طراحی شالوده های سطحی
طراحی شالوده های سطحی
در قسمت قبلی با انواع متداول شالوده های سطحی آشنا شدیم و تا حدودی کاربرد هر یک را به نحو اجمالی بررسی کردیم.
در این خصوص مهمترین موارد در طراحی شالوده های سطحی به صورت زیر در نظر گرفته می شود:
1- در محاسبه و کنترل تنش ها، معمولا از ترکیبات بارگذاری حالت تنش مجاز استفاده می شود.
2- حداقل مساحت کف شالوده، یعنی ابعاد شالوده با توجه به بارهای وارد بر آن به نحوی تعیین می شود که مقدار تنش حاصل، از تنش خاک بیشتر نشود.
3- حداقل ضخامت آیین نامه ای شالوده ها برابر 300 میلی متر در نظر گرفته می شود. دقت شود مهمترین موارد در خصوص کنترل ضخامت شالوده کنترل واژگونی، تامین مقاومت خمشی و مقاومت برشی مورد نیاز می باشد.
4- توزیع فشار خاک در زیر شالوده ها باید منطبق با مشخصات و سختی سازه، شالوده و زمین بوده و مطابق توصیه گزارش مکانیک خاک و همچنین مبحث هفتم مقررات ملی ساختمان باشد.
5- در شالوده های سطحی منفرد و مرکب یک طرف در صورت عدم انجام تحلیل دقیق، می توان شالوده را صلب در نظر گرفت.
6- در شالوده های سطحی شیب دار، پلکانی و با ضخامت متغیر، عمق و موقعیت پله ها یا زاویه شیب باید به نحوی باشد که الزامات طراحی در همه مقاطع برآورده شود.
7- در مدلسازی شالوده های سطحی مرکب دو طرفه، گسترده و نواری متقاطع، می توان با تقسیم بندی فونداسیون به قسمت های مشخص از بسترهای متفاوت استفاده نمود.
8- طراحی شالوده ها شامل کنترل مقاومت خمشی و برشی و همچنین آرماتورگذاری آن باید براساس ترکیبات بارگذاری ضریبدار انجام شود.
9- در طراحی شالوده می توان از هر روشی که در آن اصول تعادل و سازگاری هندسی رعایت می شود، استفاده نمود. در این خصوص طراحی مطابق روش خرپایی ( روش بست و بند ) مجاز است.
10- برای محاسبه لنگرهای خارجی در هر مقطع از شالوده های نواری منفرد یا سر شمع با عبور دادن یک صفحه عمودی از عضو و محاسبه لنگر نیروهای وارده در مساحت کل عضو بر روی یک طرف صفحه عمودی بدست می آیند.
انواع شالوده های سطحی به لحاظ خمشی
شالوده های سطحی به لحاظ عملکرد خمشی، مشابه دال ها به دو گروه طبقه بندی می شوند. این طبقه بندی، مشابه آنچه پیش از این در خصوص دال ها گفته شد، براساس نوع باربری و ابعاد هندسی، به صورت یک طرفه و دو طرفه می باشد.
1-شالوده های سطحی مرکب یک طرفه و نواری
همانطور که در توضیحات اولیه این قسمت شرح داده شد، این فونداسیون ها مشابه دال های یک طرفه بوده که ضوابط طراحی آنها مطابق قبلا گفته شده است. شالوده های مرکب یک طرفه و نواری در این گروه قرار می گیرند. دقت شود در خصوص این شالوده روابط اعضای خمشی گفته شده قابل کاربرد می باشد.
بیشتر بدانیم
نسبت مساحت حداقل میلگردهای خمشی در این نوع فونداسیون ها، مشابه دال های یک طرفه بوده و به صورت زیر محاسبه می شود:
Asmin= 0.0018Ag
Asmin: مساحت حداقل میلگردهای خمشی
Ag: مساحت کل مقطع شالوده
همچنین مساحت میلگردهای حداقل حرارت و جمع شدگی نیز مشابه دال های یک طرفه و برابر مقدار زیر می باشد:
As,sh=0.0018Ag
As,sh: مساحت آرماتور حرارت و جمع شدگی
توجه شود توزیع میلگردهای خمشی در شالوده های یک طرفه به صورت یکنواخت و در کل عرض فونداسیون انجام می شود.
2- شالوده های سطحی منفرد دو طرفه
بر خلاف شالوده های یک طرفه، باربری دراین نوع شالوده ها به صورت دو طرفه انجام می شود. یعنی انتقال بار در این حالت مشابه دال های دو طرفه و در هر دو جهت صورت می گیرد.
به همین دلیل میلگردهای خمشی محاسباتی در این نوع شالوده ها باید در هر دو راستا تعبیه گردند، اما آرماتورگذاری در این فونداسیون براساس هندسه شالوده انجام می شود.
لازم به ذکر است میلگردهای خمشی در شالوده های دو طرفه مربعی به طور یکنواخت در هر دو جهت توزیع می شوند.
در شالوده های دو طرفه مستطیلی توزیع میلگردها به صورت زیر انجام می شود:
الف) میلگردها در جهت بلند باید به طور یکنواخت در کل عرض شالوده توزیع شوند.
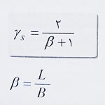
ب) برای میلگردها در جهت کوتاه، توزیع میلگردها در دو ناحیه مجاور ستون و دور از آن با دو توزیع مختلف انجام می گیرد. در ناحیه ای به اندازه عرض شالوده و با مرکزیت محور ستون یا ستون پایه، مساحت میلگردها برابر YsAs بوده که به طور یکنواخت در این ناحیه توزیع شده اند.
در نواحی پیرامونی فونداسیون، مساحت باقیمانده میلگردهای مورد نیاز یعنی نیز به طور یکنواخت توزیع می گردند.

