lp و Lr می باشد مقاومت خمشی اسمی تیر از رابطه زیر بدست می آید:

بنابراین گزینه 4 صحیح است.
محاسبه مقاومت خمشی مقاطع I شکل فشرده با دو محور تقارن – محاسبه مقاومت خمشی مقاطع I شکل فشرده با دو محور تقارن – محاسبه مقاومت خمشی مقاطع I شکل فشرده با دو محور تقارن – محاسبه مقاومت خمشی مقاطع I شکل فشرده با دو محور تقارن – محاسبه مقاومت خمشی مقاطع I شکل فشرده با دو محور تقارن – محاسبه مقاومت خمشی مقاطع I شکل فشرده با دو محور تقارن




دیدگاه خود را ثبت کنید
تمایل دارید در گفتگوها شرکت کنید؟در گفتگو ها شرکت کنید.