طراحی شالوده های عمیق
طراحی شالوده های عمیق
فرض کنید می خواهیم فونداسیون یک ساختمان را از نوع عمیق طراحی کنیم، چه گام هایی را به منظور طراحی این فونداسیون در نظر می گیریم؟
برای پاسخ به این سوال باید به این نکته توجه نمایید که همانگونه که در فونداسیون های سطحی، ابعاد فونداسیون تحت اثر مستقیم مشخصات ژئوتکنیکی خاک بدست می آید، در این حالت نیر تعداد و موقعیت شمع ها باید براساس نیروهای وارده و ظرفیت باربری آنها براساس داده های گزارش مکانیک خاک محاسبه گردد.
پس از این مرحله طراحی سازه ای شمع، یعنی آنچه در محدوده ضوابط مبحث نهم مقررات ملی ساختمان مورد نظر است، مطابق آنچه در این قسمت می خوانیم باید در نظر گرفته شود.
طراحی شمع براساس شرایط محصور شدگی جانبی و همچنین نیروهای وارده به دو روش انجام می شود. روش اول که با نام مقاومت مجاز شناخته می شود، مربوط به زمانی است که شمع دارای مهار جانبی کافی در طول بوده و نیروهای وارد بر آن عمدتا نیروهای محوری هستند.
در حالیکه در روش دوم طراحی براساس طرح مقاومت انجام شده و در واقع طراحی شمع مطابق ستون ها انجام می شود.
طراحی شمع به روش مقاومت مجاز
در این روش نیروی محوری شمع پس از تحلیل سازه با استفاده از ترکیبات بارگذاری روش تنش مجاز محاسبه شده و با مقدار مقاومت مجاز شمع که براساس مصالح مصرفی و هندسه شمع بدست می آید، کنترل می شود.
نکته بسیار مهم این است که این روش هنگامی مجاز است که دو شرط زیر برقرار می باشند:
1- شمع ها در تمام طول دارای مهار جانبی باشند.
2- لنگرهای ایجاد شده در شمع ها ناشی از نیروهای وارده کمتر از لنگر ناشی از برون محوری اتفاقی به میزان 5 درصد قطر با عرض شمع باشد.
دید مهندسی
به طور کلی مهار جانبی شمع ها از طریق وجود خاک در اطراف شمع تامین می شود. بنابراین اگر خام متراکم در اطراف شمع وجود داشته باشد، می توان اطمینان داشت که شمع ها در اثر نیروهای فشاری وارده دچار کمانش نمی گردد.
لازم به ذکر است در طول های فوقانی شمع ( معمولا در حدود 3 الی 4 متر ) به دلیل خاکبرداری سر شمع و احتمال وجود خاک سست یا خاک دستی، در طراحی شمع این نواحی معمولا در جهت محافظه کارانه بدون مهار جانبی در نظر گرفته می شوند.
در پاسخ به سوالات آزمون نظام مهندسی کافی است شرایط مهار جانبی فقط مطابق اطلاعات ارائه شده در سوال کنترل گردد و معمولا نیازی به در نظر گرفتن فرضیات خاص نمی باشد.
در این حالت شمع عمدتا تحت نیروی محوری بوده و میزان لنگر خمشی ناچیز می باشد. در واقع می توان نوشت:
Mu≤0.05PuD
در این صورت می توان از اثر لنگر خمشی صرف نظر کرد.
در صورتی که هر دو شرط 1 و 2 برقرار باشند، طراحی شمع ها فقط تحت اثر نیروی محوری انجام شده، به همین علت کافی است نیروهای محوری شمع با مقاومت مجاز شمع کنترل گردد. برای محاسبه مقاومت مجاز فشاری شمع ها، با توجه به نوع شمع، مطابق موارد زیر عمل می شود:
شمع درجا ریز بدون غلاف
این شمع ها، شمع های بتن آرمه ای هستند که به منظور اجرای آنها ابتدا محل مورد نظر حفاری شده، سپس با استفاده از غلاف در ناحیه فوقانی شمع، عملیات آرماتورگذاری سپس بتن ریزی انجام شده و نهایتا غلاف برداشته می شود. در این نوع شمع ها مقدار حداکثر مقاومت مجاز شمع با استفاده از رابطه زیر بدست می آید:
Pa=0.3f’cAg +0.4fyAs
Pa: حداکثر مقاومت فشاری مجاز شمع، نیوتن
Ag: سطح مقطع ناخالص شمع، میلی متر مربع
As: مساحت کل آرماتورهای طولی به کار رفته در مقطع شمع، میلی متر مربع
شمع درجا ریز با غلاف فولادی نازک محصور شده
در این روش ابتدا یک لوله فولادی در محل مورد نظر کوبیده می شود، سپس مصالح از درون لوله تخلیه شده و عملیات آرماتورگذاری و بتن ریزی انجام می شود.
باید توجه کرد که به منظور آنکه غلاف یا لوله فلزی، امکان محصوریت را برای شمع بتنی ایجاد نماید لازم است شرایط زیر فراهم باشد:
1- در طراحی از مقاومت محوری غلاف صرف نظر شده باشد.
2- غلاف دارای نوک آب بند باشد و به روش مندرل حفاری شده باشد.
3- حداقل ضخامت غلاف فولادی برابر 2 میلی متر باشد.
4- غلاف بدون درز و وصله باشد یا وصله ها حداقل مقاومتی معادل مقاومت مصالح پایه غلاف داشته باشد و شکل آنها به گونه ای باشد که شرایط محصور شدگی را برای بتن درجا ریز فراهم نماید.
5- نسبت مقاومت مشخصه تسلیم فولاد به مقاومت مشخصه فشاری بتن حداقل 6 باشد و مقاومت مشخصه تسلیم فولاد از 210 مگاپاسکال کمتر نباشد.
6- قطر اسمی حداکثر شمع برابر 400 میلی متر باشد.
در این حالت مقاومت مجاز فشاری شمع مطابق رابطه زیر بدست می آید:
Pa=0.4f’cAg
شمع درجا ریز با غلاف فولادی غیر محصور شده
به طور کلی این نوع شمع مشابه حالت قبل بوده ولی تفاوت آن در این است که شرایط گفته شده در خصوص محصور شدگی در این حالت رعایت نشده است، در این صورت مقاومت مجاز فشاری شمع برابر است با:
![]()
شمع پیش ساخته
شمع های پیش ساخته در طول و قطر های مختلف و مشخص ساخته شده و پس از انتقال به محل مورد نظر به صورت کوبشی نصب می شوند. مقاومت فشاری مجاز این شمع ها مطابق رابطه بالا و به صورت زیر است:
![]()
طراحی شمع به روش طرح مقاومت
چنانچه دو شرط گفته شده برقرار نباشد، طراحی شمع ها به روش طرح مقاومت انجام می شوند.
روش طرح مقاومت روش کلی طراحی شمع بوده و تمام شمع ها را می توان به این روش طراحی نمود. اساس این روش بر مبنای برقراری نامساوی U≤ΦSn می باشد که در آن U مقاومت مورد نیاز تحت اثر بارهای ضریبدار، Sn مقاومت اسمی و Φ ضریب کاهش مقاومت می باشد..
در واقع این روش همان روشی است که تاکنون برای طراحی اجزای بتن آرمه تحت اثر بارهای مختلف شرح داده شد.
در روش طراحی مقاومت، در واقع شمع مشابه ستون طراحی می شود. در این صورت روش طراحی مطابق ستون ها در مورد شمع ها نیز به کار می رود. در این حالت مقاومت شمع ها به صورت جدول زیر در نظر گرفته می شود.