B,L: طول و عرض شالوده
B: نسبت طول به عرض شالوده
As: مساحت کل میلگرد لازم
a,b: ابعاد مقطع ستون
Ys: ضریب توزیع مساحت میلگردها در نوار مرکزی شالوده

حداقل مساحت میلگرد خمشی در شالوده های دو طرفه مطابق دال های دو طرفه به صورت زیر بدست می آید:
As,min= 0.0018Ag
As,min: مساحت آرماتور حداقل میلگرد خمشی
Ag: مساحت کل مقطع شالوده
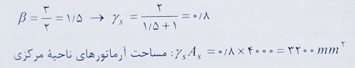
مثال: یک شالوده منفرد به ابعاد 3×2 m از یک سالن صنعتی را در نظر بگیرید. در صورتی که مساحت کل میلگردهای راستای کوتاه و بلند، به ترتیب برابر 4000 و 2400 میلی متر مربع باشد، با فرض رعایت حداقل مساحت میلگردهای خمشی، به سوالات زیر پاسخ دهید. عملکرد شالوده دو طرفه می باشد.
الف) آرایش قابل کاربرد میلگردهای واقع در راستای طولی را پیدا کنید.
ب) در صورت استفاده از میلگردهای با قطر 22 میلی متر در راستای کوتاه، فواصل مورد نیاز آنها چقدر باید باشد؟
حل: الف) همانطور که گفته شد، میلگردهای واقع در جهت طولی به طور یکنواخت توزیع می شوند. در این صورت با فرض فواصل 200 میلی متری بین میلگردها خواهیم داشت:

بنابراین در راستای بلند ( طولی ) می توان از Φ18@200 mm استفاده نمود.
ب) همانطور که گفته شد، به دلیل مستطیلی بودن شالوده، در راستای کوتاه توزیع میلگردها یکنواخت نمی باشد، بنابراین ابتدا توزیع ناحیه مرکزی و با عرضی برابر عرض شالوده را بدست می آوریم

دقت شود این آرماتورها در عرض 2 متر توزیع شوند.
بنابراین با فرض استفاده از میلگردهای با قطر 22 میلی متر، حداکثر فاصله قابل کاربرد این آرماتورها در ناحیه مرکزی برابر است با:

بنابراین در ناحیه مرکزی از Φ22@200 mm استفاده می شود.
در نواحی کناری، مساحت آرماتورهای لازم، برابر 800 = 4000 * ( 1-0.8) می باشد. با توجه به اینکه این آرماتورها در عرض 1=2-3 متر توزیع می شوند داریم:

بنابراین در نواحی کناری از Φ22@400 mm استفاده می شود.
شکل زیر نحوه توزیع میلگردها را در این پی منفرد دو طرفه نمایش می دهد.

نکته بسیار مهم: توجه داشته باشید که فواصل میلگرد گذاری بدست آمده در این سوال صرفا براساس نسبت توزیع مساحت میلگردها و بدون توجه به ضوابط و محدودیت های فاصله گذاری میلگردها بدست آمده است.
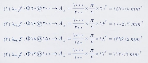
مثال: در یک فونداسیون سطحی یک طرفه با ضخامت 800 میلی متر و عمق موثر 700 میلی متر، مقدار آرماتور محاسباتی تحت اثر خمش در واحد عرض برابر 1200 میلی متر مربع بدست آمده است. کدامیک از آرماتورگذاری های زیر را به عنوان حداقل آرماتور خمشی فونداسیون می توان به کار برد؟
1- Φ20@200
2- Φ16@200
3- Φ18@150
4- Φ12@100
حل: با توجه به اینکه حداقل مساحت آرماتورهای خمشی فونداسیون برابر 0.0018Ag می باشد داریم:

بنابراین حداقل آرماتور خمشی فونداسیون باید برابر 1440 میلی متر مربع در نظر گرفته شود. در این صورت با مقایسه گزینه ها داریم:

بنابراین گزینه 1 صحیح است.
مثال: نسبت سطح مقطع میلگرد حرارت و جمع شدگی لازم به کل سطح مقطع بتن، برای شالوده ای به ضخامت 1.5 متر و میلگرد رده S340 حداقل چقدر باید باشد؟ رده بتن C20 بوده و بتن شالوده به صورت درجا اجرا می شود.
1- 0.0018 2- 0.0015 3- 0.0020 4- 0.0026
حل: مطابق رابطه گفته شده برای مساحت آرماتور حرارت و جمع شدگی داریم:

بنابراین گزینه 1 صحیح است.
مثال: در یک ساختمان با سازه بتن آرمه، شالوده ها از نوع نواری با مقطع عرضی bxh=2×1.2m است. حداقل سطح مقطع آرماتورهای خمشی مجاز، به کدامیک گزینه نزدیک تر است؟ ( فاصله مرکز آرماتورها از هر لبه شالوده 100 میلی متر، عمق موثر شالوده 100 میلی متر، بتن از رده C25 و فولاد S400 و سطح مقطع آرماتورهای مورد نیاز براساس محاسبات 3500 میلی متر مربع می باشد. )
1- 4320 میلی متر مربع 2- 3500 میلی متر مربع
3- 4910 4- 3940
حل: با توجه به اینکه سطح مقطع محاسباتی آرماتورهای مورد نیاز در فونداسیون مشخص شده است، بنابراین باید مقدار این مساحت، با مساحت حداقل آرماتورها کنترل گردد:
As,min=0.0018Ag=0.0018x2000x1200=4320 mm2
همانطور که ملاحظه می شود، مقدار آرماتور حداقل بیشتر از مقدار آرماتور محاسباتی بدست آمده است بنابراین حداقل مساحت قابل کاربرد در فونداسیون به صورت زیر بدست می آید:
ماکزیمم 3500 و 4320 میلی متر مربع = مقدار مجاز
بنابراین گزینه 1 صحیح است.
مثال: در دال شالوده ای بتنی با ضخامت متغیر در یک جهت، مطابق شکل زیر حداقل آرماتور کششی حرارت و جمع شدگی در کل مقطع در صورت معادل قرار دادن شالوده با شالوده فرضی با ضخامت ثابت و هم حجم با آن، در هر یک از جهات به کدامیک از مقادیر زیر نزدیک تر است؟ ( کمترین مقدار قابل قبول مد نظر است. نوع آرماتور S400 و نوع بتن C30 فرض شود ).
1- 1300 میلی متر مربع بر متر طول
2- 1600 میلی متر مربع بر متر طول
3- 1800 میلی متر مربع بر متر طول
4- 3000 میلی متر مربع بر متر طول

حل: معمولا در شالوده های با ضخامت متغیر، می توان ضخامت را برای محاسبه حداقل مقدار آرماتور کششی حرارت و جمع شدگی برابر با ضخامت شالوده فرضی هم حجم آن در نظر گرفت که در صورت سوال نیز بیان شده است. با توجه به مشخصات داده شده، حجم فونداسیون برابر است با:

با فرض ضخامت یکنواخت t برای شالوده فرضی در حالت دوم داریم:

بنابراین می توان فونداسیون را به صورت شالوده ای با ضخامت یکنواخت 850 میلی متر در نظر گرفت. در این صورت داریم:

تذکر: با توجه به اینکه مقدار آرماتور در گزینه های بر حسب متر طول داده شده است بنابراین عرض شالوده در محاسبه Asmin برابر 1000 میلی متر در نظر گرفته شده است.
بنابراین گزینه 2 صحیح است.
طراحی شالوده های سطحی
همانطور که در بخش های قبل گفتیم، دو عاملی که در نتایج فونداسیون ها و ابعاد آنها بسیار تاثیر گذار می باشد، لنگرهای خمشی و نیروی وارد بر فونداسیون می باشد. از این رو در این بخش می خواهیم ضوابط طراحی شالوده را تحت هر یک از این عوامل بررسی کنیم.
طراحی تحت خمش
همانطور که در طراحی سایر اعضای بتن آرمه خواندیم، ملاک طراحی اعضا در نظر گرفتن بارهای ضریبدار بوده و لازم است مقدار حداکثر نیروی محوری، لنگر خمشی و نیروی برشی، براساس مقادیر حداکثر بدست آمده از جداول ترکیب بار محاسبه و در طراحی به کار برده شود.
در این خصوص توجه نمایید که به منظور محاسبه آرماتورهای کششی فونداسیون، مقدار لنگر خمشی حداکثر فونداسیون در اعضای مختلف براساس مقطع بحرانی خمش که در جدول زیر شرح داده شده است محاسبه می گردد.

بیشتر بدانیم
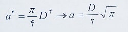
در صورتی که مقطع ستون و یا ستون پایه مورد نظر به صورت مربع مستطیل نباشد ( به طور مثال مقاطع دایروی و یا چند ضلعی منظم )، در این حالت برای محاسبه محل مقطع بحرانی می توان از یک مقطع مربع با مساحت معادل مقطع اولیه استفاده نمود.

در این صورت محل مقطع بحرانی، بر مقطع مربعی معادل در نظر گرفته می شود. دقت شود در این حالت مرکز هر دو مقطع بر هم منطبق می شوند.

مثال: فرض کنید یک پی منفرد به ابعاد 4x4x0.8 m در زیر یک ستون بتنی دایره ای به قطر 700 میلی متر قرار دارد. برای تعیین مقدار حداکثر لنگر خمشی در پی منفرد، فاصله مقطع بحرانی تا بر پی a بر حسب میلی متر به کدامیک از مقادیر زیر نزدیک تر است؟ ( بتن از رده C25، میلگردها از نوع S400 و در شکل ابعاد به میلی متر است. عمق موثر مقطع پی را برابر 700 میلی متر فرض کنید ).
1- 1690 2- 1650 3- 1300 4- 950

حل: با توجه به اینکه مقطع ستون دایره ای است، بنابراین ابتدا مقطع دایره با مربع معادل به بعد b جایگزین می شود.

