طراحی پیچ ها تحت اثر نیروهای مختلف
طراحی پیچ ها تحت اثر نیروهای مختلف
در این قسمت ابتدا نحوه تعیین مقاومت اتکایی و گسیختگی قالبی اتصالات پیچی را بررسی کرده و سپس رابطه تعیین مقاومت برشی پیچ ها را یاد می گیریم.
در ادامه نیز چگونگی انجام محاسبات اتصالات پیچی تحت اثر بارگذاری های مختلف را برررسی خواهیم کرد.
کنترل مقاومت اتکایی و گسیختگی قالبی
این دو مورد به طور کامل شرح داده شده اند و تست های مرتبط با آنها نیز بررسی شده اند. در اینجا روابط آنها را به طور خلاصه بیان می کنیم.
کنترل مقاومت اتکایی در جدار سوراخ پیچ
براساس روش حدی، کنترل مقاومت اتکایی در جدار سوراخ پیچ ها از رابطه زیر می باشد:
در این رابطه Rn مقاومت اتکایی اسمی در جدار سوراخ پیچ می باشد که در حالت های زیر تعیین می شود؛
الف) سوراخ استاندارد، سوراخ بزرگ شده، سوراخ لوبیایی کوتاه و سوراخ لوبیایی بلند در امتداد نیرو (یعنی در حالتی که نیرو در امتداد طول سوراخ لوبیایی باشد)
ب) سوراخ لوبیایی بلند در امتداد عمود بر نیرو (یعنی در حالتی که شکاف عمود بر امتداد نیرو باشد):
d: قطر اسمی پیچ
Lc: فاصله خالص بین لبه سوراخ ها یا بین لبه سوراخ تا لبه آزاد قطعه است که در امتداد نیرو اندازه گیری می شود.
در شکل زیر مقابل مقدار Lc1 برای کنترل لهیدگی در محل ردیف 1 و مقدار Lc2 برای کنترل لهیدگی در محل ردیف 2 استفاده می شود.
توجه: برای محاسبه Lc از قطر اسمی سوراخ پیچ استفاده می شود.
کنترل گسیختگی قالبی
در روش حالت حدی، ظرفیت ورق در گسیختگی قالبی از رابطه زیر تعیین می شود.
در این رابطه Rn مقاومت اسمی در گسیختگی قالبی است که در برابر کوچکترین مقدار از روابط زیر می باشد:
1- معیار تسلیم برشی – گسیختگی کششی
2- معیار گسیختگی برشی – گسیختگی کششی
Agv: سطح مقطع کل برشی
Ant: سطح مقطع خالص کششی
Anv: سطح مقطع خالص برشی
Fy و Fu: تنش تسلیم و تنش نهایی فولاد ورق
Ubs: ضریب توزیع تنش که برای توزیع تنش کششی یکنواخت برابر 1 و برای توزیع تنش غیر یکنواخت برابر 0.5 در نظر گرفته می شود.
مثال: مقاومت برشی قالبی طراحی بر حسب کیلونیوتن در محل اتصال تیر شکل زیر در مسیر نشان داده شده با خط چین به کدامیک از مقادیر زیر نزدیکتر است؟ (فولاد از نوع ST37، قطر محاسباتی سوراخ ها 20 میلی متر و ضخامت جان مقطع نورد شده 7.5 میلی متر می باشد. ابعاد روی شکل به میلی متر می باشد.)
1- 580 2- 430 3- 400 4- 300
حل: برای پاسخ به این تست، پارامترهای مورد نیاز را به ترتیب محاسبه می کنیم:
بنابراین گزینه 4 صحیح است.
مقاومت برشی پیچ ها
با توجه به شکل زیر هنگامی که ورق های اتصال تحت کشش قرار می گیرند، تنش برشی در مقطع پیچ ها ایجاد می شود.