تذکر: در شمع های درجا ریز ضریب 0.55 مربوط به نیروی محوری فشاری، در شرایط خاک مناسب و کیفیت اجرای بالا بدست آمده است و در شرایط متفاوت مانند وجود خاک نامناسب و کیفیت اجرای پایین شمع می تواند به اعداد کمتری تغییر یابد.
در خصوص طراحی شمع های درجا ریز و پیش ساخته لازم است نکات تکمیلی زیر در نظر گرفته شوند.
شمع درجا ریز
1- در صورتی که شمع های درجا ریز تحت نیروی محوری کششی قرار بگیرند و یا مقدار لنگر خمشی نهایی ضریبدار در آنها بیشتر از 40 درصد لنگر خمشی ترک خوردگی باشد ( Mu>0.4Mcr ) لازم است در آنها از میلگردهای طولی استفاده شود و یا توسط یک لوله فولادی محاط گردند.
2- در شمع هایی که تحت اثر هوا، آب و یا خاک های سست و دستی قرار دارند و به همین دلیل در این نواحی از شمع احتمال کمانش وجود داشته باشد، لازم است ضوابط طراحی ستون ها رعایت گردد.
شمع های پیش ساخته
در سازه های با شکل پذیری کم، ضوابط زیر باید در خصوص شمع های پیش ساخته رعایت گردد.
1- تعداد حداقل میلگردهای طولی 4 عدد بوده و آرایش آنها باید به صورت متقارن در نظر گرفته شود. حداقل نسبت مساحت میلگردهای طولی برابر 0.008 مساحت کل مقطع می باشد.

