محاسبه تغییر شکل دراز مدت در اعضای بتن آرمه

محاسبه تغییر شکل دراز مدت در اعضای بتن آرمه

همانطور که در جلسه قبل گفتیم، با توجه به ماهیت رفتاری مصالح بتن تحت اثر بارهای دائمی، مقدار کرنش در ناحیه فشاری و همچنین انحنای مقطع طی زمان افزایش یافته و در نتیجه مقدار تغییر شکل های عضو با گدشت زمان افزایش می یابد.

مقدار این تغییر شکل اضافی را می توان به صورت ساده شده و ضریبی از مقدار تغییر شکل اولیه در نظر گرفت. در اینصورت مقدار تغییر شکل دراز مدت را می توان به صورت زیر محاسبه نمود:

تغییر شکل دراز مدت اعضای بتن آرمه

Δاولیه: تغییر شکل اولیه ناشی از بارهای دائمی

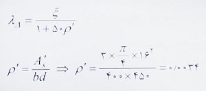
λΔ: ضریب تعیین تغییر شکل اضافی ناشی از بارهای دراز مدت

ξ: ضریب وابسته به زمان برای بارهای دائمی

‘P: درصد فولادی فشاری مقطع که برابر A’/bd می باشد.

نکته: در تیرهای با تکیه گاه ساده و یا سراسری در تعیین ‘P از مشخصات وسط دهانه و در تیرهای با تکیه گاه طره ای از مشخصات مقطع تکیه گاه استفاده می شود.

باید توجه شود که مقدار افزایش ضریب ξ پس از زمان کوتاهی از بارگذاری نسبتا زیاد بوده و با گذشت زمان نرخ افزایش آن کاهش می یابد. برای تعیین این ضریب از جدول زیر استقاده می شود.

جدول مدت زمان تغییر شکل دراز مدت اعضای بتن آرمه

همانطور که مشاهده می شود، مقدار این ضریب پس از گذشت 60 ماه ( 5 سال) از شروع بارگذاری ثابت و برابر 2 در نظر گرفته می شود.

نمودار تغییرات این ضریب بر حسب زمان را می توان به صورت نمودار شکل زیر نیز نمایش داد. با استفاده از این منحنی می توان مقادیر ضریب را در محدوده های میانی ردیف های مشخص شده در جدول نیز تعیین نمود.

تذکر: همانطور که در رابطه بالا مشاهده می شود با افزایش مقدار فولاد فشاری، λΔ و در نتیجه تغییر شکل دراز مدت کاهش می یابد. دلیل این امر این است که در مقاطع با فولاد فشاری با وقوع خزش، مقدار کرنش ایجاد شده در فولاد فشاری افزایش یافته، لذا سهم فولادهای فشاری از نیروی فشاری وارد بر مقطع افزایش می یابد.

نمودار تغییر شکل بلند مدت اعضای بتنی

در این صورت مقدار تنش فشاری وارد بر بتن کاهش یافته و لذا کرنش های ایجاد شده تحت اثر خزش در بتن نیز کاهش می یابد. بنابراین با اضافه نمودن فولاد فشاری به مقطع، مقدار تغییر شکل دراز مدت کاهش می یابد.

پس از محاسبه مقدار تغییر شکل های دراز مدت، می توان تغییر شکل کل المان را در اثر بارگذاری های وارده به صورت زیر تعیین نمود:

تغییر شکل کلی

نکته بسیار مهمی که باید به آن توجه کرد این است که ضریب λΔ به بارهای دائمی که در واقع بارهای مرده به همراه درصدی از بار زنده می باشد، اعمال می گردد.

بنابراین در حل سوالات آزمون نظام مهندسی نیز باید به این نکته توجه داشت که هدف محاسبه تغییر شکل دراز مدت است و یا تغییر شکل کل، از رابطه مناسب استفاده نمود.

