طراحی خمشی دال های دو طرفه
طراحی خمشی دال های دو طرفه
انواع روش های طراحی دال
همانطور که گفته شد، با توجه به عملکرد خاص دال های دو طرفه لازم است طراحی آنها براساس بارهای وارد بر هر ناحیه از دال و تامین مقاومت مورد نیاز انجام گردد. در این خصوص سه روش متداول برای طراحی دال های دو طرفه وجود دارد:
1- روش طراحی مستقیم
2- روش طراحی قاب معادل
3- روش طراحی پلاستیک
در ادامه هر یک از روش های فوق با ذکر ضوابط آیین نامه ای شرح داده می شود. باید دقت نمود که در روش های 1 و 2 حتما لازم است محدودیت های به کارگیری روش پیش از طراحی کنترل گردد.
روش طراحی مستقیم
به منظور طراحی دال با استفاده از روش طراحی مستقیم لازم است موارد زیر برقرار باشند:
1- حداقل سه دهانه پیوسته از دال در هر امتداد وجود داشته باشد.
2- دهانه های دال باید مستطیلی شکل بوده و حداکثر نسبت طول به عرض آنها از محور تا محور تکیه گاه برابر 2 باشد.
3- ابعاد دهانه های متوالی در هر امتداد، نباید بیشتر از یک سوم بعد دهانه بزرگتر با هم اختلاف داشته باشند. طول دهانه ها برابر فاصله مرکز تا مرکز تکیه گاه ها در نظر گرفته می شود.
4- بیرون زدگی ستون ها بیشتر از 10 درصد طول دهانه در جهت بیرون زدگی نسبت به محور خط مرکزی ستون ها نباشد.

l1 و l2: ابعاد دهانه دال در چشمه های متعامد
x: بیرون زدگی ستون نسبت به محور مرکزی آن
5- بارهای اعمالی بر دال باید از نوع ثقلی بوده و به طور یکنواخت بر دال اعمال شده باشند. در این خصوص مقدار بارهای زنده بدون ضریب نباید از دو برابر بارهای مرده بدو ضریب بیشتر باشد.
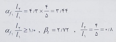
6- در دال هایی که در هر چهار طرف دارای تیرهای پیرامونی هستند، نسبت سختی تیرها باید در رابطه زیر صدق نماید:

αf1 و αf2 : نسبت سختی خمشی تیر به دال در جهات l1 و l2
محاسبه نسبت سختی خمشی αf
نسبت سختی خمشی αf برابر نسبت سختی خمشی تیر به دال است و مطابق رابطه زیر محاسبه می شود:

Ecb: مدول الاستیسیته تیر
Ecs: مدول الاستیسیته دال
Ib: ممان اینرسی تیر
Is: ممان اینرسی دال
باید دقت شود که برای محاسبه ممان اینرسی دال، عرض دال در هر طرف تیر به محور مرکزی چشمه دال محدود می باشد.
در صورت یکسان بودن مصالح بتن در دال و تیر، پارامترهای Ecb و Ecs یکسان بوده و از صورت و مخرج کسر حذف می شوند.
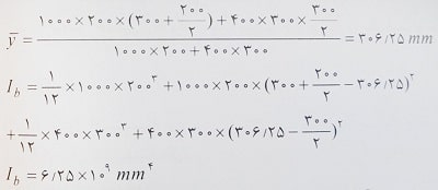
مثال: شکل زیر پلان یک دال را که در تمام جهات بر روی تیرهایی با عرض 400 و ارتفاع 500 میلی متر قرار دارد نشان می دهد. در صورتی که ضخامت دال به کار رفته برابر 200 میلی متر و ابعاد ستون ها 400 میلی متر باشد، به هر یک از سوالات زیر پاسخ دهید. مصالح به کار رفته در بتن تیر و دال یکسان می باشد.
الف) مقدار نسبت سختی خمشی تیر واقع در محور C به دال را محاسبه کنید.
ب) مقدار نسبت سختی خمشی تیر واقع در محور A به دال چقدر است؟

حل: همانطور که خواندیم، نسبت سختی خمشی تیر به دال مطابق رابطه زیر بدست می آید:

نکته مهمی که در خصوص محاسبه نسبت ممان اینرسی تیر (Ib( وجود دارد این است که در این عرض موثر تیر باید مطابق آنچه گفتیم محاسبه گردد. بنابراین با توجه به اینکه تیر واقع در محور C تیرمیامی و از نوع T شکل می باشد داریم:

![]()
به منظور محاسبه ممان اینرسی مقطع فوق لازم است ابتدا مرکز سطح مقطع مشخص گردد. با در نظر گرفتن وجه تحتانی مقطع به عنوان مبدا انتخابی داریم:


از طرفی در محاسبه ممان اینرسی دال، مقدار عرض آن از هر طرف برابر نصف فاصله تکیه گاه ها بوده بنابراین داریم:

با توجه به یکسان بودن مصالح مصرفی در تیر و دال، مقدار Ecb و Ecs برابر بوده، بنابراین از صورت و مخرج کسر حذف می گردد.