2- میلگردهای طولی باید توسط میلگردهای عرضی محصور گردند. در این خصوص فواصل حداکثر میلگردهای فرضی باید مطابق شکل زیر در نظر گرفته شود:
S
S1: فاصله پنج میلگرد عرضی اول S1≤25 mm
S2: فاصله میلگردهای عرض تا 600 میلی متر از هر دو انتهای شمع، S2≤100 mm
S3: فاصله میلگردهای عرضی در بقیه طول شمع، S3≤150 mm
حداقل قطر میلگردهای عرضی باید برابر 10 میلی متر در نظر گرفته شود.
ضوابط طراحی سر شمع ها
به طور کلی سر شمع ها مطابق دال ها تحت اثر برش و خمش انجام می شود. ضخامت سر شمع باید به نحوی انتخاب شود که حداقل مقدار عمق موثر میلگردهای تحتانی سر شمع برابر 300 میلی متر باشد.
با توجه به پوشش بتن 75 میلی متری و قطر میلگردهای مصرفی، در این صورت می توان گفت مقدار حداقل ضخامت سر شمع باید برابر 400 میلی متر باشد.
لازم به ذکر است در طراحی سر شمع ها نیز مانند آنچه در فصل دال ها خواندیم، مقاومت برشی به صورت یک طرفه و دو طرفه باید بررسی گردد.
در صورتی که روش طراحی سر شمع مطابق دال ها ( با روشی غیر از روش خرپایی ) انجام می شود، ضخامت سر شمع باید به نحوی باشد که برش یک طرفه و دو طرفه در مقاطع بحرانی رعایت شده باشد.
دقت شود محاسبه سرشمع در برابر برش دقیقا مشابه فونداسیون ها بوده که در بخش قبل به طور مفصل به آن پرداختیم.
مقادیر لنگر خمشی و برش ضریبدار سر شمع را می توان براساس عکس العمل های شمع ها به صورت متمرکز در مرکز مقطع آنها محاسبه نمود.
برش ضریبدار در مقاطع بحرانی سر شمع هنگامی که بر مبنای عکس العمل شمع ها تعیین می گردد، مطابق موارد زیر محاسبه می شود:
1- عکس العمل همه شمع هایی که مرکز آنها در فاصله ای برابر نصف قطر شمع یا بیشتر در خارج از مقطع مورد بررسی قرار می گیرند، به عنوان نیروهای موثر ایجاد کننده برش در نظر گرفته می شوند.
2- عکس العمل شمع هایی که مرکز آنها در فاصله ای برابر نصف قطر شمع یا بیشتر در داخل مقطع مورد بررسی قرار می گیرند، به عنوان عوامل موثر ایجاد کننده برش لحاظ نمی شوند.
3- در صورتی که موقعیت شمع ها بین دو حالت بالا باشد، می توان از درونیابی خطی مقدار نیرو در فاصله نصف قطر شمع خارج از مقطع مورد بررسی و مقدار صفر در فاصله نصف قطر شمع در داخل مقطع مورد بررسی استفاده نمود.
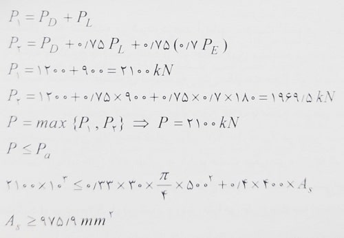
مثال: یک شمع بدون غلاف درجا ریز به قطر 800 میلی متر که دارای سر شمعی به ابعاد 2×2 m و با ضخامت 1000 میلی متر را در نظر بگیرید. در صورتی که مقدار نیروهای فشاری وارد بر شمع تحت بارگذاری مرده و زنده به ترتیب 3400 و 2000 کیلونیوتن باشد، به هریک از سوالات زیر پاسخ دهید. خاک اطراف شمع متراکم می باشد. بتن مصرفی از رده C30 و فولادها S400 می باشد.
الف) با استفاده از روش مقاومت مجاز، مقدار حداقل مساحت آرماتورهای مورد نیاز شمع را بدست آورید.
ب) در صورتی که در طراحی شمع از روش طرح مقاومت استفاده گردد، مقدار حداقل مساحت آرماتورهای شمع را محاسبه کنید.
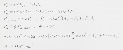
حل: الف) با فرض اینکه خاک اطراف شمع متراکم بوده و لنگر خمشی نیز وجود ندارد، با استفاده از توضیحات روش مقاومت مجاز، مقدار حداکثر نیروی مجاز شمع با استفاده از رابطه گفته شده برابر است با:
Pa=0.3f’cAg+0.4fyAs
در این حالت به منظور قابل قبول بودن مقطع، نیروی وارد با مقاومت شمع کنترل می شود، توجه شود در این حالت با توجه به اینکه بار اعمالی با استفاده از ترکیبات بار روش تن مجاز محاسبه می شود، نیازی به در نظر گرفتن ضریب کاهنده در مقاومت نمی باشد. در این صورت داریم:

ب) در این حالت شمع مطابق یک ستون تحت بار محوری فشاری خالص طراحی می شود. در این صورت با محاسبه نیروی حداکثر ضریبدار وارد بر شمع داریم:

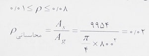
از طرفی در این حالت مقادیر حداقل و حداکثر آرماتور مورد نیاز مطابق ضوابط ستون ها کنترل می شود. در این صورت داریم:

همانطور که مشاهده می شود درصد آرماتور بدست آمده در محدوده مجاز قرار دارد.
با توجه به نتایج بدست آمده از دو حالت فوق مشاهده می شود که استفاده از روش طرح مقاومت منجر به محاسبه مساحت بیشتری نسبت به روش مقاومت مجاز گردیده است.
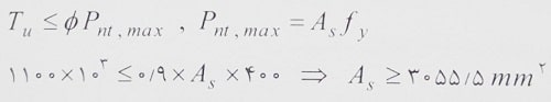
مثال: یک شمع کششی درجا و بدون غلاف با مقطع دایره ای به قطر یک متر در یک سازه تحت نیروی بالا برنده نهایی برابر Tu=100kN در زمین نوع III قرار دارد. مقدار مساحت آرماتورهای لازم طولی در آن بر حسب میلی متر مربع به کدامیک از مقادیر زیر نزدیک تر است؟ در محاسبات از روش طرح مقاومت استفاده می شود . ( بتن از رده C25 و میلگرد از نوع S400 فرض شود و روش طراحی طرح مقاومت است )
1- 5000 2- 8320 3- 3927 4- 7854