در این خصوص مقدار تغییر شکل کل را به صورت زیر می توان محاسبه نمود:

تغییر شکل کل

Δکل: مجموع تغییر شکل اولیه و دراز مدت

Υ: درصد مشارکت بارهای زنده در محاسبه بارهای دائمی

ΔD: تغییر شکل ناشی از بار مرده

ΔL: تغییر شکل ناشی از بار زنده.

نکتهتوجه شود تغییر مکان بدست آمده از رابطه فوق، شامل هر دو قسمت تغییر شکل ناشی از بارهای اولیه و همچنین مقدار ناشی از بارهای دراز مدت می باشد.

در صورتی که بخواهیم مقدار تغییر شکل را فقط ناشی از بارهای زنده محاسبه نماییم کافی است مقدار تغییر شکل بارهای مرده را از تغییر شکل اولیه ناشی از بارهای مرده و زنده کسر کنیم.

دقت شود، به دلیل اینکه تغییر شکل ناشی از بارهای مرده قبل از بارهای زنده اتفاق افتاده و این امر باعث ترک خوردگی و تغییر مقدار Ie می گردد، لذا مقدار تغییر شکل ناشی از بارهای زنده باید به صورت زیر محاسبه گردد:

تغییر شکل ناشی از بارهای زنده

مثال: یک تیر بتنی دو سر ساده، تحت بار گسترده یکنواخت مرده 50kN/m قرار دارد. در این حالت مقدار لنگر حداکثر بهره برداری برابر 1.4Mcr بدست آمده است. تحت این بارگذاری ممان اینرسی موثر مقطع Ie، پنج درصد بیشتر از ممان اینرسی مقطع ترک خورده Icr بوده و تغییر شکل آنی در وسط دهانه 14.5 میلی متر است. اگر علاوه بر بار مرده مذکور، بار گسترده یکنواخت زنده برابر 25 کیلونیوتن بر متر نیز به تیر اعمال شود، آنگاه تغییر شکل آنی در وسط دهانه ناشی از بار زنده، به کدامیک از گزینه های زیر نزدیکتر است؟

1- 22.3                   2- 13.2                     3- 10.4                           4- 7.8 میلی متر

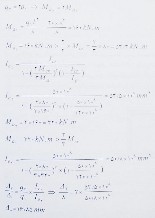
حل: می دانیم با تغییر بارگذاری، مقدار لنگر خمشی حداکثر Ma تغییر کرده و لذا مقدار ممان اینرسی موثر ثابت نخواهد بود. با توجه به اطلاعات سوال داریم:

نسبت لنگر خمشی

با توجه به اینکه در حال اول Ma=1.4Mcr بدست آمده است، لذا در هر دو حالت Ma>2/3Mcr بوده و مقدار ممان اینرسی موثر مطابق رابطه زیر بدست می آید:

ممان اینرسی موثر

با توجه به اینکه در حالت دوم Ma2=1.5Ma1 است بنابراین مقدار ممان اینرسی موثر تیر در حالت دوم برابر است با:

مقدار ممان اینرسی موثر تیر

دقت شود که Δ2 مجموع تغییر مکان تحت بارهای مرده و زنده بوده، ولی در سوال تغییر مکان تحت بارهای زنده خواسته شده، بنابراین داریم:

مجموع تغییر مکان تحت بارهای مرده و زنده

بنابراین گزینه 4 صحیح می باشد.

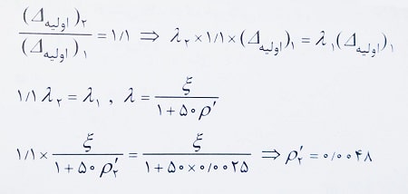
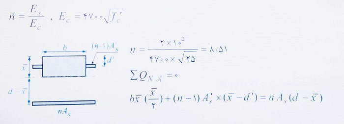
مثال: برای تیر بتنی با تکیه گاه ساده تحت بار گسترده یکنواخت، تغییر شکل اضافی ایجاد شده در طول زمان (اضافه افتادگی) برابر 30 میلی متر برآورد شده است. بتن از رده C30 و نسبت سطح مقطع آرماتور فشاری به سطح مقطع موثر برابر 0.0025 است. اگر به جای بتن C30 از بتن رده C25 استفاده شود، برای آنکه اضافه افتادگی مزبور بیشتر از 30 میلی متر نشود، حداقل مقدار نسبت سطح مقطع آرماتور فشاری به موثر حدودا چه میزانی باید در نظر گرفته شود؟ ( جرم مخصوص بتن ها یکسان فرض شده و از اثر تغییرات نوع بتن و فولاد فشاری در ممان اینرسی موثر مقطع صرف نظر شود).