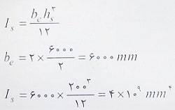
ب) برای محاسبه مقدار αf در این حالت باید توجه نمود که تیر واقع در محور A از نوع کناری و به صورت L شکل می باشد. بنابراین به صورت مشابه حالت الف، با محاسبه مرکز سطح مقطع داریم:


دقت شود به علت اینکه دهانه مورد نظر کناری است، بنابراین عرض موثر دال فاصله بین مرکز چشمه تا بیرونی ترین وجه دال که در واقع وجه خارجی تیر است، در نظر گرفته می شود.
با توجه به این توضیحات داریم:

محاسبه لنگرهای خمشی در روش طراحی مستقیم
در این روش کل لنگر وارد بر دال در یک نوار پوششی برابر مجموع قدر مطلق لنگرهای مثبت و منفی دال در نظر گرفته می شود که توسط قسمت های مختلف آن تحمل می شود. در این حالت کل لنگر ضریبدار وارد بر دال مشابه یک تیر با تیکه گاه ساده برابر ql2/8 می باشد، اما با توجه به اینکه بار وارد بر دال ها سطحی است، بنابراین ضریب qu با wul2 جایگزین می شود تا بار خطی وارد بر دال محاسبه گردد.
دقت شود در این حالت wu بار نهایی وارد بر سطح دال و l2 عرض نوار پوششی دال در راستای متعامد می باشد. در این صورت لنگر کل وارد بر دال که با لنگر خمشی استاتیکی ضریبدار معرفی می شود، در راستای بعد l1 به صورت زیر بدست می آید:

Mo: خمشی استاتیکی ضریبدار
Wu: بار نهایی قائم وارد بر سطح دال
l2: عرض نوار پوششی دال بوده که در واقع فاصله مرکز تا مرکز تکیه گاه ها در جهت عمود بر راستای خمش محاسباتی می باشد.
l1n: طول دهانه آزاد دال که خمش در طول آن محاسبه می شود.
باید توجه نمود که مقدار لنگر خمشی استاتیکی در هر دو راستای طولی و عرضی مطابق رابطه بالا قابل محاسبه است. در خصوص محاسبه مقدار لنگر M0 باید موارد زیر در نظر گرفته شود.
1- در صورتی که ستون ها دارای سر ستون یا نشیمن باشند، فاصله l1n برابر فاصله داخلی بر تا بر المان های تکیه گاهی می باشد. حداقل مقدار ln1 برابر 0.65l1 در نظر گرفته می شود.
ln1≥0.65l1
در صورتی که مقطع ستون دایره ای و یا چند ضلعی باشد، برای محاسبه ln1 می توان مقطع ستون را با مقطع مربعی با مساحت معادل در نظر گرفت. در این صورت فاصله ln1 از بر مقطع مربعی فرضی محاسبه می شود.
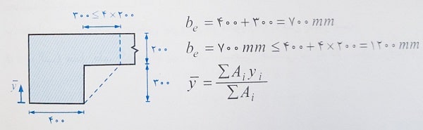
2- در صورتی که عرض چشمه ها در هر طرف خط مرکزی تکیه گاه تغییر کند، مقدار l2 برابر میانگین عرض دهانه های مجاوز در نظر گرفته می شود.
3- در دهانه های کناری دال، عرض l2 برابر فاصله وجه کناری تا مرکز چشمه در نظر گرفته می شود.
پس از محاسبه لنگر استاتیکی مطابق موارد فوق، لازم است سهم لنگرهای مثبت و منفی از کل لنگر M0 در هر نوار پوششی مشخص گردد. برای این منظور باید شرایط تکیه گاهی و موقعیت دال به لحاظ وجود دهانه های مجاور مشخص گردد.
برای این منظور باید شرایط تکیه گاهی و موقعیت دال به لحاظ باید شرایط تکیه گاهی و موقعیت دال به لحاظ وجود دهانه های مجاور مشخص گردد. بر این اساس با توجه به اینکه دال در دهانه های میانی و یا کناری واقع شده است توزیع لنگر براساس موارد زیر انجام می شود.
1- توزیع لنگر در نوار پوششی برای دهانه های میانی
در این حالت به دلیل وجود شرایط پیوستگی ئر محل تکیه گاه، تحلیل دال مطابق یک تیر دو سر گیردار انجام می شود. همانطور که می دانیم در تیر دو سر گیردار مقدار لنگر خمشی مثبت وسط دهانه برابر qul4/24 و لنگر خمشی منفی تکیه گاه برابر qul2/12 می باشد، بنابراین در دال نیز به طور مشابه خواهیم داشت:

با توجه به مقادیر لنگرهای خمشی مثبت و منفی ضرایب توزیع به طور ساده تر برابر مقادیر زیر در نظر گرفته می شوند:

2- توزیع لنگر در نوار پوششی برای دهانه های کناری
در صورتی که دال مورد طراحی در دهانه کناری واقع شده باشد، با توجه به شرایط گیرداری تکیه گاه مقادیر لنگر محاسبه می شود. در این حالت سختی تیرها نقش مهمی در توزیع لنگرها داشته، بر این اساس نسبت های توزیع لنگرهای خمشی را می توان مطابق جدول زیر بدست آورد.