با توجه به اینکه مقطع بحرانی خمش در ستون های بتن آرمه، در بر ستون می باشد، لذا خواهیم داشت:


بنابراین گزینه 1 صحیح می باشد.
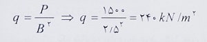
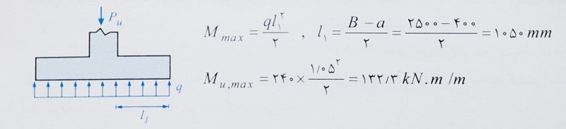
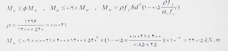
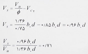
مثال: مقدار آرماتور خمشی لازم در هر راستا برای پی منفرد مربعی شکل زیر تحت بار طراحی ستون بتنی برابر Pu=1500 kN به کدامیک از مقادیر زیر نزدیکتر است؟ ( از وزن پی و بار روی آن صرف نظر شود. همچنین رده بتن C25 و میلگرد از نوع S400 فرض شود ).
1- 2250 2- 2205 3- 2400 4- 1950

حل: هنگامی که پی منفرد تحت اثر بار متمرکز ناشی از ستون قرار می گیرد، با توجه به تنش یکنواختی که در زیر شالوده و در خاک ایجاد می شود، می توان وضعیت شالوده را مشابه یک تیر طره در نظر گرفت که تحت اثر بار گسترده قرار گرفته است. در این صورت با محاسبه مقدار تنش یکنواخت ناشی از نیروی فشاری زیر شالوده داریم:

همانطور که در شکل زیر مشاهده می شود، ستون در واقع در محل تکیه گاه این تیر بوده و مقدار لنگر حداکثر تحت بار گسترده در محل مقطع بحرانی ( بر ستون ) به صورت زیر محاسبه می شود:

توجه شود لنگر بدست آمده در واحد عرض فونداسیون بوده، و برای محاسبه عرض کل لنگر باید مقدار بدست آمده را در عرض فونداسیون ضرب کنیم. در این صورت داریم:
Mu,max = 132.3 x 2.5 = 330.75 kN.m
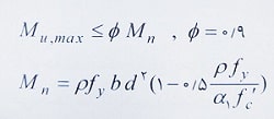
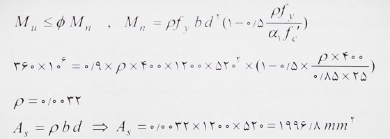
در این صورت با توجه به روابطی که در فصل خمش آموختیم، درصد میلگرد مورد نیاز مقطع شالوده را به صورت زیر محاسبه می کنیم:

در این حالت مقطع شالوده مطابق تیری به عرض 2500 میلی متر و عمق موثر 420 میلی متر در نظر گرفته می شود.

توجه داشته باشید پیش از انتخاب پاسخ صحیح مقدار بدست آمده را مقدار حداقل مساحت میلگردهای مجاز کنترل نمایید.
با توجه به اینکه مساحت حداقل آرماتور خمشی برابر Asmin=0.0018Ag می باشد داریم:
Asmin= 0.0018x2500x500 = 2250 mm2
همانطور که مشاهده می شود، مقدار آرماتور محاسباتی از مقدار حداقل کوچکتر بوده، بنابراین حداقل مقدار آرماتور قابل قبول شالوده برابر 2250 میلی متر مربع می باشد.
تذکر: دقت شود در محاسبه مساحت حداقل آرماتور، مساحت کل فونداسیون لحاظ می شود در حالی که در محاسبه مساحت آرماتور محاسباتی مقدار مساحت موثر در نظر گرفته شده، زیرا روش حل مطابق روابط خمش گفته شده است.
بنابراین گزینه 1 صحیح است.
مثال: یک شالوده نواری به عرض 1.5 متر، ارتفاع کلی 700 میلی متر و عمق موثر 600 میلی متر مفروض است. چنانچه مقدار آرماتور محاسباتی در ناحیه کششی برابر 7.5 سانتی متر مربع محاسبه گردیده باشد، برای این شالوده حداقل آرماتور در ناحیه کششی به کدامیک از مقادیر زیر نزدیک تر است؟
1- 10 سانتی متر مربع 2- 13.5 3- 18.9 4- 22.5
حل: همانطور که خواندیم، در شالود ه های نواری مساحت آرماتور در ناحیه کششی مشابه دال های یک طرفه و برابر 0.0018Ag در نظر گرفته می شود.
Asmin = 0.0018x1500x700 = 1890 mm2
با توجه به مقدار محاسباتی باید آرماتور 1890 میلی متر مربع در ناحیه کششی مقطع مورد استفاده قرار گیرد.
As= 1890 mm2 = 18.9 cm2
مثال: شکل زیر مقطعی از یک شالوده نواری را نشان می دهد. در صورتی که مقدار لنگر خمشی نهایی حداکثر وارد بر این مقطع برابر 360 کیلونیوتن متر باشد، مقدار آرماتورهای لازم را بدون در نظر گرفتن آرماتورهای فشاری محاسبه کنید؟ ( بتن از رده C25 و میلگرد از نوع S400 فرض می شود ).
1- 2432 2- 1997 3- 1296 4- 1753

حل: با توجه به آنچه در فصل خمش گفتیم:

تذکر: مساحت حداقل آرماتور خمشی پی ها برابر 0.0018Ag می باشد، در این صورت داریم:
Asmin = 0.0018 x 1200 x 600 = 1296 mm2
همانطور که مشاهده می شود مقدار حداقل مساحت آرماتورها رعایت شده بنابراین گزینه 2 صحیح است.
مثال: شکل زیر مقطعی از یک شالوده نواری که هم در بالا و هم در پایین آن از حداقل آرماتور استفاده شده است را نشان می دهد. حداکثر لنگر خمشی نهایی Mu قابل قبول برای این مقطع به کدامیک از گزینه های زیر نزدیک تر است؟ ( بتن از رده C25 و میلگرد از نوع S400 )
1- 150 2- 180 3- 200 4- 240

حل : می دانیم مقاومت خمشی فونداسیون های نواری مشابه تیرها محاسبه می شود. بنابراین تحلیل این مقطع مشابه تیری با عرض 1200 میلی متر و عمق موثر 520 میلی متر می باشد.
از طرفی مساحت حداقل آرماتورهای خمشی به صورت زیر برابر است با:
Asmin=0.0018Ag=0.0018x1200x600=1296 mm2
تذکر: با توجه به ماهیت رفت و برگشتی زلزله، فولاد حداقل در بالا و پایین مقطع باید قرار گیرد.