1- 0.007                        2- 0.0035                       3- 0.0048                            4- 0.0055

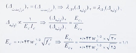
حل: همانطور که گفته شد، تغییر شکل اولیه تیرها با نسبت سختی یعنی پارا متر EcIe نسبت عکس دارد. می دانیم با تغییر رده بتن مقدار مدول الاستیسیته آن تغییر می کند ولی مقدار ممان اینرسی ثابت باقی می ماند.

بنابراین برای ثابت باقی ماندن تغییر مکان در هر دو حالت، کافی است مطابق روابط تغییر مکان به صورت زیر عمل کنیم:

نسبت مدول الاستیسیته بتن

نسبت مدول الاستیسیته

بنابراین گزینه 3 صحیح است.

مثال: در تیر یک ساختمان اداری مطابق شکل زیر، تغییر مکان آنی وسط دهانه برای بارهای مرده برابر 9.2 میلی متر و برای بارهای زنده برابر 6.9 میلی متر براساس تحلیل با سختی موثر محاسبه شده است. در صورتی که بار مرده به عنوان بار دائمی سازه باشد، تغییر شکل کل نهایی وسط دهانه تیر بر حسب میلی متر در طول عمر مفید سازه ناشی از بارهای مرده و زنده به کدامیک از موارد زیر نزدیک تر است؟ ( بتن از رده C25 و فولاد S400 فرض شود).

1- 24                     2- 25                          3- 31                                4- 35

محاسبه تغییر شکل نهایی تیر بتنی

تغییر شکل دراز مدت تیر

تذکر: همانطور که گفته شد، پدیده خزش در بتن تحت بارهای دائمی اتفاق می افتد، بنابراین ضریب λ فقط به بارهای دائمی، که در این سوال بارهای مرده می باشند اعمال شده است.

تغییر مکان کل

بنابراین گزینه 3 صحیح است.

مثال: مقطع تیر بتن مسلح با تکیه گاه های ساده به طول دهانه 8 متر دارای ممان اینرسی ترک نخورده برابر 12×10^8 و ممان اینرسی مقطع ترک خورده برابر 50×10^8 می باشد. تیر تحت بار مرده گسترده یکنواخت 20 کیلونیوتن بر متر ( شامل وزن تیر) دارای جابه جایی قائم آنی در وسط تیر برابر 8 میلی متر می باشد. اگر بار مرده گسترده یکنواخت به دو برابر افزایش یابد، جابه جایی آنی ( ارتجاعی ) تیر به کدامیک از گزینه های زیر نزدیک تر است؟ ( لنگر خمشی نظیر ترک خوردگی مقطع تیر برابر Mcr=80kN/m فرض شود).

1- 20 میلی متر                     2- 18.5                            3- 16.9                                     4- 15.4

لنگر ترک خوردگی و ممان اینرسی موثر تیر

بنابراین گزینه 3 صحیح است.