منظور از دال با تیر یکپارچه، دال هایی است که در تمام جهات تکیه گاهی دارای تیر هستند در حالیکه دال های با تیر لبه فاقد تیر در محل تکیه گاه های میانی هستند.
در خصوص محاسبه لنگرهای خمشی مطابق ضرایب گفته شده در دو حالت فوق، لازم است موارد زیر رعایت شود:
1- لنگر خمشی منفی در بر تکیه گاه محاسبه می شود.
2- در محل تکیه گاه های میانی که ممکن است لنگر مجاور دو تکیه گاه مقادیر متفاوتی داشته باشند، لازم است طراحی براساس بیشترین مقدار لنگر بدست آمده انجام گردد، مگر آنکه با لحاظ سختی المان های مجاور و انجام تحلیل دقیق اثر لنگر نامتعادل در سایر مقاطع اعمال گردد.
3- تیرهای لبه و یا لبه های دال باید تحت پیچشی که برابر لنگر خمشی منفی سهم دال در تکیه گاه کناری می باشد طراحی شوند.
4- لنگرهای خمشی مثبت یا منفی در هر دهانه از دال را می توان به مقدار حداکثر 10 درصد کاهش یا افزایش داد، به شرط آنکه این اثر تغییر در سایر لنگرهای خمشی اعمال شود.
در این مورد باید توجه نمود که مقدار حداقل لنگر کل استاتیکی ضریبدار برابر Wul2l1n2/8 می باشد. در این مورد باز توزیع لنگر خمشی براساس مقدار کرنش میلگردهای کششی و آنچه قبلا گفتیم مجاز نمی باشد.
پس از تعیین مقادیر لنگرهای خمشی مثبت و منفی، لازم است این لنگرها که برای هر نوار پوششی بدست آمده است، بین اجزای نوار پوششی تقسیم شود.
از تعاریف ارائه شده در ابتدای فصل به خاطر دارید که نوار پوششی در دو سمت محور ستون ها قرار گرفته و به محورهای مرکزی چشمه ها محدود می شود.
بنابراین نوار ستونی و بخشی از نوار میانی در محدوده پوششی قرار گرفته و لازم است سهم لنگر این دو قسمت از لنگرهای مثبت و منفی بدست آمده مشخص گردد.
به منظور تسلط بهتر بر مفاهیم فوق با بررسی چند مثال به بررسی نحوه محاسبه لنگرهای مثبت و منفی در نوار پوششی می پردازیم، سپس نحوه توزیع لنگر خمشی در اجزای نوار پوششی را شرح می دهیم.
مثال: شکل زیر یک دال بتن آرمه با ضخامت میلی متر را نشان می دهد که تحت اثر بارهای مرده و زنده گسترده به ترتیب برابر 7 و 2کیلونیوتن بر متر مربع قرار گرفته است. با توجه به اطلاعات مشخص شده بر روی شکل در صورتی که ابعاد تمام ستون ها 600×400 میلی متر در نظر گرفته شود، به هر یک از سوالات زیر پاسخ دهید. از وزن دال صرف نظر می شود.
الف) مقدار لنگر خمشی استاتیکی ضریبدار در امتداد نوار پوششی محور 2 را با استفاده از روش مستقیم محاسبه نمایید.
ب) در صورتی که دهانه BC میانی باشد، مقادیر لنگر خمشی مثبت و منفی نوار پوششی در محور 2 را محاسبه کنید.

حل: مقدار لنگر خمشی استاتیکی ضریبدار به صورت زیر محاسبه می شود:

دقت شود به دلیل اینکه بارگذاری وارد بر دال به طور جداگانه داده شده، بنابراین با استفاده از جدول ترکیبات بارگذاری داریم:

همانطور که گفته شد l2 برابر عرض نوار پوششی و ln1 طول دهانه آزاد در راستای خمش می باشد. با توجه به اینکه لنگر خمشی در امتداد محور 2 مورد سوال است، بنابراین داریم:

C1: بعد ستون در راستای طول l1:

ب) با توجه به اینکه دهانه مورد بررسی میانی است، بنابراین مقادیر لنگرهای خمشی مثبت و منفی به صورت زیر بدست می آید:

دقت شود لنگر خمشی بالا در مقطع بر تکیه گاه در نظر گرفته می شود.

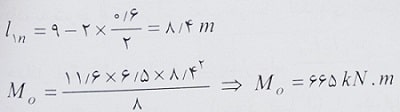
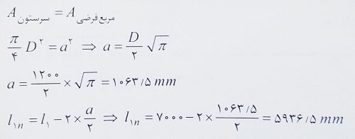
مثال: یک دال بتن آرمه به ضخامت 180 میلی متر که تحت بار نهایی گسترده 10 کیلونیوتن بر متر مربع قرار گرفته است را در نظر بگیرید. در صورتی که در این دال ستون های دایروی به قطر 400 میلی متر با فواصل مرکزی 7 متر در در جهت به کار رفته باشد، مقدار لنگر استاتیکی ضریبدار نوار پوششی در یکی از دهانه های میانی دال را محاسبه نمایید. ستون ها شامل سر ستون های دایروی با قطر حداکثر 1200 میلی متر می باشند.
حل:
مطابق آنچه گفته شد، چنانچه ستون مقطع دایره ای داشته باشد، به منظور محاسبه l1n باید مقطع ستون را به صورت مربعی فرضی با مساحت مقطع دایره در نظر گرفت و فاصله l1n را از بر این مقطع فرضی محاسبه نمود. از طرفی در ستون هایی که دارای سر ستون هستند، فاصله l1n از بر اجزای مزبور در نظر گرفته می شود، در این صورت داریم:

دقت شود مقدار فوق نباید از 0.65l1 کمتر باشد.

تذکر: با توجه به اینکه دهانه میانی دال مورد نظر بود، مقدار l2 برابر 7 متر در نظر گرفته شد.
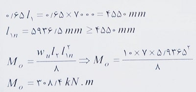
مثال: شکل زیر یک دال دو طرفه با تیرهای لبه را نشان می دهد که تحت بار نهایی 12.4 کیلونیوتن بر متر مربع قرار گرفته است. با توجه به ابعاد داده شده، نمودار لنگر خمشی دال را در نوار پوششی در امتداد محور 1 محاسبه نمایید. ابعاد مقطع ستون ها برابر 500×500 میلی متر در نظر گرفته می شود.