می دانیم در روش طرح مقاومت، طراحی شمع ها مشابه ستون ها انجام می شود، در این صورت داریم:

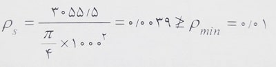
با توجه به اینکه حداقل درصد آرماتور شمع ها مطابق ستون ها برابر یک درصد است داریم:

با توجه به اینکه مقدار آرماتور مورد نیاز کمتر از آرماتور حداقل است بنابراین مساحت حداقل آرماتورهای طولی شمع برابر است با:

بنابراین گزینه 4 صحیح است.
مثال: یک شمع پیش ساخته بتن آرمه با قطر 500 میلی متر را در نظر بگیرید. با توجه به محاسبات انجام شده، حداکثر نیروهای محوری فشاری وارد بر این شمع پس از طراحی تحت اثر بارهای مرده و زنده و زلزله به ترتیب برابر 1200، 900 و 180 کیلونیوتن است. در صورتی که لنگر خمشی وارد بر این شمع ناچیز و خاک اطراف شمع متراکم باشد، مساحت لازم برای آرماتورهای طولی در این شمع مطابق کدامیک از گزینه های زیر می باشد؟ طراحی شمع به روش مقاومت مجاز مورد نظر بوده و مصالح مصرفی بتن از رده C30 و فولادها S400 می باشد.
1- 5850 2- 976 3- 3600 4- 1571
حل: با توجه به اینکه شرایط استفاده از روش تنش مجاز برقرار است، بنابراین مقدار مقاومت مجاز مطابق آنچه خواندیم به صورت زیر بدست می آید:
Pa=0.3f’cAg+0.4fyAs
با توجه به ترکیبات بارگذاری مبحث ششم مقرارت ملی ساختمان مطابق روش تنش مجاز لازم است ترکیبات بارگذاری زیر در نظر گرفته شوند:

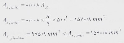
دقت شود همانطور که گفته شد، مقدار حداقل درصد میلگردهای طولی شمع های پیش ساخته برابر 0.008 در نظر گرفته می شود، بنابراین لازم است مساحت آرماتور بدست آمده با مقدار حداقل کنترل گردد. در این صورت داریم:

بنابراین Asmin به عنوان حداقل آرماتور مورد نیاز انتخاب شده و گزینه 4 صحیح است.
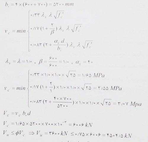
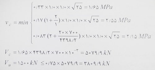
مثال: یک سازه نگه دارنده تجهیز که در آن از پداستال های بتن آرمه با مقطع مربعی به بعد 600 میلی متر استفاده شده است را در نظر بگیرید. هر یک از این پداستال ها بر روی سر شمعی به ضخامت 800 میلی متر که دارای 4 شمع به قطر 700 میلی متر است قرار گرفته اند. مطابق محاسبات انجام شده نیروی نهایی سازه در محل پد استال ها برابر 3600 کیلونیوتن و در هر یک از شمع ها برابر 1500 کیلونیوتن بدست آمده است. در صورتی که پلان سر شمع ها به صورت زیر باشد، به هریک از سوالات پاسخ دهید. مصالح مصرفی بتن C25 و فولاد S400 است.