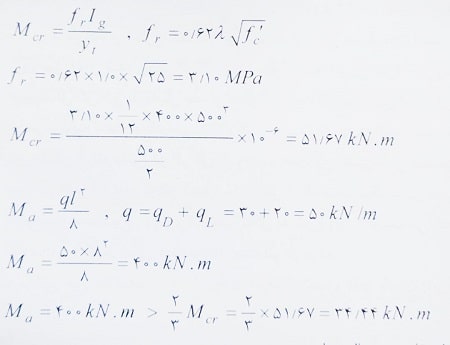
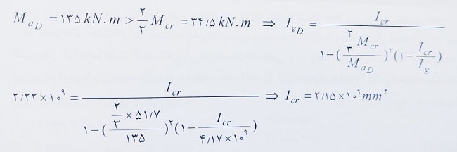
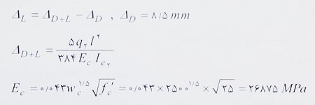
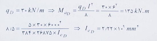
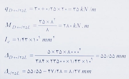
مثال: یک تیر بتن آرمه دو سر ساده به طول دهانه موثر 6 متر به عرض مقطع 400 میلی متر و ارتفاع مقطع 500 میلی متر، تحت اثر بار گسترده یکنواخت مرده به شدت 30 کیلونیوتن بر متر، به مقدار 8.5 میلی متر در وسط دهانه تغییر شکل آنی داده است. تغییر شکل آنی در وسط دهانه ناشی از بار زنده گسترده یکنواخت به شدت 30 کیلونیوتن بر متر در این تیر به کدامیک از گزینه های زیر نزدیکتر است؟ ( بتن از نوع معمولی بوده و رده C25 و وزن مخصوص برابر 25 کیلونیوتن بر متر مکعب فرض شود).

1- 6.4                            2- 8.5                             3- 9                        4- 11.3

می دانیم در تیر دو سر ساده تغییر شکل در وسط دهانه تحت بار گسترده به صورت زیر بدست می آید:

تغییر شکل تیر دو سر ساده

توجه کنید برای محاسبه تغییر مکان  تحت بار زنده مطابق رابطه گفته شده، باید ابتدا تغییر مکان تحت بار مرده و زنده ( حالت دوم ) را بدست آورده و سپس با کسر مقدار تغییر مکان تحت بار مرده ( حالت اول ) مقدار مورد نظر را بدست آوریم. بنابراین داریم:

مدول الاستیسیته بتن

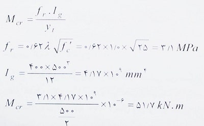
لنگر ترک خوردگی مقطع به صورت زیر محاسبه می شود:

لنگر ترک خوردگی

با توجه به اطلاعات داده شده، مقدار ممان اینرسی موثر و همچنین ممان اینرسی ترک خورده مقطع به صورت زیر قابل محاسبه است.

ممان اینرسی موثر

ممان اینرسی ترک خوردگی

پس از محاسبه Icr، مقدار خیز تیر برای مجموع بار مرده و زنده به صورت زیر بدست می آید:

محاسبه خیز تیر

در نهایت اضافه خیز ناشی از بار زنده برابر است با:

خیز تیر ناشی از بار زنده

بنابراین گزینه 3 صحیح است.

مثال: مطابق شکل زیر، در یک قاب خمشی بتن مسلح، تیر با مقطع 500x750mm و پایه های طرفین با مقطع 1500x3000mm بوده و تیر تحت تاثیر یم بار مرده دائمی 60kN/m ( شامل وزن تیر ) قرار می گیرد. تغییر شکل قائم کل وسط دهانه 7 سال پس از اجرا ناشی از بار دائمی یاد شده بر حسب میلی متر به کدام گزینه زیر نزدیک تر است؟ Ec=22×10^3MPa، ممان اینرسی موثر مقطع تیر Ie برابر نصف ممان اینرسی مقطع ترک نخورده بدون لحاظ اثر آرماتور Ig فرض شود؛ همچنین در وسط دهانه مقدار آرماتور فشاری ناچیز فرض شود و از تغییر شکل قائم پایه ها، صرف نظر گردد. طول موثر دهانه تیر در محاسبات 8.5 متر در نظر گرفته شود و رده بتن C25 می باشد.