حل: همانطور که مشاهده می شود، دال در امتداد محور 1 دارای سه دهانه می باشد، بنابراین دهانه های AB و CD به عنوان دهانه های کناری و دهانه BC دهانه میانی می باشد. بنابراین ضرایب لنگر در دهانه میانی در تکیه گاه برابر 0.65 و در وسط دهانه برابر 0.35 بوده و برای دهانه های کناری با توجه به اینکه دال دارای تیرهای لبه است، مطابق جدول بالا داریم:

با مشخص شدن ضرایب لنگر در هر قسمت مطابق رابطه زیر داریم:

توجه شود در دهانه های کناری، مقدار l2 تا وجه کناری دال اندازه گیری می شود.

با توجه به اینکه لنگرهای خمشی منفی در بر ستون ها محاسبه می شوند، نمودار لنگر خمشی دال در نوار پوششی محور 1 به صورت زیر رسم می شود:

مثال: در یک دال دو طرفه که بر روی دیوارهای بتن آرمه به صورت یکپارچه قرار گرفته است، مقدار لنگر استاتیکی ضریبدار برابر 84 کیلو نیوتن بر متر مربع در امتداد نوار پوششی دهانه کناری بدست آمده است. با توجه به اطلاعات داده شده، مقدار لنگر خمشی منفی دال در محل اتصال به دیوار در نوار پوششی برابر کدامیک از گزینه های زیر می باشد؟
1- 84 2- 30 3- 55 4- 22
حل: با توجه به اینکه دهانه کناری مورد نظر است، بنابراین مقدار لنگر خمشی منفی مطابق جدول بدست می آید. در این حالت به دلیل یکپارچگی دال و دیوار، شرایط تکیه گاهی به صورت گیردار در نظر گرفته شده، بنابراین ضریب لنگر خمشی منفی در تکیه گاه کناری برابر 0.65 می باشد، در این صورت داریم:
![]()
بنابراین گزینه 3 صحیح است.
سهم لنگرهای مثبت و منفی نوار ستونی
به خاطر دارید که نوار ستونی، نوارهای مجاور ستون ها بوده که در هر طرف عرضی برابر یک چهارم کوچکترین بعد چشمه دال دارند. در این نوار ها نیز لنگرهای مثبت و منفی مطابق آنچه در شکل زیر نشان داده شده است اتفاق می افتد.
در این نوارها با توجه به نسبت l2/l1 و همچنین مشخصات تیرهای احتمالی، ضرایب لنگر منفی و مثبت مطابق جداول گفته شده بالا بدست می آید.

به منظور درک بهتر از لنگرهای مثبت و منفی در نوار ستونی، نمودار لنگر خمشی نوار ستونی هاشور زده شده رسم شده است.

نکات کاربردی جداول بالا
1- در صورتی که پارامترهای موثر از جمله نسبت
جزء مقادیر مشخص جدول نباشند، می توان از درون یابی خطی بین مقادیر داده شده در جدول استفاده کرد.
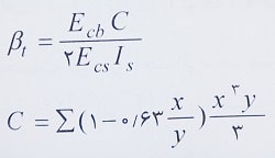
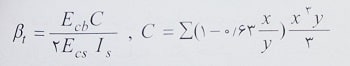
2- مقدار Β1 نسبت سختی پیچشی لبه تیر به سختی خمشی دال بوده و مطابق رابطه زیر بدست می آید:

B1: نسبت سختی پیچشی تیر لبه به سختی خمشی دال
Ecb: مدول الاتیسیته تیر
Ecs: مدول الاستیسیته دال
C: ضریب ثابت مقطع برای تعیین مشخصات پیچشی تیر – دال ( لبه تیر)
Is: ممان اینرسی دال
x: بعد کوچکتر مقطع مستطیلی
y: بعد بزرگتر مقطع مستطیلی
3- در مقاطع T یا L شکل به منظور محاسبه ضریب C، مقطع به مستطیل های مجزا به نحوی تقسیم می شود که مقدار C حاصل، بیشترین مقدار بدست می آید.
4- در صورتی که عرض ستون و یا دیوار حداقل برابر 0.75l2 باشد، لنگر منفی در تمام عرض l2 به طور یکنواخت توزیع می گردد.
5- در صورتی که دال دارای تیر بین تکیه گاه ها باشد، دال نوار ستونی باید توانایی مقاومت در برابر لنگرهای این ناحیه که توسط تیرها تحمل نمی شود را داشته باشد.
سهم لنگرهای خمشی مثبت و منفی در نوار میانی
همانطور که گفتیم، در طراحی خمشی دال به روش مستقیم، مقدار لنگر خمشی Mo برای هر نوار پوششی تعیین شده و سپس این لنگر بین اجزای پوششی که متشکل از نوار ستونی و نیم نوار میانی است، توزیع می شود.
بنابراین آن قسمت از لنگر خمشی که توسط نوار ستونی تحمل نمی شود، باید برای طراحی نیم نوارهای میانی در نظر گرفته شود.
بنابراین همانطور که در شکل زیر مشاهده می شود، نوارهای میانی باید قادر به تحمل مجموع لنگرهای وارده بر نیم نوارهای میانی در چشمه های مجاور باشند.