ضخامت موثر سر شمع برابر 700 میلی متر، درصد میلگردهای طولی آن برابر 0.0025 فرض شده و از خاک روی سر شمع صرف نظر می شود.
الف) مقاومت برشی دو طرفه سر شمع را در محل پد استال کنترل نمایید.
ب) مقاومت برشی یک طرفه و دو طرفه سر شمع را ناشی از عکس العامل شمع ها کنترل نمایید.
حل: الف) با توجه به اطلاعات داده شده، محاسبه ضخامت شالوده بر اساس کنترل مقاومت برشی دو طرفه در محل پد استال، به صورت زیر انجام می شود:

بنابراین مقاومت برشی سر شمع در عملکرد دو طرفه در محل پد استال مناسب است.
ب) مقاومت برشی یک طرفه در سر شمع ناشی از نیروی عکس العمل شمع ها با توجه به موقعیت شمع ها نسبت به مقطع بحرانی بدست می آید. برش یک طرفه در فاصله d از محل مقطع بحرانی که در اینجا بر پد استال می باشد، محاسبه می گردد. بنابراین مطابق شکل زیر و با توجه به جانمایی شمع ها داریم:



همانطور که مشاهده می شود، مرکز شمع ها حداقل به اندازه نصف قطر خود خارج از مقطع بحرانی قرار گرفته اند، بنابراین هر دو شمع قرار گرفته در خارج از مقطع بحرانی به عنوان عوامل موثر در ایجاد برش عمل کرده و کل نیروی برشی ناشی از آنها برابر است با:
![]()
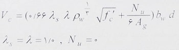
با توجه به عدم استفاده از میلگرد برشی در سر شمع داریم:

دقت شود bw برابر کل عرض سر شمع، یعنی 2×1200+3600=6000 میلی متر می باشد.

همانطور که مشاهده می شود، ظرفیت برشی بتن سر شمع پاسخگوی نیروی برشی حاصل از سر شمع ها نمی باشد.
به منظور کنترل مقاومت برشی دو طرفه، کافی است فاصله سر شمع ها مجددا از مقطع بحرانی که به فاصله d/2 از پد استال قرار دارد کنترل شود.
با توجه به آنچه محاسبه شد، فاصله مرکز شمع ها از بر پد استال برابر 1500=600/2-3600/2 میلی متر بوده و فاصله مقطع بحرانی از بر پد استال نیز برابر 350=700/2 میلی متر می باشد.
بنابراین فاصله مرکز شمع ها از مقطع بحرانی برابر 1150 = 350 – 1500 بوده، یعنی هر چهار شمع در محاسبه نیروی برشی تاثیر گذار هستند، بنابراین داریم:
Vu=4Pu ⇒ Vu=4×1500=1600 kN
با توجه به نتیجه بدست آمده از قسمت الف داریم:
Vc=6006kN
Vu = 6000kN ≤ ΦVc = 4504.5kN
بنابراین ظرفیت برشی دو طرفه سر شمع ناشی سر شمع ها جوابگو نمی باشد.
نکته مهمی که باید به آن توجه کرد این است که مقاومت برشی دو طرفه سر شمع باید در محل هر یک از شمع ها نیز کنترل شود بنابراین داریم:


بنابراین مقاومت برشی دو طرفه سر شمع در محل یک شمع کنترل شده است.
با توجه به عدم کفایت مقاومت برشی سر شمع ناشی از عکس العمل های شمع، به نظر شما چه راهکاری برای افزایش مقاومت سر شمع می توان به کار برد؟ احتمالا درست حدس زده اید، یکی از ساده ترین راهکارها افزایش ضخامت سر شمع بوده که البته همواره راه حلی عملی و مقرون به صرفه ای نمی باشد. در این خصوص افزایش ابعاد پد استال به عنوان صطح اثر بار نیز موثر می باشد.
علاوه بر این افزایش تعداد شمع ها و همچنین تغییر آرایش قرار گیری آنها نیز جز راهکارهای مناسب جهت کاهش نیروی حاصل از شمع ها در نظر گرفته می شود.
طراحی شالوده های عمیق – طراحی شالوده های عمیق – طراحی شالوده های عمیق – طراحی شالوده های عمیق – طراحی شالوده های عمیق – طراحی شالوده های عمیق – طراحی شالوده های عمیق




دیدگاه خود را ثبت کنید
تمایل دارید در گفتگوها شرکت کنید؟در گفتگو ها شرکت کنید.