1- 25              2- 20                  3- 9                       4- 13

محاسبه خیز قاب خمشی

حل: می دانیم تغییر شکل کل تیر برابر است با مجموع مقدار تغییر شکل های کوتاه مدت و بلند مدت می باشد. برای محاسبه مقدار تغییر شکل کوتاه مدت، با توجه به اینکه ممان اینرسی موثر مقطع نصف ممان اینرسی مقطع ترک نخورده بدون لحاظ کردن اثر آرماتورها می باشد داریم:

خیز تیرهای قاب خمشی

باید توجه نمود به دلیل وجود پایه ها، توانایی انتقال لنگر در محل اتصال تیر و ستون وجود داشته و مدل تحلیل تیر به صورت یک تیر دو سر گیردار می باشد. به همین دلیل تغییر مکان نیز تحت اثر بار گسترده مطابق جدول:

خیز کوتاه مدت

پس از گذشت 7 سال مقدار ضریب ξ برابر 2 می باشد، در این صورت با صرف نظر از آرماتورهای فشاری در مقطع وسط دهانه داریم:

خیز کل تیر

بنابراین گزینه 4 صحیح است.

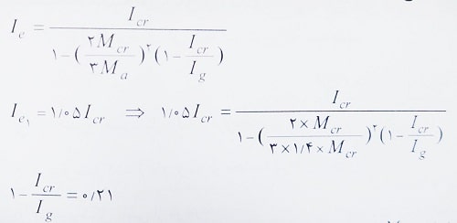
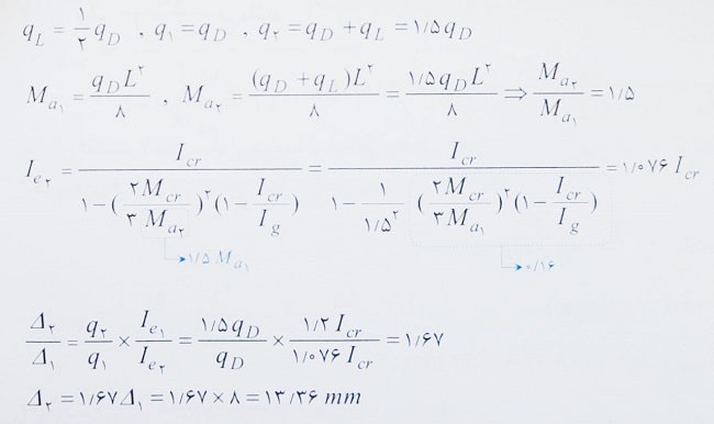
مثال: ممان اینرسی موثر مقطع ترک خورده یک تیر بتن آرمه با تکیه گاه های ساده به ازای بارهای مرده گسترده یکنواخت 20 درصد بیش از ممان اینرسی مقطع ترک خورده آن با در نظر گرفتن اثر آرماتور بده و تغییر شکل آنی در وسط دهانه 8 متر است. تغییر شکل آنی ناشی از اعمال بار گسترده یکنواخت، که از نظر عددی مقدار شدت آن نصف بار مرده است، به کدامیک از گزینه های زیر نزدیک تر است؟ در هر دو حالت Ma>2/3Mcr است.

1- 4 میلی متر                     2- 6                            3- 7                           4- 12

حل: با توجه به جدول تغییر شکل بالا، مقدار تغییر شکل اولیه ( آنی ) به صورت زیر محاسبه می شود:

تغییر شکل آنی تیر تکیه گاه ساده دو سر مفصل

بدین ترتیب مقدار تغییر مکان در حالت دوم برابر است با:

محاسبه تغییر مکان تیر دو سر مفصل

با توجه به اینکه Ma>2/3Mcr می باشد داریم:

ممان اینرسی تیر ترک خورده

در حالت دوم پس از اعمال بار زنده گسترده ممان اینرسی برابر است با:

تغییر مکان تیر بتنی

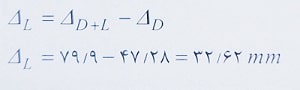
حال برای محاسبه تغییر مکان آنی اشی از بار زنده باید تغییر مکان کل تحت بار مرده و زنده ( حالت دوم) را منهای مقدار تغییر مکان ناشی از بار مرده حال ( حالت اول ) کنیم:

تغییر مکان ناشی از بار مرده و زنده

بنابراین گزینه 2 صحیح است.