نکته: در حالتی که نوار میانی مجاور و موازی لبه متکی بر دیوار باشد، لنگر طراحی نیم نوار میانی، دو برابر لنگر نیم نوار میانی اولین ردیف تکیه گاه های داخلی در نظر گرفته می شود.
محاسبه لنگر خمشی تیرها
تیرهای تکیه گاهی که در محل محور ستون ها یا دیوارها قرار می گیرند، باید قادر باشند که بخشی از لنگر نوار ستونی را تحمل کنند ( دقت شود تیرها در محل نوار ستونی واقع شده اند). ضریب توزیع لنگر تیرها براساس جدول زیر محاسبه می شود.
دقت شود ضرایب بدست آمده مطابق این جدول، سهم لنگر خمشی تیر از نوار ستونی بوده و اثر سایر بارهای وارد بر تیر نیز باید جداگانه در طراحی تیر لحاظ شود.

محاسبه لنگر خمشی ستون و دیوار
در صورتی که ستون یا دیوار به صورت یکپارچه با دال اجرا گردند، لازم است این اجزای تکیه گاهی لنگرهای ناشی از دال را تحمل نمایند.
لنگر خمشی دیوار و ستون های خارجی در واقع همان مقدار لنگر خمشی در دهانه کناری نوار پوششی بوده و با توجه به نسبت سختی المان های بین طبقات بالا و پایین تقسیم می شود.
در صورتی که تکیه گاه های داخلی، ستون و دیوارهای بالا و پایین دال باید لنگر ضریبدار محاسبه شده زیر را به نسبت سختی خود تحمل نمایند:

Msc: لنگر ضریبدار دال که ستون در محل اتصال به دال تحمل می کند
qDu: بار مرده ضریبدار در واحد ستون
qLu: بار زنده ضریبدار در واحد سطح
l2: طول دهانه در راستای عمود بر l1
ln: طول دهانه آزاد حد فاصل بر داخلی تکیه گاه
q’Du: بار مرده ضریبدار در دهانه کوتاهتر مجاور به ستون
l’2: طول دهانه در راستای عمود بر l1 در دهانه کوتاهتر مجاور به ستون
l’n: طول دهانه آزاد در دهانه کوتاهتر
باید توجه شود که حداقل مقدار لنگر خمشی که با عملکرد خمشی از دال به ستون انتقال می یابد، برابر 0.3Mo در نظر گرفته شود.
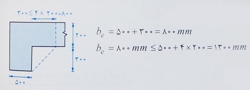
مثال: شکل زیر دهانه کناری از یک دال دو طرفه با تیرهای پیرامونی را نمایش می دهد که تحت اثر بار نهایی به شدت 10 کیلونیوتن بر متر مربع می باشد. مقطع تیرها به صورت مربعی با ابعاد 500 میلی متر بوده و ستون ها نیز مربعی با همین ابعاد هستند. در صورتی که دهانه های مجاور ابعاد مشابه با دهانه مورد نظر داشته باشند، به هر یک از سوالات زیر پاسخ دهید. دال برابر 200 میلی متر در نظر گرفته می شود.
الف) مقدار سختی پیچشی Bt تیر واقع بر محور A را بدست آورید.
ب) مقدار لنگر خمشی منفی و مثبت نوار ستونی در محدوده محور A را بدست آورید.

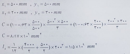
حل: ابتدا با توجه به تعریف تیر در سیستم تیر – دال داریم:

مطابق روابط زیر داریم:

همانطور که گفته شد، به منظور محاسبه ضریب ثابت مقطع C در مقاطع L شکل، اجزا به مستطیل های مجزا به نحوی تقسیم می شوند که مقدار C بیشترین گردد.
با توجه به مقطع مورد نظر، این تقسیم بندی به دو صورت می تواند رخ دهد.
با توجه به اینکه مقدار ضریب C در شکل شماره 2 بیشتر است، بنابراین محاسبات مربوط به آن در این قسمت ارائه می شود ( به منظور تمرین بیشتر، ضریب C را برای هر دو مقطع انجام دهید).


با توجه به یکسان بودن مصالح مصرفی بتن در تیر و دال مقادیر Ecb و Ecs یکسان بوده بنابراین داریم:

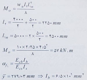
ب) برای مشخص نمودن لنگرهای نوار ستونی در محدوده محور A، ابتدا لنگر خمشی استاتیکی ضریبدار در نوار پوششی A را بدست می آوریم:

به منظور یادآوری نحوه محاسبه ممان اینرسی مقطع L شکل، به مثال های قبلی مراجعه کنید.

با توجه به اینکه تکیه گاه خارجی مورد نظر است بنابراین داریم:

با توجه به اینکه نسبت l2/l1 در جدول وجود ندارد، بنابراین باید بین مقادیر 0.5 و 1 درونیابی انجام دهیم. در صورت وجود خواهیم داشت:

بنابراین سهم لنگر منفی نوار ستونی در مجاورت محور A برابر 81 درصد از لنگر تکیه گاه کناری می باشد.
با توجه به اینکه دال با تیرهای لبه می باشد داریم:

لنگر فوق، لنگر خمشی منفی تکیه گاه است که بخشی از آن توسط نوار ستونی و بخش دیگر توسط نیم نوار میانی تحمل می شود. در این صورت با توجه به درونیابی انجام شده داریم:
![]()
با روش مشابه مطابق جداول بالا ضرایب لنگر خمشی مثبت را نیز محاسبه می کنیم:


بنابراین باید درونیابی انجام شود. با توجه به اینکه ضرایب مشابه جدول بالا می باشد، لذا ضریب لنگر برابر 0.81 بدست می آید.
![]()
نکته: دقت شود تفاضل لنگرهای مثبت و منفی محاسبه شده برای نوار ستونی از کل لنگرهای مثبت و منفی محاسبه شده برای نوار پوششی، توسط نیم نوار میانی این ناحیه تحمل می شود.
روش قاب معادل
در بخش پیش با جزئیات و ضوابط طراحی دال ها به روش مستقیم آشنا شدیم. همانطور که در ضوابط این روش خواندیم، لنگر خمشی در هر شمه از دال براساس سختی اجزای مختلف در آنها توزیع شده، در واقع در این روش توجه اصلی به پلان معطوف بوده و طراحی خمشی اجزای مختلف دال نیز براساس ضرایب لنگر خمشی هر قسمت محاسبه می شود.
در طراحی به روش قاب معادل، محور مورد نظر که شامل دال، ستون یا دیوار و تیرهای احتمالی است، به صورت مجزا از سازه در نظر گرفته شده و مقادیر لنگرهای خمشی در طول دهانه دال بر همین اساس محاسبه می شود.
در واقع در این روش سازه سه بعدی به یک قاب دو بعدی تبدیل شده که محاسبه مقادیر لنگر خمشی در خصوص آن به طور ساده تری انجام می شود.
برای درک بهتر به شکل که یک ساختمان دو طبقه را نشان می دهد توجه نمایید. در این ساختمان قاب معادل برای محور B نمایش داده شده است.

همانطور که در شکل بالا مشاهده می شود، در روش قاب معادل، محور مورد نظر به صورت یک قاب دو بعدی، در نظر گرفته می شود که در خصوص عرض بارگیر، شرایط تکیه گاهی و مقادیر سختی اعضای متصل به دال، لازم است موارد زیر در نظر گرفته شوند.
1- همانطور که در شکل بالا سمت راست مشاهده می شود، هر قاب معادل متشکل از ستون و دیوارهای موجود در محور بوده، به طوری که عرض بارگیر قاب، شامل عرض نوار پوششی می باشد.
از قسمت اول به خاطر دارید که نوار پوششی قسمتی از دال است که در دو سمت محور ستون ها در پلان قرار گرفته و به محورهای طولی گذرنده از وسط چشمه های مجاور محدود می شود.
به منظور درک بهتر به شکل های زیر که قاب معادل و عرض بارگیر قاب را در یک ساختمان یک طبقه نمایش می دهد توجه کنید.

بنابراین تحلیل قاب تحت اثر بارهای وارد بر نوار پوششی منطبق بر ناحیه هاشور خورده در شکل بالا انجام می شود.
2- در قاب های کناری، نوار پوششی شامل تیرهای موجود بین ستون ها یا دیوارها بوده و از طرف دیگر به محور طولی گذرنده از وسط چشمه مجاور محدود می شود. در واقع در این مورد تاکید آیین نامه بر در نظر گرفتن کل عرض تیر در ناحیه نوار پوششی مورد نظر است.

3- تحلیل قاب معادل را می توان در تمام ارتفاع ساختمان و با در نظر گرفتن تمام طبقات انجام داد. همچنین در تحلیل قاب تحت اثر بارهای قائم می توان در هر طبقه مجزا انتهای ستون ها را به صورت گیردار فرض کرد.
به طور مثال در یک ساختمان چند طبقه، مدل زیر در تحلیل بارهای قائم طبقات میانی قابل کاربرد است.

4 – در تحلیل دال – تیر به طور مجزا، برای محاسبه لنگر خمشی در محل تکیه گاه در صورتی که دال پس از تکیه گاه تیر به صورت پیوسته ادامه داشته باشد ( به طور مثال دال در دهانه مجاور نیز موجود بوده و علاوه بر آن آرماتورگذاری و اجزای بتن آن نیز به طور یکپارچه با دهانه مفروض باشد)، می توان تکیه گاه دال را در دهانه مورد بررسی به صورت گیردار در نظر گرفت و مقادیر لنگر خمشی مورد نیاز را بر همین اساس و مطابق روابط تحلیل سازه مشخص نمود.
5- در این روش اعضای افقی عرضی که عمود بر قاب مورد نظر هستند، اعضای پیچشی نامیده می شوند که لازم است اثر سختی آنها بر سختی خمشی ستون ها و دیوارهای تکیه گاهی قاب مورد بررسی مطابق آنچه در ادامه بحث ارائه شده است در نظر گرفته شود.
محاسبه ممان اینرسی اعضای قاب معادل
همانطور که خواندیم، روش قاب معادل روش تحلیلی برای طراحی دال ها می باشد. با توجه به اینکه در بسیاری از سیستم های دال، از تیر به طور همزمان استفاده می شود، بنابراین محاسبه ممان اینرسی دال و تیر به صورت صحیح در این روش اهمیت ویژه ای دارد.
در این خصوص لازم است موارد زیر در نظر گرفته شوند:
1- در خارج از ناحیه اتصال دال به ستون ( یا سر ستون)، از مشخصات مقطع بتنی ترک نخورده در محاسبه ممان اینرسی مقطع دال – تیر استفاده می شود.
2- اثر تغییر ممان اینرسی ناشی از تغییر ابعاد تیرها، دال، ستون یا دیوارها باید در محاسبات لحاظ شود.
3- ممان اینرسی ستون ها از بالا تا پایین دال – تیر در یک اتصال، بی نهایت فرض می شوند.
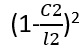
4- ممان اینرسی تیر – دال در محل اتصال یعنی در فاصله مرکز تا بر ستون، نشیمن یا سر ستون باید برابر مقدار ممان اینرسی تیر – دال بر ستون، نشیمن یا سر ستون تقسیم بر مقدار
در نظر گرفته شود. در این رابطه C2 و l2 به ترتیب بعد ستون و طول دهانه دال عمود بر دهانه ای است که لنگرها در آن راستا محاسبه می شود.
به منظور درک بهتر شکل زیر که یک سیستم دال تخت به همراه سر ستون را نمایش می دهد توجه کنید. مقاطع مختلف مربوط به محاسبه ممان اینرسی در این شکل مشخص شده است. طول تمام دهانه های عمود بر راستای مشخص شده برابر l2 در نظر گرفته شده است.