در این حالت با فرض سطح مقطع یکسان برای پیچ ها و توزیع یکنواخت تنش برشی، خواهیم داشت:
n: تعداد پیچ ها
براساس روش حدی، کنترل مقاومت برشی یک پیچ از رابطه زیر می باشد:
Fnv: تنش برشی اسمی پیچ براساس جدول قبلی
Anb: سطح مقطع هر پیچ
توجه: تنش نهایی پیچ Fu برای پیچ های معمولی A307 برابر 4000kg/cm2 ( یعنی 400MPa) و برای پیچ پرمقاومت A325 با قطر کوچکتر یا مساوی 24 میلی متر برابر 8000kg/cm2 و با قطر بزرگتر از 24 میلی متر مساوی 7250kg/cm2 و برای پیچ پر مقاومت A490 برابر 10000kg/cm2 می باشد.
مثال: یک اتصال پیچی به شکل نشان داده شده تحت نیروی نهایی 56 تن قرار دارد. اگر اتصال از نوع اتکایی، پیچ مصرفی از نوع A325 یا 8.8 و سطح برش از قسمت دندانه شده پیچ عبور کند، حداقل نمره پیچ ها به کدامیک از مقادیر زیر نزدیکتر است؟ (فرض کنید تعداد پیچ های مصرفی کلا سه عدد می باشد)
1- 2M20
2- 3M24
3- 3M22
4- 3M27
حل:
در صورت سوال مشخصات فولاد ورق ذکر نشده، بنابراین به کنترل مقاومت برشی در پیچ ها می پردازیم:
برای استفاده از روش حدی، باید مقاومت برشی طرح اتصال بزرگتر از نیروی وارد بر آن باشد.
طبق جدول، مقدار تنش برشی اسمی برای اتصال اتکایی و پیچ پر مقاومت که صفحه برش از قسمت دندانه شده عبور می کند، برابر 0.45Fu می باشد. همچنین برای تعیین مقدار Fu، ابتدا فرض می کنیم که قطر پیچ کمتر از 24 میلی متر باشد و داریم:
بنابراین فرض اولیه درست می باشد و قطر مورد نیاز برابر 22 میلی متر بدست می آید و گزینه 3 صحیح است.
اتصالات پیچی تحت اثر لنگر پیچشی خالص
شکل زیر را در نظر بگیرید که در آن یک اتصال پیچی فرضی با آرایش غیر یکنواخت پیچ ها نشان داده شده است.
در این اتصال، مرکز هندسی مجموعه پیچ ها در نقطه ای به نام CG قرار دارد. با توجه به اینکه خط اثر نیروی اعمالی P از مرکز هندسی پیچ ها عبور نمی کند، اتصال پیچی علاوه بر اینکه تحت اثر نیروی برشی P قرار دارد، تحت اثر لنگر پیچشی Pe نیز قرار می گیرد.
تحلیل چنین اتصالاتی، یکی از موضوعات جالب در طرح اتصالات است که در این بخش می خواهیم تنها بحث لنگر پیچشی را در آنها بررسی کرده و در بخش بعدی اثر همزمان برش و پیچش را در نظر بگیریم.
برای این منظور شکل زیر را در نظر بگیرید که مجموعه پیچ ها تحت اثر لنگر پیچشی خالص قرار دارند.
همانطور که گفتیم، لنگر پیچشی در پیچ ها تنش برشی ایجاد می کند که این تنش با فاصله پیچ از مرکز سطح پیچ ها متناسب می باشد.
تذکر: جهت تنش برشی ایجاد شده وابسته به جهت کوپل پیچشی (T) و در راستای عمود بر خط واصل از مرکز سطح پیچ به پیچ مورد نظر می باشد.
