محاسبه تغییر شکل کوتاه مدت در اعضای بتن آرمه
محاسبه تغییر شکل کوتاه مدت در اعضای بتن آرمه
طراحی تمام سازه ها اعم از فولادی و بتنی بر مبنای دو اصل زیر انجام می شود:
1- کنترل مقاومت اعضا در حالت نهایی
2- کنترل ضوابط مربوط به تغییر شکل ها در حالت بهره برداری
مطابق این دو اصل در واقع علاوه بر کنترل نهایی بارگذاری و اطمینان از عدم گسیختگی مقاطع با رعایت ضرایب اطمینان مناسب، باید از عملکرد آنها در شرایط عادی و تحت بارهای بهره برداری اطمینان حاصل کرد.
در واقع مطابق این تعریف، بارهای بهره برداری بارهایی هستند که مطابق مقادیر مورد انتظار بر اعضا اعمال شده و در ترکیبات بارگذاری با ضرایب یک در نظر گرفته می شوند.
در چنین شرایطی با فرض رفتار خطی مصالح بتن و فولاد و با استفاده از روابط مقاومت مصالح، ضوابط مربوط به حالت بهره برداری محاسبه شده و با مقادیر مجاز کنترل می شوند.
مهمترین ضوابط حالت بهره برداری در سازه های بتنی آرمه موارد زیر هستند:
1- کنترل مقادیر تغییر مکان قائم با خیز در تیرها و دال ها
2- کنترل عرض ترک های خمشی ایجاد شده در تیرها و دال ها
3- کنترل توزیع ترک های خمشی تیرها و دال ها با توزیع مناسب آرماتورهای خمشی
4- کنترل ترک های ناشی از حرارت و جمع شدگی در بتن
5- کنترل مقدار ارتعاش ( لرزش در کف ها )
باید به این نکته توجه نمود که هر چند اعضا در حالت نهایی برای مقاومت مورد نظر طراحی می شوند، اما کنترل فوق باید به صورت مجزا و تحت شرایط بهره برداری ( ضرایب بار برابر 1 ) حتما انجام گردد.
در این بخش با ذکر مثال های متنوع و موارد کاربرد مختلف به شما آموزش داده خواهد شد. این بخش که مربوط به ضوابط بهره برداری می باشد یکی از پر کاربرد ترین مباحث در آزمون محاسبات نظام مهندسی ساختمان بوده و مطالب این بخش را اگر به خوبی درک کنید قادر به پاسخگویی آسان به سوالات آزمون خواهید بود.
انواع تغییر شکل در سازه های بتن آرمه
با اعمال بارهای قائم به المان های افقی سازه از قبیل تیرها و دال ها، تغییر شکل های قائم و یا خیز در این اعضا رخ می دهد.
در صورتی که مقدار تغییر شکل این المان ها در مرحله طراحی کنترل نشود، ممکن است در اثر تغییر مکان های بیش از اندازه مشکلاتی در بهره برداری این اعضا به خصوص در محل اتصال اجزای غیر سازه ای از قبیل درب ها، تجهیزات برقی و یا مکانیکی مستقر بر آنها، پارتیشن های غیر سازه ای، تجهیزات مربوط به سیالات و .. رخ دهد.
علاوه بر این تغییر شکل های بیش از اندازه سازه ای باعث ایجاد حس نا امنی برای ساکنین و بروز ترک خوردگی های پیش رونده نیز می گردد.
بنابراین کنترل تغییر شکل ها یکی از موارد مهم طراحی در المان های افقی باربر ثقلی سازه ها محسوب می شود.
برای درک بهتر مفهوم تغییر شکل و آشنایی با محاسبه آن در سازه ها، ابتدا باید نحوه وقوع تغییر شکل در اعضای بتن آرمه را بررسی کنیم.
در اعضای بتن آرمه تحت اثر بارگذاری تغییر شکل ها طی دو مرحله رخ می دهند:
1- تغییر شکل های اولیه ( آنی ، الاستیک )
2- تغییر شکل های ثاونیه ( دراز مدت )
همانطور که از نامگذاری این دو نوع تغییر شکل هم مشخص است، تغییر شکل اولیه بلافاصله پس از اجرای عضو و اعمال بارگذاری اتفاق می افتد. محاسبه این نوع تغییر شکل نسبتا ساده بوده و براساس نوع بارگذاری، شرایط تکیه گاهی و هندسه المان مطابق روابط تحلیل سازه قابل محاسبه می باشد.
تغییر شکل ثانویه یا دراز مدت در اثر بارهای مدت دار دائمی که شامل بار مرده و درصدی از بارهای زنده که همواره بر روی المان تاثیر گذار هستند ایجاد می شود.
در واقع حضور بارهای دائمی در مقطع باعث وقوع پدیده خزش در بتن شده و به همین دلیل تغییر شکل بتن در ناحیه فشاری افزایش می یابد. پدیده انقباض در بتن نیز با ایجاد انحنای بیشتر از ناحیه فشاری مقطع باعث افزایش تغییر شکل ها در طی زمان می گردد.
هر چند که محاسبه مقدار دقیق این افزایش نیازمند بکارگیری روش های محاسباتی پیچیده و نتایج حاصل از آزمایشات می باشد، ولی به طور ساده می توان آن را براساس مشخصات آرماتورهای ناحیه فشاری و مقدار تغییر شکل اولیه به صورت تابعی از زمان محاسبه کرد.
بیشتر بدانیم
همانطور که گفته شد، تحت اثر پدیده خزش مقدار تغییر شکل ها افزایش می یابد. برای درک بهتر این پدیده به شکل زیر که نمودار کرنش های یک تیر را نشان می دهد دقت کنید.