با توجه به شکل های فوق، ممان اینرسی مقطع A در محاسبات مربوط به تیر- دال خارج از ناحیه اتصال ستون استفاده می شود.
در فاصله مرکز ستون تا بر ستون یا سر ستون نیز ممان اینرسی مقطع C یا B که براساس مقاطع A و B قابل محاسبه است مورد استفاده قرار می گیرد..
اعضای پیچشی
همانطور که گفته شد، اثر سختی اعضای عرضی عمود بر راستای قاب اصلی در محاسبه نیروهای قاب اصلی باید در نظر گرفته شود. این اعضا که شامل نوارهای تیر – قاب بوده، به نام اعضای پیچشی معرفی شده و موارد زیر باید در خصوص آنها رعایت گردد.
1- سطح مقطع اعضای پیچشی در طول ثابت در نظر گرفته شده و مشخصات مقطع براساس کمترین مورد زیر محاسبه می شود:
الف) قسمتی از دال که عرضی برابر عرض ستون، نشیمن یا سر ستون در دهانه ای که لنگرها در آن تعیین می شود دارد.

ب) برای سازه های یکپارچه یا کاملا مرکب، مقطع عضو پیچشی شامل مورد بدست آمده از الف به همراه جان تیر عمود بر قاب معادل مورد نظر در سطح فوقانی یا تحتانی دال می باشد.

پ) تیر عمود بر قاب معادل مورد نظر مطابق آنچه در تعریف تیر در سیستم تیر – دال خواندیم:

2- ضریب سختی پیچشی برای مقاطع محاسبه می شود:

دقت شود همانطور که پیش از این نیز خواندیم، در مقاطع غیر از مستطیل شکل ساده، مانند مقاطع T و L شکل، نحوه تقسیم مقطع به مستطیل های ساده باید به نحوی باشد که مقدار حاصل از C حداکثر گردد.
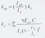
3- سختی پیچشی اعضا که به دلیل وجود تیرهای طولی مقدار آن افزایش یافته است مطابق رابطه زیر محاسبه می شود:

Kta: سختی پیچشی عضو
Kt: سختی پیچشی که برای هر دهانه عمود بر قاب و در دو طرف ستون به طور مجزا محاسبه شده و سپس با هم جمع می شوند.
Isb: ممان اینرسی مجموعه دال – تیر در ناحیه نوار پوششی
Is: ممان اینرسی دال در ناحیه نوار پوششی
C2: بعد ستون یا سر ستون عمود بر راستای محاسبه لنگر ( عمود بر قاب معادل)
I2: بعد دهانه دال عمود بر قاب معادل
C: ثابت پیچشی مقطع دال و تیر
سختی ستون ها
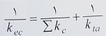
در روش قاب معادل، سختی خمشی معادل ستون ها به دلیل وجود اثر قطعات پیچشی در هر گره اصلاح می شود. در این صورت از رابطه زیر برای محاسبه سختی خمشی معادل ستون استفاده می گردد.

Kec: سختی خمشی معادل ستون
ΣKc: مجموع سختی خمشی معادل ستون های بالا و پایین گره مورد نظر در قاب
Kta: سختی پیچشی اعضای عمود بر قاب اصلی که در هر سمت از گره واقع شده اند.
همانطور که در رابطه بالا مشاهده می شود، اثر اعضای عرضی و انتقال لنگرهای پیچشی ناشی از بارگذاری ثقلی بر ناحیه اتصال دال و ستون، باعث کاهش قابلیت انتقال لنگر از دال به ستون و در نتیجه کاهش سختی خمشی معادل ستون ها می شود.
لنگر خمشی در نوار پوششی
پس از محاسبه مقادیر ممان اینرسی و سختی اعضای متصل به دال، لازم است مقدار لنگر خمشی در نوار پوششی به نحو صحیحی محاسبه گردد. برای این منظور لازم است موارد زیر در نظر گرفته شوند.
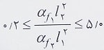
1- مقدار حداکثر لنگر خمشی منفی در تکیه گاه های میانی در نوار پوششی، ستونی و میانی در مقطع بر ستون در نظر گرفته می شود. در این خصوص فاصله محور ستون از این مقطع نباید بیشتر از 0.175l1 در نظر گرفته شود.
با توجه به تعریف فوق، در صورتی که بعد ستون در امتداد محاسبه لنگر خمشی بیشتر از 2×0.175l1=0.35l1 باشد، این کنترل تعیین کننده خواهد بود.
2- مقدار حداکثر لنگر خمشی منفی در تکیه گاه های خارجی بدون سرنشین یا نشیمن در دهانه های عمود بر لبه دال، براساس مقدار لنگر خمشی در بر عضو تکیه گاهی محاسبه می شود.
3- مقدار حداکثر لنگر خمشی منفی در تکیه گاه های خارجی با سر ستون یا نشیمن در دهانه عمود بر لبه دال، برابر لنگر خمشی در مقطعی حداکثر به فاصله نصف تصویر افقی سر ستون یا نشیمن از بر عضو تکیه گاهی می باشد.
به منظور درک بهتر به شکل زیر که یک ستون خارجی با سر ستون را نشان می دهد، توجه کنید. همانطور که مشاهده می شود، در این حالت طول تصویر افقی سر ستون از بر ستون برابر a بوده و مقطع بحرانی محاسبه لنگر خمشی منفی در فاصله a/2 از بر ستون در نظر گرفته می شود.