برای استفاده از روش حدی، باید نیروی برش نهایی وارد بر هر پیچ محاسبه شده و با مقاومت برشی طرح پیچ مقایسه شود. برای این منظور باید مراحل زیر انجام گیرد:
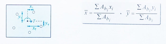
مرحله اول: تعیین مرکز سطح پیچ ها
به منظور تعیین مرکز سطح پیچ ها، یک نقطه فرضی به عنوان مبدا مختصات در صفحه پیچ ها در نظر گرفته می شود و فاصله مرکز سطح پیچ ها (xو y) نسبت به این نقطه فرضی تعیین می شود:
Xi: فاصله پیچ i اُم از نقطه فرضی در راستای محور X
yi: فاصله پیچ i اُم از نقطه فرضی در راستای محور y
مرحله دوم: تعیین ممان اینرسی پیچشی (قطبی) برای پیچ ها
Xi: فاصله پیچ i اُم از مرکز سطح پیچ ها در راستای محور X
yi: فاصله پیچ i اُم از مرکز سطح پیچ ها در راستای محور y
اگر پیچ ها در یک مسیر دایروی قرار بگیرند، برای محاسبه J از رابطه زیر استفاده می شود:
مرحله سوم: محاسبه نیروهای نهایی ایجاد شده در هر پیچ
Tu: لنگر پیچشی نهایی وارد بر اتصال
در صورتی که Ab برای همه پیچ ها یکسان باشد داریم:
مرحله چهارم: محاسبه نیروی نهایی وارد بر پیچ از طریق جمع برداری
تذکر: واضح است که محاسبات باید برای پیچی که برآیند نیروی برشی وارد بر آن ماکزیمم است انجام شود به این پیچ اصطلاحا پیچ بحرانی گفته می شود.
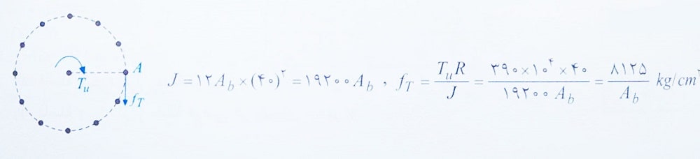
مثال: اتصال ساعتی اتکایی نشان داده شده در شکل، تحت اثر لنگر پیچش نهایی 390 کیلونیوتن متر قرار گرفته است. پیچ ها از نوع A490 و تعداد آنها 12 عدد و سطح برش از قسمت دندانه شده می گذرد. براساس کنترل حالات حدی در پیچ ها، حداقل نمره پیچ ها چقدر است؟
1- M16
2- M18
3- M20
4- M22
حل: لنگر پیچشی Tu در این اتصال تنش های برشی مطابق شکل زیر ایجاد می کنند. دقت شود که در این سوال چون قصد تعیین نمره پیچ را داریم، تنش ایجاد شده در آنها را محاسبه کرده و با تنش طراحی آنها مقایسه می کنیم.
پیچ ها از نوع A490 و مقدار تنش گسیختگی آنها برابر Fu=10000 kg/cm2 می باشد. همچنین تنش برش اسمی برای اتصال پیچی پر مقاومت اتکایی در حالتی که سطح برش از قسمت دندانه شده می گذرد، از جدول برابر 0.45Fu می باشد. بنابراین داریم:
بنابراین گزینه 2 صحیح است.
طراحی اتصالات پیچی تحت اثر توام نیروی برشی و لنگر پیچشی
طراحی اتصالات شکل مقابل را در نظر بگیرید. با انتقال نیروی P به مرکز سطح پیچ ها، مشاهده می شود که گروه پیچ ها تحت اثر توام نیروی برشی P و لنگر پیچشی T قرار می گیرند.
برای استفاده از روش حدی، مشابه حالتی که پیچ خالص داریم، ابتدا نیروی وارد بر پیچ بحرانی تعیین شده و سپس با مقاومت برشی طرح پیچ مقایسه می شود.
Pu: نیروی برشی نهایی وارد بر اتصال n: تعداد پیچ ها
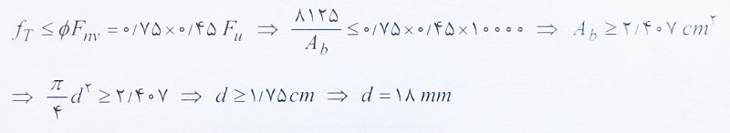
مثال: در اتصال پیچی نشان داده شده که به صورت اتکایی می باشد. حداکثر مقدار Pu تقریبا چند کیلونیوتن می تواند باشد؟ (صفحه برش از قسمت دندانه شده عبور می کند، پیچ ها از نوع A325 به قطر 16 میلی متر)
1- 28 2- 32 3- 36 4- 40
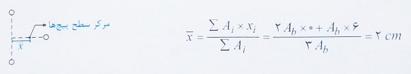
حل: سطح مقطع هر پیچ را Ab نامیده و در ابتدا مختصات مرکز سطح پیچ ها را بدست می آوریم:
حال می توان لنگر پیچشی وارد بر اتصال را به دلیل خروج از مرکزیت نیروی Pu تعیین نمود.