مثال: در یک تیر بتن آرمه با تکیه گاه های ساده تغییر شکل آنی ناشی از بار دائمی برابر 5 میلی متر برآورده شده است. تغییر شکل کل تیر ناشی از بار دائمی ( شامل اضافه افتادگی دراز مدت ) براساس روش تقریبی پس از یکسال به کدامیک از مقادیر زیر نزدیکتر است؟ ( نسبت سطح مقطع آرماتور فشاری به سطح موثر در مقطع وسط دهانه برابر 0.005 می باشد می باشد. ) 

1- 8.6 میلی متر                        2- 10.6                                3- 12                              4- 13

حل: مطابق روابط گفته شده داریم:

فرمول تغییر مکان

مطابق جدول ضریب ξ بعد از گذشت 12 ماه ( یکسال ) برابر 1.4 در نظر گرفته می شود.

تغییر شکل دراز مدت

بنابراین گزینه 2 صحیح است.

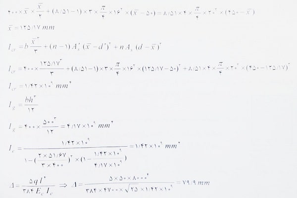
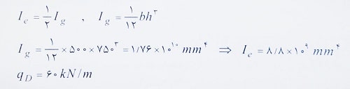
مثال: شکل زیر یک تیر بتن آرمه را با مقطع مستطیلی با طول دهانه 8 متر و با تکیه گاه های ساده نشان می دهد. فرش کنید این تیر تحت بار مرده 30kN/m و زنده 20kN/m قرار گرفته است. در صورتی که نوع بتن معمولی و از رده C25 باشد، به سوالات زیر پاسخ دهید. وزن مخصوص بتن برابر 3200 کیلوگرم بر متر مکعب می باشد.

الف) تغییر مکان اولیه ( کوتاه مدت) تیر را تحت اثر مجموع بارهای مرده و زنده محاسبه کنید.

ب) در صورتی که بار زنده 2 سال پس از اجرای سازه به آن اعمال گردد، با فرض اینکه 25 درصد از این بار به صورت دائمی در نظر گرفته شود، مقدار تغییر شکل کل تیر را پس از گذشت 3 سال از اجرای سازه محاسبه کنید.

مقطع تیر بتنی

حل: محاسبه تغییر مکان اولیه تیر مشابه مثال های قبل و براساس مقادیر لنگر ترک خوردگی و ممان اینرسی موثر تیر به دست می آید.

لنگر ترک خوردگی

به منظور محاسبه Icr با استفاده از روابط مقاومت مصالح داریم:

محاسبه تغییر شکل و خیز تیر

تغییر شکل دراز مدت تیرهای بتنی

ب) روند بارگذاری مطرح شده در این قسمت از سوال بسیار مهم است. در این قسمت عنوان شده که بار مرده بر روی تیر اعمال شده و پس از گذشت 2 سال ( اتمام اجرای سازه)، بار زنده بر روی تیر اعمال می گردد.

حال تغییر شکل کل تیر یک سال بعد از اعمال بار زنده (3سال پس از اجرای سازه) خواسته شده است. در این حالت بار مرده اولیه باعث ایجاد تغییر شکل کوتاه مدت و بلند مدت می گردد و از طرفی بعد از گدشت 2 سال تغییر شکل کوتاه مدتی که در اثر کل بار زنده و همچنین تغییر شکل بلند مدتی در اثر 25 درصد از بار زنده که به صورت دائمی در نظر گرفته شده است، پس از گذشت یک سال در تیر اتفاق می افتد.