تذکر: شالوده نواری در وضعیت کشش – کنترل قرار داشته و ضریب Φ=0.9 در نظر گرفته می شود.
گزینه 4 صحیح است.
طراحی تحت برش
همانطور که اشاره کردیم، فونداسیون ها و سر شمع در واقع دال هایی هستند که بر روی زمین قرار گرفته اند و بار سازه را به زمین انتقال می دهند. بنابراین انتظار می رود که ضوابط طراحی شالوده و دال ها از جهات بسیاری مشابه یکدیگر باشند.
یکی از این موارد تشابه، نحوه محاسبه ظرفیت برشی فونداسیون می باشد. همانطور که احتمالا به خاطر دارید از دال ها، این دو نوع مکانیزم گسیختگی برشی در این اجزا می تواند رخ دهد:
1- برش یک طرفه 2- برش دو طرفه
باید توجه نمود در محاسبه مقاومت های برشی هر یک از دو حالت فوق از همان ضوابط ارائه شده در فصل دال ها استفاده می کنیم. به منظور یادآوری و حل مثال های بیشتر، این ضوابط مجددا به صورت خلاصه در این قسمت ارائه می شوند.
مقاومت برشی یک طرفه شالوده
مقاومت برشی یک طرفه، مقاومتی است که شالوده با توجه به ضخامت و مشخصات آرماتورهای به کار رفته در آن تحمل می کند. در این حالت مقطع بحرانی برش در محل بر تکیه گاه که ستون و یا ستون پایه بوده و دارای حداکثر مقدار برش است لحاظ می گردد.
باید توجه نمود که چنانچه شرایط زیر برقرار باشد، می توان مقطع بحرانی برش یک طرفه را در فاصله d نسبت به مقطع بحرانی خمش ( معمولا مقطع بر تکیه گاه) در نظر گرفت ( d عمق موثر شالوده می باشد):
1- نیروی عکس العمل تکیه گاهی در جهت برش اعمالی باعث ایجاد فشار به ناحیه انتهایی شالوده شود.
2- بارها بر روی شالوده و یا در تراز تزدیک به آن اعمال شوند.
3- بار متمرکزی که در فاصله بین بر تکیه گاه تا مقطع بحرانی وجود نداشته باشد.
در این صورت همانطور که در فصل دال نیز گفته شد، روش محاسبه مقاومت برشی مشابه محاسبه مقاومت برشی در تیرها و براساس روابط زیر بدست می آید:

Vn: مقاومت برشی یک طرفه اسمی مقطع
Vc: مقاومت برشی بتن
Vs: مقاومت برشی فولادهای برشی
Vu: حداکثر برش ضریبدار در مقطع بحرانی
بیشتر بدانیم
باید به این نکته توجه کرد که آرماتورگذاری فونداسیون ها معمولا شامل آرماتورهای طولی در دو راستای متعامد بوده و به عبارتی آرماتورهای موجود در فونداسیون فقط تحت اثر لنگر خمشی طراحی شده و آرماتورهای برشی مقطع در نظر گرفته نمی شود.
علت این امر را می توان دارا بودن مقاومت برشی نسبتا مناسب بتن و همچنین ضخامت قابل توجه شالوده نسبت به سایر اجزای به کار رفته در ساختمان در نظر گرفت.
در این حالت کنترل مقاومت برشی شالوده به صورت زیر انجام می شود:
Vs=0 ⇒ Vn=Vc
Vu≤ΦVc
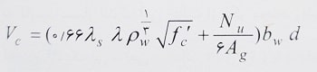
در این حالت مقدار مقاومت برشی حاصل از بتن را در صورت عدم استفاده از آرماتور برشی، می توان به صورت زیر محاسبه نمود:

نکته مهم: در شالوده ها مقدار ضریب اصلاح تاثیر اندازه در مقاومت برشی یک طرفه و دو طرفه قابل صرف نظر می باشد. در این صورت می توان ضریب λs را برابر یک در نظر گرفت.
λs: ضریب اصلاح تاثیر اندازه
λ: ضریب اصلاح بتن سبک
Pw: نسبت آرماتور کششی مقطع برابر As/bwd
f’c: مقاومت فشاری مشخصه بتن ، مگاپاسکال
Nu: نیروی محوری که تحت فشار با علامت مثبت و تحت کشش با علامت منفی در نظر گرفته می شود، نیوتن
Ag: سطح مقطع ناخالص فونداسیون، میلی متر مربع
bw: عرض واحد و یا عرض کل فونداسیون در راستای محاسباتی، میلی متر
d: عمق موثر فونداسیون، میلی متر
لازم به ذکر است چنانچه به هر دلیلی در فونداسیون از آرماتورهای عرضی استفاده شده باشد، به منظور محاسبه مقاومت برشی اسمی کافی است مقادیر Vc و Vs مطابق آنچه در فصل برش گفتیم، محاسبه گردد.
مثال: یک پی مربعی به ابعاد 2x2m و با ضخامت 700 میلی متر را در نظر بگیرید. در این پی به منظور تحمل نیروهای وارده، درصد آرماتورهای کششی در کل عرض فونداسیون برابر 0.0019 در نظر گرفته شده است. نیروهای محوری نهایی حداکثر این فونداسیون پس از تحلیل ترکیبات بارگذاری مجزا، برابر 950 کیلونیوتن به صورت فشاری و 460 کیلونیوتن به صورت کششی بدست آمده است. در صورتی که بتن مصرفی از رده C30 باشد، مقدار مقاومت برشی اسمی بتن تحت برش یک طرفه چقدر در نظر گرفته می شود؟ عمق موثر فونداسیون برابر 610 میلی متر می باشد.
1- 520 2- 390 3- 485 4- 595
حل: می دانیم مقدار مقاومت برش یک طرفه مطابق رابطه زیر محاسبه می شود:

با توجه به اینکه نیروی محوری هم به صورت کششی و هم به صورت فشاری می تواند اعمال شود، بنابراین برای محاسبه بحرانی ترین حالت، لازم است نیروی محوری به صورت کششی در محاسبه Vc لحاظ شود تا از این طریق مقدار حداقل مقاومت برشی محاسبه شود.
توجه کنید که نیروی محوری در صورت کششی بودن با علامت منفی در رابطه برشی به کار رفته و اثر کاهنده دارد، در این صورت داریم:

بنابراین گزینه 3 صحیح است.
مثال: شالوده منفرد با بتن از رده C30 را در نظر بگیرید. اگر در نظر باشد که از بتن C25 استفاده شده و ابعاد پلان شالوده تغییر داده نشود، مقدار عمق موثر d ( فاصله دورترین تار فشاری تا مرکز سطح آرماتور کششی) حدودا چند درصد اضافه شود که نیروی برشی مقاوم تامین شده یک طرفه توسط بتن از طرح اولیه کمتر نشود؟ از اثر نیروی محوری در مقطع صرف نظر می شود. درصد آرماتور طولی مقطع در هر دو حالت یکسان فرض می شود.
1- 5 2- 10 3- 12 4- 20
حل: می دانیم نیروی برشی یک طرفه بتن مطابق رابطه زیر بدست می آید:

همانطور که مشاهده می شود، نیروی برشی با عمق موثر و با جذر مقاومت فشاری مشخصه بتن رابطه مستقیم دارد. در این صورت با توجه به عدم وجود نیروی محوری داریم:

بنابراین گزینه 2 صحیح است.
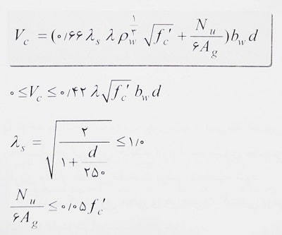
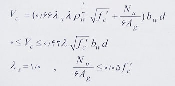
مقاومت برشی دو طرفه فونداسیون
در این حالت به واسطه اعمال نیروهای متمرکز ناشی از ستون و یا پداستال بر فونداسیون، مکانیزم گسیختگی برشی به صورت پانچ شدگی ( سوراخ شدگی و یا از نوع برش دو طرفه) خواهد بود.
در این حالت، همانطور که از فصل دال های دو طرفه به خاطر دارید، مقطع بحرانی برش سطح منشوری است که به فاصله d/2 از محل مقطع بحرانی خمش ( معمولا محل ستون یا ستون پایه ) قرار گرفته است.
مقطع بحرانی برش دو طرفه
مقطع بحرانی برش دو طرفه، سطح جانبی منشوری است که وجوه آن موازی با نیروی برشی بوده و محل آن باید به نحوی در نظر گرفته شود که محیط قاعده آن b0 حداقل باشد، ولی لازم نیست که فاصله وجوه منشور از محل های زیر کمتر از 0.5d در نظر گرفته شود.
1-لبه ها یا گوشه های ستون ها، بارهای متمرکز یا نواحی تکیه گاهی
2-محل تغییر در ضخامت فونداسیون نظیر لبه های انتهایی ستون و یا کلاهک های برشی
لازم به ذکر است عمق این منشور برابر عمق موثر فونداسیون d در نظر گرفته می شود و چنانچه عمق موثر در دو جهت متعامد فونداسیون به دلیل شبکه میلگردها و یا تغییر ضخامت هندسی، متفاوت باشد، عمق سطح بحرانی برش برابر متوسط عمق موثرهای طرفین متعامد در نظر گرفته می شود.
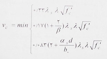
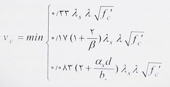
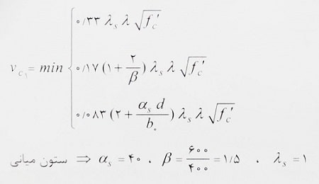
مقاومت برشی دو طرفه بتن
همانطور که در توضیحات قسمت برش یک طرفه گفته شد، معمولا در فونداسیون از آرماتور برشی استفاده می شود، به همین دلیل مقاومت برشی دو طرفه در حالت بدون استفاده از آرماتورهای برشی مطابق ضوابط دال های دو طرفه و به صورت زیر بدست می آید:

Vc: تنش متناظر با مقاومت برشی دو طرفه اسمی تامین شده توسط بتن، مگاپاسکال
B: نسبت وجه بزرگتر به وجه کوچکتر مقطع اعمال بار ( ستون و ستون پایه)
αs: برای ستون های میانی، کناری و گوشه به ترتیب برابر 40، 30 و 20 می باشد.
λs: ضریب اصلاح بوده که مطابق نکته گفته شده برابر 1 می باشد.
لازم به ذکر است در صورتی که در فونداسیون از آرماتور برشی استفاده شده باشد، مقاومت برشی دو طرفه مطابق آنچه در خصوص دال ها گفتیم محاسبه گردد. با توجه به عدم کاربرد آرماتور برشی در فونداسیون های متدوال این روابط مجددا ارائه نمی شود.
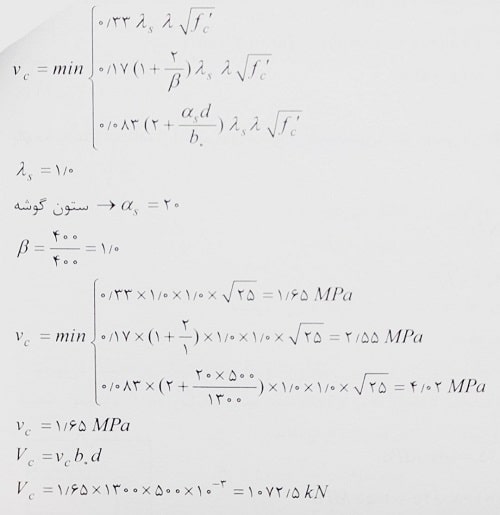
مثال: تحلیل سازه نشان می دهد که در یکی از ترکیبات بارگذاری، علاوه بر بار محوری، یک لنگر خمشی در نوار پوششی امتداد x، حول محور y در پای یک ستون کناری با ابعاد مقطع 700×500 میلی متر مطابق شکل وجود دارد. حدودا چند درصد از این لنگر باید برای کنترل برش در حالت حدی مقاوم برای عملکرد دو طرفه شالوده در نظر گرفته شود؟ عمق موثر شالوده 900 میلی متر است. ستون کناری است و فاصله آن از ستون های دیگر و لبه شالوده در سه طرف دیگر بسیار زیاد است. نزدیک ترین گزینه به جواب را انتخاب کنید.
1- 33 درصد 2- 40 3- 66 4- 100

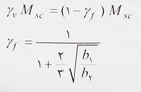
حل: همانطور که در قسمت دال های دو طرفه خواندیم، در اتصال دال به ستون بدون تیر، بخشی از لنگر وارد بر دال به صورت عملکرد خمشی و بخش دیگر آن در اثر برش با اثر خروج از مرکزیت، به ستون انتقال می یابد. با توجه به اینکه شالوده نیز مشابه دال بدون تیر عمل می کند، لذا با استفاده از روابط ارائه شده برای دال ها داریم:

Ys: ضریب تعیین سهم لنگر که با عملکرد برشی انتقال می یابد
Yf: ضریب تعیین سهم لنگر که با عملکرد خمشی انتقال می یابد
Msc: لنگر ضریبدار شالوده در محل اتصال به ستون
b1: بعد مقطع بحرانی b0 در راستای دهانه ای که در آن لنگرها تعیین می شوند
b2: بعد مقطع بحرانی b0 در راستای عمود بر b1
با توجه به اطلاعات داده شده، ابتدا محیط بحرانی را برای تعیین مقادیر b1 و b2 مطابق شکل زیر بدست می آوریم.
باید دقت کرد لنگر خمشی در امتداد محور X ( حول محور Y) داده شده است، بنابراین بعد b1 برابر طول محیط بحرانی در راستای X و بعد b2، بعد محیط بحرانی در راستای Y می باشد.

بنابراین گزینه 1 صحیح می باشد.
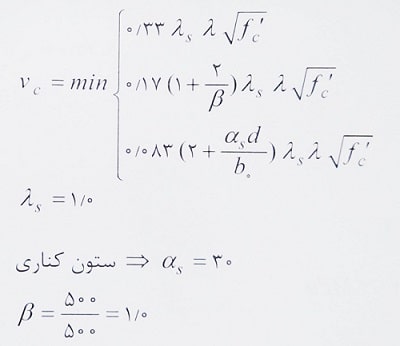
مثال: ضخامت یک پی گسترده درجا برابر 1200 میلی متر است. مقدار برش مقاوم اسمی دو طرفه پی مذکور، برای ستون بتنی کناری مطابق شکل زیر، بر حسب کیلونیوتن به کدامیک از مقادیر زیر نزدیک تر است؟ ( فرض کنید عمق موثر مقطع پی برابر 1100 میلی متر، میلگردها از رده S340 و بتن از نوع C25 و معمولی است. همچنین در محاسبات از اثر انتقال لنگر صرف نظر شود)
1- 6125 2- 3670 3- 4900 4- 8167

با توجه به اینکه ستون کناری بوده، محیط بحرانی به صورت زیر بدست می آید:

با توجه به عدم استفاده از آرماتورهای برشی در فونداسیون، تنش برشی در حالت دو طرفه برابر است با:


بنابراین گزینه 4 صحیح می باشد.
مثال: ستون گوشه ساختمانی به ابعاد 400 در 400 میلی متر تحت اثر نیروی محوری فشاری، روی پی به ابعاد 1500 در 1500 میلی متر قرار دارد. در صورتی که در پی از یک آرماتور برشی یا کلاهک برشی استفاده نشده و عمق موثر پی d=500mm باشد، مقدار Vc برای کنترل برش در حالت حدی برای عملکرد دو طرفه بر حسب کیلونیوتن، به کدامیک از مقادیر زیر نزدیکتر است؟ ( رده بتن C25 و تنش برشی در مقطع بحرانی یکنواخت فرض شود)
1- 2145 2- 750 3- 1072 4- 1358