برای تحلیل پیچ ها تحت لنگر پیچشی، باید مقدار J برای مجموعه پیچ ها محاسبه شود که داریم:
حال مقدار نیروی ایجاد شده در پیچ های اتصال را بدست می آوریم که برآیند نیروی ناشی از برش Pu و پیچش 19Pu می باشد.
پس مشخص می شود که نیروی وارد بر پیچ سمت راست، بیشتر از نیروی وارد بر پیچ های بالا و پایین بوده و پیچ سمت راست بحرانی تر می باشد.
مطابق جدول قبل، در اتصال اتکایی با پیچ پر مقاومت که صفحه برش از قسمت دندانه شده عبور می کند Fnv=0.45Fu می باشد. بنابراین داریم:
بنابراین گزینه 2 صحیح است.
مثال: اتصال پیچی زیر تحت اثر نیروی برشی نهایی قائم P=22.5ton و لنگر پیچشی M=13.5ton.m می باشد. اتصال از نوع اتکایی است و با پنج پیچ با فواصل منظم در محیط دایره ای به قطر 60 سانتی متر ساخته شده است. قطر پیچ ها 20 میلی متر است. نیروی برشی نهایی وارد بر پیچ A (راس اتصال) چقدر است؟
1- 9550 2- 19100 3- 10062 4- 12865
حل: برای حل این تست با توجه به دو شکل زیر که تاثیر نیروی برشی P و لنگر پیچشی M را روی پیچ A نشان می دهد داریم:
بنابراین گزینه 3 صحیح است.
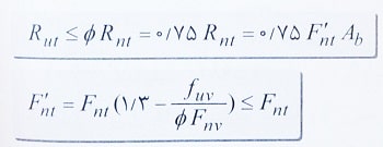
طراحی اتصالات پیچی تحت اثر نیروی کششی خالص
با توجه به شکل زیر نیروی P به مرکز سطح پیچ ها اعمال شده و باعث ایجاد نیروهای یکسان کششی عمود بر مقطع پیچ ها می گردد.
در طراحی به روش حدی، مقاومت کششی طرح یک پیچ از رابطه زیر تعیین می شود:
Fnt: تنش کششی اسمی پیچ براساس جدول
مثال: در شکل زیر اتصال یک ستون فلزی به کف ستون و شالوده را مشاهده می کنید که توسط هشت میگلرد دندانه شده انجام شده است. اگر نیروی Pu=310kN وارد بر ستون به صورت کششی و بدون خروج از مرکزیت باشد، قطر مناسب هر یک از میلگردهای مورد استفاده چقدر باید باشد؟ (میلگردهای تنش تسلیم 340MPa و تنش نهایی 500MPa هستند)
1- 10 2- 12 3- 14 4- 16
حل: از آنجا که نیروی ستون به صورت کششی و بدون خروج از مرکزیت بوده و آرایش میلگردهای نیز متقارن است به همه میلگردها نیروی یکسانی وارد می شود. از طرفی مقاومت کششی هر یک از میلگردهای (قطعه دندانه شده عبارت است از:
حال با توجه به هشت پیچ در برابر نیروی Pu مقاومت می کنند داریم:
بنابراین باید از میلگردهایی با قطر 14 میلی متر استفاده شود و گزینه 3 صحیح است.