4- در صورتی که مقطع تکیه گاه به صورت دایره یا چند ضلعی منتظم باشد، به منظور تعیین مقطع بحرانی از یک مقطع مربع شکل فرضی با مساحتی برابر مساحت تکیه گاه اصلی استفاده می شود.
با مشخص شدن بعد مربع، مقطع بحرانی برای محاسبه لنگر خمشی در بر خارجی مربع فرضی در نظر گرفته می شود.
در صورتی که یکی از محدودیت های گفته شده در خصوص روش طراحی مستقیم، برای دال وجود داشته باشد، در روش قاب معادل می توان مجموع قدر مطلق های لنگرهای خمشی مثبت و متوسط لنگرهای خمشی منفی هر دهانه از قاب معادل را تا مقدار لنگر خمشی استاتیکی ضریبدار مطابق رابطه گفته شده قبل کاهش داد و متناسب با آن مقادیر لنگرهای خمشی مثبت و منفی را اصلاح نمود.
توزیع لنگر خمشی ضریبدار در نوار پوششی
در صورتی که دال در هر چهار سمت بر روی تیرهای تکیه گاهی به نحوی قرار گرفته باشد که عملکرد دال و تیر به صورت یکپارچه باشد، علاوه بر این نسبت سختی تیرها در دو امتداد عمود بر هم در نامساوی زیر صدق کند، توزیع لنگر خمشی در اجزای نوار پوششی در روش قاب معادل را می توان براساس آنچه در خصوص روش طراحی مستقیم گفته شد انجام داد.

αf1 و αf2: نسبت سختی خمشی تیر به دال در جهات l1 و l2
l1 و l2: طول دهانه های دال در دو راستای متعامد
دراین صورت توزیع لنگر خمشی در نوارهای ستونی، میانی و تیرها مطابق روش طراحی مستقیم محاسبه می شود. در ستون ها و دیوارها مقدار لنگر خمشی طراحی براساس سختی های محاسباتی این اعضا مطابق روش قاب معادل و نتایج حاصل از تحلیل بدست می آید.
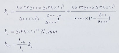
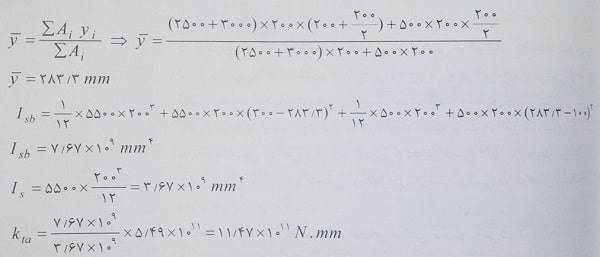
مثال: شکل زیر یک دال بتن آرمه به همراه تیر را نشان می دهد که برای تحلیل آن از روش قاب معادل استفاده می شود. مقطع ستون ها در این پلان به صورت مربعی و برابر 500 میلی متر بوده و عرض تیرها برابر 500 و ارتفاع آنها برابر 400 میلی متر می باشد. در صورتی که ضخامت دال برابر 200 میلی متر باشد، به هر یک از سوالات زیر پاسخ دهید. بتن از رده C25 می باشد.
الف) سختی پیچشی تیر در محاسبات قاب محور 2 را محاسبه کنید.
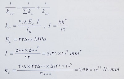
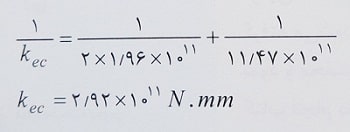
ب) در صورتی که ارتفاع آزاد ستون ها در طبقات فوقانی و تحتانی باربر 3 متر باشد و سختی ستون ها از رابطه 4.8EI/ln محاسبه گردد، مقدار سختی خمشی معادل ستون را محاسبه کنید.

حل: به منظور محاسبه سختی پیچشی تیر، با توجه به ابعاد مشخص شده برای تیر و ستون مقطع تیر عرضی به صورت زیر در نظر گرفته می شود.

دقت شود دو تیر عرضی طرفین محور 2 دارای مقطع مشابه ولی با طول های l2 متفاوت هستند، بنابراین مقدار Kt برابر است با:

در رابطه فوق Isb ممان اینرسی مجموعه دال تیر در نوار پوششی بوده که با توجه به اینکه محاسبات در امتداد محور 2 در نظر می باشد، لذا مقطع زیر در نظر گرفته می شود.


ب) به منظور محاسبه سختی معادل ستون ها داریم:

با توجه به اینکه دال مورد نظر در طبقه میانی واقع شده است، بنابراین در بالا و پایین آن ستون وجود داشته لذا پارامتر Kc با توجه به یکسان بودن مشخصات ستون ها با ضریب 2 در روابط لحاظ می شود.

طراحی خمشی دال های دو طرفه – طراحی خمشی دال های دو طرفه – طراحی خمشی دال های دو طرفه – طراحی خمشی دال های دو طرفه – طراحی خمشی دال های دو طرفه – طراحی خمشی دال های دو طرفه – طراحی خمشی دال های دو طرفه – طراحی خمشی دال های دو طرفه – طراحی خمشی دال های دو طرفه – طراحی خمشی دال های دو طرفه – طراحی خمشی دال های دو طرفه – طراحی خمشی دال های دو طرفه




دیدگاه خود را ثبت کنید
تمایل دارید در گفتگوها شرکت کنید؟در گفتگو ها شرکت کنید.