حل:

با توجه به عدم استفاده از آرماتور برشی در فونداسیون داریم:

بنابراین گزینه 3 صحیح است.
مثال: بار محوری نهایی یک ستون میانی برابر 3500 کیلونیوتن است. محاسبات نشان می دهد که حداکثر نیروی برشی قابل تحمل در حالت دو طرفه (پانچ) برای شالوده این ستون در حالت بدون استفاده از میلگرد برشی، برابر 3200 کیلونیوتن می باشد. اگر بخواهیم از میلگرد برشی برای جبران ضعف موجود استفاده کنیم، آنها را برای چه نیروی بر حسب کیلونیوتن ( Vs=?) باید طراحی کنیم؟ مقدار b0=10d در نظر گرفته می شود.
1- 3500 2- 1900 3- 2470 4- 2140
حل: در حالتی که میلگرد برشی در فونداسیون استفاده نشده باشد داریم:

با مقایسه ضرایب روابط فوق، رابطه کنترل کننده برای تعیین مقاومت برشی را بدست می آوریم:

همانطور که مشاهده می شود رابطه اول کنترل کننده است در این صورت داریم:

در صورت استفاده از آرماتور عرضی به صورت خاموت، مقاومت برشی حاصل از بتن مقطع برابر است با:

در این صورت مقدار مقاومت برشی مورد نیاز توسط خاموت ها برابر است با:

بنابراین گزینه 3 صحیح است.
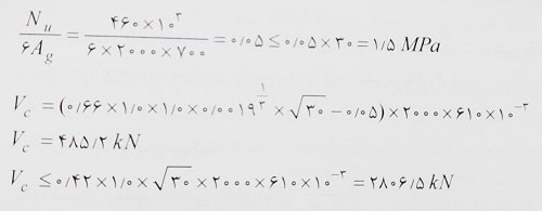
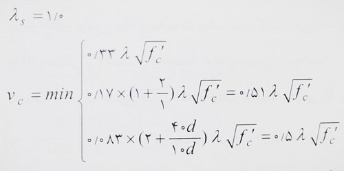
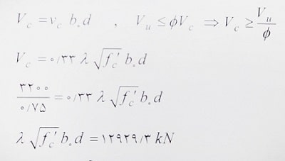
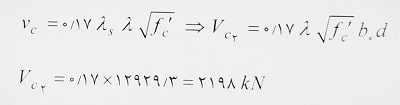
مثال: در صورتی که رده بتن مصرفی در یک شالوده C30 باشد، نیروی برش دو طرفه مقاومت شالوده برای ستون میانی، برابر با نیروی برش نهایی ایجاد شده بوده و نیازی به میلگرد برشی نمی باشد. اگر رده بتن مصرفی به C25 تقلیل داده شود، چند درصد از نیروی برشی نهایی موجود باید توسط میلگردهای برشی از نوع خاموت تامین شود؟ ( ابعاد ستون 600×400 میلی متر و عمق موثر شالوده برابر 520 میلی متر فرض شود.)
1- 30 2- 45 3- 71 4- 90
حل: با توجه به اطلاعات داده شده در حالت اول Vu=ΦVc1 می باشد. با توجه به اینکه می دانیم با استفاده از میلگردهای برشی، مقدار مقاومت برشی بتن کاهش می یابد، بنابراین برای پاسخ به سوال ابتدا مقدار Vc1 که معادل Vu است را محاسبه کرده و سپس با محاسبه Vc2 مقدار مورد نیاز برای Vs را محاسبه می کنیم. با توجه به اینکه ستون میانی است، مقدار محیط بحرانی b0 برابر است با:
![]()
مقدار مقاومت برشی اولیه بتن برابر است با:

دقت شود برای تعیین مقدار مقاومت برشی، می توان به منظور کاهش محاسبات ابتدا ضرایب سه رابطه را نیز محاسبه نمود. در این قسمت با محاسبه کامل روابط فوق داریم:

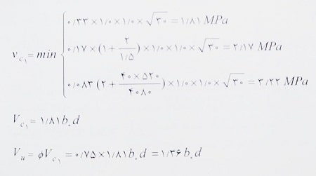
هنگامی که مقاومت برشی بتن به 25 مگاپاسکال تقلیل یابد، مقاومت برشی بتن کاهش یافته، بنابراین Vu>ΦVc شده، لذا لازم است از آرماتورهای برشی استفاده شود. در صورت استفاده از آرماتورهای برشی، مقدار مقاومت برشی بتن برابر است با:

بنابراین مقدار مقاومت برشی که باید توسط آرماتورها تحمل شود، عبارت است از:

بنابراین با تقلیل مقاومت بتن به C25 باید 71 درصد از نیروی برشی در محیط بحرانی پانچ، توسط آرماتورها تحمل شود.
بنابراین گزینه 3 صحیح است.
طراحی شالوده های سطحی – طراحی شالوده های سطحی – طراحی شالوده های سطحی – طراحی شالوده های سطحی – طراحی شالوده های سطحی – طراحی شالوده های سطحی – طراحی شالوده های سطحی




دیدگاه خود را ثبت کنید
تمایل دارید در گفتگوها شرکت کنید؟در گفتگو ها شرکت کنید.