شکل 1 نمودار کرنش ها در لحظات اولیه بارگذاری را نمایش می دهد، در حالی که در شکل 2 نمودار کرنش ها پس از گذشت زمان و وقوع پدیده خزش در مقطع نشان داده شده است.
همانطور که در این شکل مشاهده می شود، با اعمال بارهای دائمی در بتن ناحیه فشاری مقدار کرنش حداکثر به اندازه εcr افزایش یافته ولی مقدار کرنش در فولادهای کششی تقریبا ثابت است.
با توجه به افزایش کرنش ها در این ناحیه، مقدار انحنای تیر و همچنین تغییر شکل قائم در اثر خزش در طول زمان نسبت به حالت اولیه افزایش می یابد.
پدیده انقباض نیز که در واقع جمع شدگی بتن در طول زمان به علت تبخیر آب درونی بتن می باشد، نیز باعث ایجاد انحنا در تیر می شود.
در واقع در اثر انقباض، کرنشی در اثر کوتاه شدگی فشاری در مقطع رخ داده و در نتیجه به دلیل وجود آرماتور کششی در مقطع و ایجاد کرنش های متفاوت در وجه های فشاری و کششی، مقطع دچار انحنا می شود.
البته معمولا محاسبات مجزایی برای تعیین مقدار تغییر شکل ناشی از انقباض انجام نشده و اثر همزمان با خزش در نظر گرفته می شود.
محاسبه تغییر شکل اولیه
همانطور که گفته شده، مقدار تغییر شکل اولیه تیرها براساس شرایط هندسی و تکیه گاهی المان ها و با توجه به روابط تحلیل سازه محاسبه می شود.
در این خصوص به طور کلی می توان گفت که مقدار تغییر شکل با بارگذاری وارده رابطه مستقیم و با سختی تیر نسبت عکس دارد.
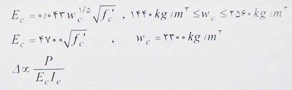
همانطور که می دانیم مقدار مدول الاستیسیته بتن بر حسب وزن مخصوص آن، به صورت زیر محاسبه می شود:

Δ: تغییر شکل قائم المان، میلی متر
P: بارگذاری وارد بر عضو، نیوتن
Ec: مدول الاستیسیته مقطع، مگاپاسکال
Ie: ممان اینرسی موثر مقطع، میلی متر به توان چهار
Wc: وزن مخصوص بتن، کیلوگرم بر متر مکعب
f’c: مقاومت فشاری مشخصه بتن، مگاپاسکال
نکته مهمی که در این قسمت باید به آن توجه کرد، نحوه محاسبه ممان اینرسی موثر مقطع می باشد، با توجه به اینکه در اثر بارگذاری، بتن در ناحیه کششی دچار ترک خوردگی می شود، بنابراین مقدار ممان اینرنسی نیز باید براساس وضعیت واقعی و ترک خورده مقطع محاسبه گردد.
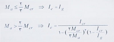
در این خصوص مقدار ممان اینرسی با توجه به مقدار لنگر خمشی حداکثر ناشی از بارهای بهره برداری و مقایسه آن با لنگر خمشی ترک خوردگی مقطع مطابق موارد زیر بدست می آید:

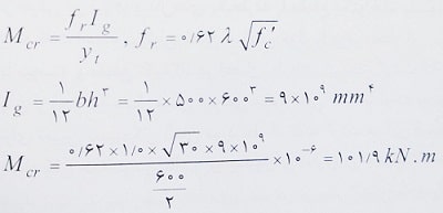
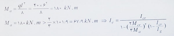
در روابط فوق Mcr لنگر خمشی مقطع ترک خورده است که قبلا خواندیم و به صورت زیر محاسبه می شود:


Ma: حداکثر لنگر خمشی ناشی از بارهای بهره برداری
Mcr: لنگر خمشی ترک خوردگی
fr: مدول گسیختگی بتن
Ig: ممان اینرسی ناخالص بتن حول مرکز ثقل بدون در نظر گرفتن اثر آرماتورها، میلی متر به توان چهار
yt: فاصله محور ثقل مقطع ناخالص نسبت به وجه کششی بدون در نظر گرفتن اثر آرماتورها، میلی متر
Icr: ممان اینرسی مقطع ترک خورده تبدیل یافته بتن، میلی متر به توان چهار
سوالی که احتمالا در ذهم شما ایجاد شده است، این است که برای محاسبه مقدار ممان اینرسی موثر در روابط فوق، مشخصات کدام مقطع در طول عضو باید در نظر گرفته شود؟
برای پاسخ به این سوال به منظور محاسبه مقدار ممان اینرسی موثر در تیرها و دال های یک طرفه پیوسته می توان مقدار ممان اینرسی موثر را با استفاده از مقدار متوسط وزن دار ممان اینرسی های موثر عضو در مقطع وسط دهانه و همچنین مقاطع بر تکیه گاه ها به صورت زیر محاسبه نمود:
![]()
Iel: ممان اینرسی موثر در مقطع بر تکیه گاه سمت چپ
Ier: ممان اینرسی موثر در مقطع بر تکیه گاه سمت راست
Iem: ممان اینرسی موثر در مقطع وسط دهانه
از طرفی در تیرها و دال های یک طرفه با مقطع یکنواخت منشوری، یعنی اعضایی که هندسه مقطع آنها در طول عضو ثابت است، می توان ممان اینرسی موثر را برابر مقدار آن در مقطع وسط دهانه برای اعضای با تکیه گاه ساده یا پیوسته و مقطع تکیه گاه در اعضای طره ای، در نظر گرفت.
پس از محاسبه مقدار ممان اینرسی موثر، کافی است با توجه به نوع بارگذاری و شرایط تکیه گاهی از رابطه مناسب برای تعیین تغییر مکان المان مورد نظر استفاده گردد.
در این قسمت به منظور یادآوری روابط محاسبه مقدار تغییر مکان حداکثر در حالت های متداول بارگذاری در جدول زیر آورده شده است.