طراحی اتصالات پیچی تحت اثر توام نیروی کششی و نیروی برشی
اتصال شکل زیر تحت اثر مشترک برش Py و کشش Px قرار گرفته است. در این حالت نیروی کششی Px باعث ایجاد کشش عمود بر صفحه پیچ ها شده، در حالی که نیروی برشی Py باعث ایجاد برش در صفحه پیچ ها می شود.
برای کنترل اتصالات پیچی که تحت اثر توام نیروی کششی و برشی قرار دارند، با توجه به شکل بالا مراحل زیر باید انجام شود:
مرحله اول: تعیین نیروی کششی نهایی و نیروی برشی نهایی در هر پیچ
Pux و Puy: مولفه های نیروی نهایی Pu وارد بر اتصال
مرحله دوم: کنترل نیروی برشی نهایی هر پیچ با مقاومت برشی طرح پیچ
مرحله سوم: کنترل نیروی کششی نهایی هر پیچ با مقاومت کششی طرح پیچ
پارامترهای به کار رفته در مراحل دوم و سوم به صورت زیر تعریف می شوند:
Φ: ضریب کاهش مفاومت و مساوی 0.75
Fnv: مقاومت برشی اسمی وقتی که نیروی برشی به تنهایی اثر می کند.
Fnt: مقاومت کششی اسمی وقتی که نیروی کششی به تنهایی اثر می کند.
fut: تنش کششی وارد بر هر پیچ ناشی از بارهای نهایی
fuv: تنش برشی وارد بر هر پیچ ناشی از بارهای نهایی
در مواردی که تنش کششی یا برشی مورد نیاز کمتر از 30 درصد تنش طراحی متناظر باشد، منظور کردن رابطه اندرکنش لازم نیست و می توان کشش و برش را به طور مجزا در نظر گرفت.
مثال: چنانچه در یک اتصال پیچی از نوع اتکایی، تنش برشی ناشی از بارهای ضریب دار 40 درصد تنش برشی اسمی پیچ باشد، در طراحی به روش ضرایب بار و مقاومت، حداکثر تنش کششی اسمی پیچ حدودا چقدر می تواند باشد؟ فرض کنید پیچ ها از نوع پر مقاومت با تنش کششی نهایی Fu و تنش تسلیم Fy باشد و سطح برش از قسمت دندانه شده می گذرد.
1- 0.75Fu
2- 0.6Fu
3- 0.7Fu
4- 0.78Fu
حل:
در این سوال اثر مشترک کشش و برش در اتصال اتکایی مطرح بوده و حداکثر تنش کششی اسمی پیچ خواسته شده است، لذا داریم:
تنش برشی موجود مطابق صورت تست برابر 0.4Fnv است:
بنابراین F’nt=0.6Fu است و گزینه 2 صحیح است.
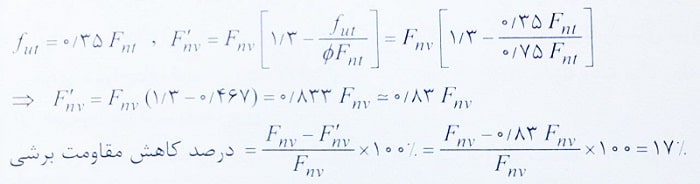
مثال: چنانچه در یک اتصال پیچی از نوع اتکایی تحت اثر مشترک کشش و برش، تنش کششی مورد نیاز یک پیچ برابر 0.35 مقاومت کششی اسمی آن پیچ (وقتی که نیروی کششی به تنهایی عمل کند) باشد، مقاومت برشی اسمی پیچ چند درصد نسبت به حالتی که نیروی برشی به تنهایی بر روی پیچ عمل می کند کاهش می یابد؟
1- 95 2- 83 3- 17 4- 5
حل: با توجه به رابطه گفته شده که مربوط به اثر مشترک کشش و برش در اتصالات اتکایی است داریم:
بنابراین گزینه 3 صحیح است.