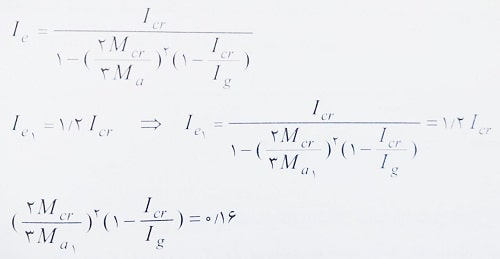
برای این منظور پارامترهای محاسباتی و موثر در تغییر شکل به شرح زیر بدست می آیند.

1- محاسبه تغییر شکل کوتاه مدت تحت اثر بار مرده:

به منظور حل خلاصه تر، از تکرار روابط صرف نظر شده و فقط پاسخ نهایی پارامترها ارائه شده است.

لنگر خمشی تیر بتنی

2- محاسبه تغییر شکل کوتاه مدت تحت اثر بارهای زنده با استفاده از نتیجه بدست آمده از حالت الف:

تغییر مکان بار زنده

3- محاسبه تغییر شکل کوتاه مدت در اثر سهم 25 درصدی بار زنده:

دقت شود در این حالت با توجه به وجود بار مرده باید ابتدا تغییر مکان تحت اثر مجموع بار مرده و 25 درصد بار زنده محاسبه شده و سپس سهم بار مرده از آن کسر گردد.

به یاد داشته باشید به دلیل بروز ترک خوردگی در مقطع نمی توانیم مقدار تغییر مکان تحت اثر بار زنده را مستقیما محاسبه کنید، بلکه همیشه باید مجموع بارهای مرده و زنده محاسبه شده و با کسر سهم بارهای مرده تغییر مکان تحت اثر بار زنده محاسبه گردد.

تغییر مکان بار مرده و زنده

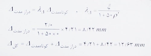
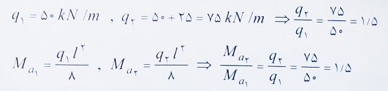
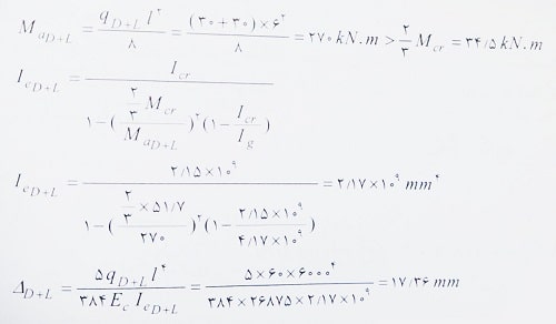
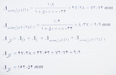
4- برای محاسبه تغییر شکل های دراز مدت باید توجه کرد که ضریب ξ برای بار مرده بعد از سه سال محاسبه شده در حالی که برای مشارکت بار زنده این ضریب پس یکسال محاسبه می شود. در این صورت خواهیم داشت:

درصد فولاد فشاری

مطابق نمودار پس از سه سال ضریب ξ در حدود 1.8 بوده و پس از یکسال ضریب ξ=1.4 می باشد.

تغییر شکل کل تیر

پیج اینستاگرام سیویل 2

محاسبه تغییر شکل دراز مدت در اعضای بتن آرمه – محاسبه تغییر شکل دراز مدت در اعضای بتن آرمه – محاسبه تغییر شکل دراز مدت در اعضای بتن آرمه – محاسبه تغییر شکل دراز مدت در اعضای بتن آرمه – محاسبه تغییر شکل دراز مدت در اعضای بتن آرمه – محاسبه تغییر شکل دراز مدت در اعضای بتن آرمه

0 پاسخ

دیدگاه خود را ثبت کنید

تمایل دارید در گفتگوها شرکت کنید؟
در گفتگو ها شرکت کنید.

دیدگاهتان را بنویسید

نشانی ایمیل شما منتشر نخواهد شد. بخش‌های موردنیاز علامت‌گذاری شده‌اند *