توجه شود در تمام حالات به جز ردیف های 3 و 6، تغییر مکان حداکثر در وسط دهانه رخ می دهد. در حالت های کنسولی 3 و 6، تغییر مکان حداکثر در انتهای طره اتفاق می افتد.
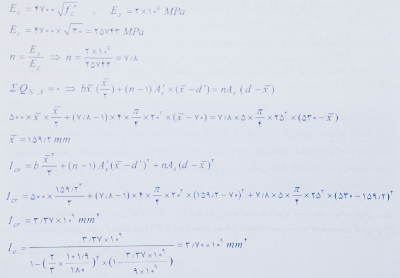
مثال: شکل های زیر یک تیر بتن آرمه را به طول 6 متر با تکیه گاه ساده در دو مقطع وسط دهانه و تکیه گاه نشان می دهد. در صورتی که این تیر تحت بارهای بهره برداری 40 کیلونیوتن بر متر قرار گرفته باشد، به سوالات زیر پاسخ دهید. مقاومت فشاری بتن برابر 30 مگاپاسکال و پوشش بتن از مرکز آرماتورها برابر 70 میلی متر در نظر گرفته می شود. وزن مخصوص بتن برابر 2300 کیلوگرم بر متر مکعب می باشد.
الف) مقدار ممان اینرسی موثر در محاسبات تغییر شکل در این تیر را محاسبه کنید.
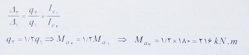
ب) در صورتی که مقدار بار وارد بر تیر 20 درصد افزایش یابد، تغییر شکل کوتاه مدت آن چگونه تغییر می کند؟

حل:
الف) با توجه به اینکه تیر دارای تکیه گاه ساده است، بنابراین مقدار ممان اینرسی آن مطابق مشخصات مقطع وسط دهانه و با مقایسه مقدار حداکثر لنگر بهره برداری آن با لنگر ترک خوردگی محاسبه می شود.

از طرفی مقدار لنگر بهره برداری در مقطع وسط دهانه برابر است با:

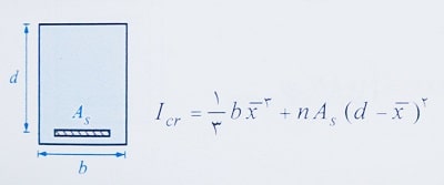
برای محاسبه ممان اینرسی ترک خورده مقطع، با توجه به وجود فولاد کششی و فشاری در مقطع داریم:

با توجه به اینکه وزن مخصوص بتن برابر 2300 کیلوگرم بر متر مکعب است داریم:

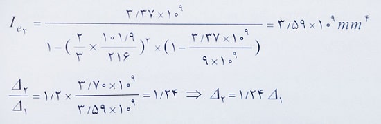
ب) با افزایش مقدار بار وارد بر تیر، مقدار لنگر حالت بهره برداری، یعنی پارامتر Ma افزایش می یابد.
از طرفی با توجه به اینکه مقدار تغییر شکل کوتاه مدت با استفاده از روابط تحلیل سازه و براساس نوع بار وارده و نوع تکیه گاه محاسبه می شود، در یک تیر با تکیه گاه ساده تحت بارگذاری گسترده مطابق جدول بالا خواهیم داشت:

همانطور که مشاهده می شود، مقدار تغییر مکان با بار گسترده رابطه مستقیم و با ممان اینرسی موثر مقطع رابطه عکس دارد.
بنابراین با افزایش مقدار بار، نه تنها پارامتر q افزایش می یابد، بلکه پارامتر Ie به دلیل افزایش Ma دچار کاهش شده، بنابراین مقدار تغییر مکان افزایش می یابد. مقدار این افزایش با توجه به ثابت بودن سایر پارامترهای مقطع به صورت زیر محاسبه می شود:


همانطور که مشاهده می شود با افزایش 20 درصدی در مقدار بار، تغییر مکان 24 درصد بیشتر از حالت اول خواهد شد.
نتیجه گیری
در مثال فوق مشاهده شد که رابطه بین بار و تغییر مکان ایجاد شده خطی نمی باشد. دلیل این امر ترک خوردگی مقطع بتن آرمه می باشد.
باید توجه کنید که پیش از وقوع ترک خوردگی در مقطع رابطه بین نیرو و تغییر مکان خطی بوده ولی پس از ایجاد ترک در مقطع به علت بازشدگی تدریجی ترک ها و کاهش موثر مقطع در برابر تنش فشاری و در نتیجه مقدار ممان اینرسی موثر، رابطه بین نیرو و تغییر مکان خطی باقی نخواهد ماند.
مثال: در یک سقف با دال بتنی که با میلگرد S400 طراحی شده است، در اجرا با کسب نظر مساعد طراح سازه ( با رعایت تمامی اصول فنی ) از میلگرد S340 با سطح مقطع معادل استفاده می شود. تغییر شکل آنی در دال ترک خورده ( Ma>2/3Mcr فرض شود ):
1 – افزایش می یابد. 2- کاهش می یابد. 3- تغییر نمی کند. 4- بدون اطلاع از نوع بتن مصرفی نمی توان اظهار نظر کرد.
حل: همانطور که خواندیم در حالت کلی تغییر شکل های ناشی از بارهای گسترده از رابطه زیر بدست می آید:

در این رابطه، α ضریبی است که با توجه به هندسه سازه و شرایط تکیه گاهی مطابق جدول تعیین می شود. q بار گسترده، L طول عضو، Ec مدول الاستیسیته بتن و Ie ممان اینرسی موثر است که از رابطه زیر بدست می آید:

در رابطه فوق، Icr ممان اینرسی مقطع ترک خورده با در نظر گرفتن اثر آرماتورها است که برای مقطع مستطیلی دال مطابق شکل زیر با استفاده از رابطه زیر بدست می آید:

در رابطه فوق، x بار، عمق ناحیه فشاری مقطع و n نسبت مدول الاستیسیته فوالاد به بتن است. در صورت کاهش رده میلگردها ( از S400 به S340 ) و استفاده از مقطع معادل ( برای ثابت ماندن ظرفیت خمشی مقطع)، لازم مساحت آرماتورها افزایش یابد که در نتیجه مقدار Icr نیز افزایش خواهد یافت.
در نتیجه این افزایش، مقدار ممان اینرسی موثر Ie نیز بیشتر شده و در نتیجه تغییر شکل های آنی طبق رابطه کاهش می یابد.
تذکر: در مقطع معادل، مساحت میلگرد در حالت جدید را می توان با استفاده از رابطه زیر بدست آورد.

بنابراین گزینه 2 صحیح است.
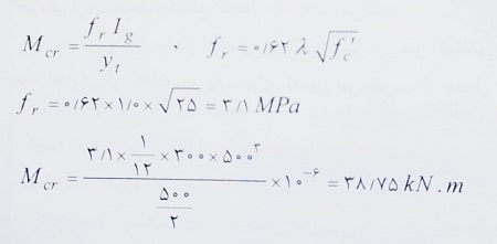
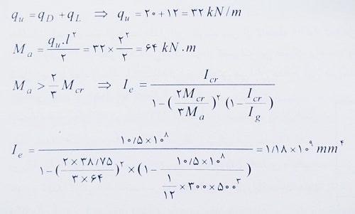
مثال: مقطع نشان داده شده در شکل زیر مربوط به یک تیر طره می باشد. بار مرده وارد بر این تیر برابر 20kN/m و بار زنده برابر 12kN/m می باشد. در صورتی که ممان اینرسی مقطع ترک خورده این تیر برابر 10.5×10^8 mm4 باشد، مقدار ممان اینرسی موثر مقطع برابر کدامیک از گزینه های زیر می باشد؟ ( طول تیر برابر 2 متر بوده و f’c=25MPa می باشد .)
1- 14×10^8
2- 18.4×10^8
3- 9.8×10^8
4- 11.8×10^8

حل:

باید دقت شود در حالت بهره برداری ضرایب ترک خوردگی بار برابر 1 در نظر گرفته می شود.

بنابراین گزینه 4 صحیح می باشد.
محاسبه تغییر شکل کوتاه مدت در اعضای بتن آرمه – محاسبه تغییر شکل کوتاه مدت در اعضای بتن آرمه – محاسبه تغییر شکل کوتاه مدت در اعضای بتن آرمه – محاسبه تغییر شکل کوتاه مدت در اعضای بتن آرمه – محاسبه تغییر شکل کوتاه مدت در اعضای بتن آرمه – محاسبه تغییر شکل کوتاه مدت در اعضای بتن آرمه – محاسبه تغییر شکل کوتاه مدت در اعضای بتن آرمه




دیدگاه خود را ثبت کنید
تمایل دارید در گفتگوها شرکت کنید؟در گفتگو ها شرکت کنید.