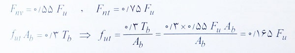
مثال: در یک اتصال پیچی اتکایی، پیچ ها از نوع A490 و قطر آنها 30 میلی متر است. چنانچه در طراحی به روش حدی نیروی کششی اعمالی به پیچ 30درصد حداقل نیروی پیش تنیدگی آن باشد و صفحه برش از قسمت دندانه شده پیچ عبور نکند، مقاومت برشی طرح پیچ به کدامیک از مقادیر زیر بر حسب کیلونیوتن نزدیکتر است؟
1- 230 2- 132 3- 290 4- 106
حل: مقاومت برشی طرح پیچ براساس رابطه زیر تعیین می شود:
با محاسبه پارامترهای Fnv و Fnt و fut می توان مقاومت برشی طرح پیچ را به صورت زیر محاسبه کرد:
تذکر: برای محاسبه پارامتر Tb از رابطه 0.55fuAb استفاده شده است که مقداری نسبتا دقیق می باشد.
بنابراین گزینه 3 صحیح است.
ضوابط طراحی اتصالات اصطکاکی
مقاومت کششی طراحی پیچ های پر مقاومت در اتصالات اصطکاکی عینا مشابه مقاومت کششی طراحی پیچ های پر مقاومت در اتصالات اتکایی بوده و از ضوابط گفته شده تعیین می شود.
مقاومت برشی طراحی پیچ های پرمقاومت در اتصالات اصطکاکی براساس کنترل لغزش بحرانی تعیین می گردد و مساوی ΦRnv می باشد که در آن، Φ ضریب کاهش مقاومت و Rnv مقاومت برشی اسمی به شرح زیر می باشد:
که در آن:
Φ: ضریب کاهش مقاومت به شرح زیر:
برای سوراخ های استاندارد و سوراخ لوبیایی کوتاه در امتداد عمود بر راستای نیروی برابر 1
برای سوراخ های بزرگ شده و سوراخ لوبیایی کوتاه در امتداد موازی با راستای نیروی برابر 0.85
برای سوراخ های لوبیایی بلند برابر 0.7
μ: ضریب اصطکاک به شرح زیر:
برای وضعیت سطحی کلاس A (سطح فلس دار تمیز و رنگ نشده) برابر 0.3
برای وضعیت سطحی کلاس B (سطح تمیز شده با ماسه پاشی و زنگ نشده برابر 0.5
Du: نسبت پیش تنیدگی متوسط پیچ ها به پیش تنیدگی حداقل پیچ ها و مساوی 1.13
hf: ضریب کاهش به خاطر وجود ورق های پر کننده در بین قطعات متصل کننده به یکدیگر به شرح زیر است:
در صورت عدم نیاز به ورق های پر کننده در بین قطعات متصل به یکدیگر مساوی 1
در صورت استفاده از دو یا تعداد بیشتری از ورق های پر کننده مساوی 0.85
Tb: حداقل نیروی پیش تنیدگی پیچ با توجه به موارد گفته شده
ns: تعداد صفحه لغزش
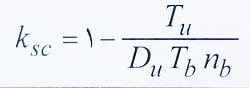
اثر مشترک کشش و برش در اتصالات اصطکاکی
در اتصالات اصطکاکی، در صورت وجود توام نیروی کششی و برشی، مقاومت برشی اسمی براساس کنترل لغزش باید به شرح زیر در ضریب کاهش ksc ضرب گردد.
که در آن:
Tu: نیروی کششی نهایی وارد بر مجموعه پیچ ها
Du: نسبت پیش تنیدگی متوسط پیچ ها به پیش تنیدگی حداقل پیچ ها و مساوی 1.13
Tb: حداقل نیروی پیش تنیدگی پیچ با توجه به توضیحات گفته شده
ns: تعداد پیچ هایی که نیروی کششی را تحمل می کنند.
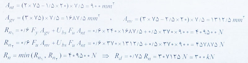
مثال: در اتصال پیچی اصطکاکی نشان داده شده در شکل، مقدار ظرفیت برشی طراحی به کدامیک از مقادیر زیر نزدیکتر است؟ (فولاد از نوع ST37 و Fy=240MPa و Fu=370MPa) همچنین پیچ ها M20 و از نوع A325 و سوراخ ها استاندارد می باشد و فواصل سوراخ ها از لبه ها به درستی تنظیم شده است. وضعیت سطحی اتصال، کلاس A فرض شود.
1- 48 کیلونیوتن 2- 96 3- 33 4- 66
حل: در اتصالات اصطکامی مقاومت برشی طراحی به صورت زیر بدست می آید:
حال با توجه به مقدار پارامترهای داده شده در این سوال داریم:
پارامتر Tb برابر حداقل نیروی پیش تنیدگی پیچ است که می تواند به یکی از دو حالت زیر بدست آید که تقریبا مشابه هم می باشند:
با توجه به شکل اتصال تنها یک صفحه برش برای پیچ ها وجود دارد (ns=1) و داریم:
توجه: Rnv بدست آمده مربوط به مقاومت یک پیچ می باشد. با توجه به اینکه در اتصال از دو پیچ استفاده شده است، باید مقدار بدست آمده 2 برابر شود. همچنین دقت کنید که برای سوراخ های استاندارد Φ=1 است، بنابراین گزینه 4 صحیح است.
مثال: برای انتقال فقط برش از یک قطعه به قطعه دیگر، یک اتصال پیچ و مهره ای اصطکاکی تهیه شده است. اگر در عمل پیچ ها پیش تنیده نشده و به صورت اتکایی عمل کنند، کدامیک از گزینه های زیر را می توان با اطمینان کامل صحیح دانست؟ (قطر سوراخ استاندارد، وضعیت سطحی کلاس A و اتصال بدون ورق پر کننده می باشد. همچنین فرض کنید استفاده از اتصال اتکایی در این اتصال مجاز می باشد؟
1- مقاومت اتکایی در جدار سوراخ کاهش خواهد یافت.
2- همواره مقاومت اتصال افزایش خواهد یافت.
3- مقدار اتصال کاهش نخواهد یافت.
4- مقاومت برش قالبی کاهش خواهد یافت.
حل: برای پاسخ به این سوال، ابتدا به موارد زیر توجه کنید:
براساس موارد گفته شده در بالا، مقاومت اتکایی در جدار سوراخ پیچ برای اتصالات اتکایی و اصطکاکی برابر می باشد.
مقاومت برش قالبی براساس موارد گفته شده بالا بدست می آید. براساس این رابطه، نوع اتصال اعم از اتکایی یا اصطکاکی تاثیری در مقاومت برش قالبی ندارد.
مطابق توضیحات، تفاوت اتصال اتکایی با اتصال اصطکاکی این است که در اتصال اصطکاکی، بین صفحات متصل شونده نیروی اصطکاک ایجاد شده و به همین دلیل اتصال در برابر لغزش مقاومت می شود.
با توجه به موارد ذکر شده می توان گفت که اگر در یک اتصال اصطکاکی پیچ ها پیش تنیده نشده باشند، داریم:
مقاومت اتکایی اتصال تفاوتی نمی کند (گزینه 1 نادرست است)
مقاوت برشی قالبی برای اتصال تفاوتی نمی کند (گزینه 4 نادرست است)
اصطکاک بین صفحات ایجاد نشده و لذا اتصال، مقاومتی در برابر لغزش نخواهد داشت.
در انتخاب بین گزینه های 2 و 3 باید گفت که مقاومت های اتکایی و برش قالبی تغییری نکرده و تنها مقاومت اصکاکی صفر شده است.
بنابراین افزایشی در مقاومت اتصال رخ نداده و قطعا گزینه 2 نادرست است.
از طرفی اگر منظور طراح از گزینه 3 این است که اتصال همچنان قابل قبول می باشد، با توجه به اینکه در صورت تست عنوان شده که استفاده از اتصال اتکایی مجاز است، می توان گفت که این اتصال از نظر آیین نامه کماکان قابل قبول بوده و لذا گزینه 3 درست می باشد.
بنابراین گزینه 3 صحیح است.
دیدگاه خود را ثبت کنید
تمایل دارید در گفتگوها شرکت کنید؟در گفتگو ها شرکت کنید.