طراحی تیرهای تحت اثر لنگر پیچشی
طراحی تیرهای تحت اثر لنگر پیچشی
در این قسمت به بررسی نحوه محاسبه مقاومت پیچشی تیرها می پردازیم. روابط مقاومت پیچشی تیرها در مبحث دهم مقررات ملی ساختمان، در سه دسته مقاطع لوله ای، مقاطع قوطی شکل و سایر مقاطع ارائه شده است.
مقاومت پیچشی مقاطع لوله ای
مقاومت پیچشی طراحی اعضای با مقطع لوله ای، مساوی ΦTn می باشد، که در آن Φ ضریب کاهش مقاومت برابر پیچش 0.9 و Tn مقاومت پیچشی اسمی می باشد که براساس حالت های حدی تسلیم پیچشی و کمانش پیچشی با استفاده از رابطه زیر تعیین می شود.
![]()
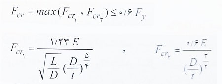
Fcr: تنش کمانشی مقطع می باشد که به صورت زیر محاسبه می شود:

C: ثابت پیچشی مقطع که برای مقاطع لوله ای به طور محافظه کارانه از رابطه زیر محاسبه می شود:

L: طول عضو D: قطر خارجی مقطع t: ضخامت جدار لوله
مثال: در شکل زیر، یک مقطع لوله ای تحت اثر لنگر پیچشی دیده می شود. مقاومت پیچشی اسمی این عضو تقریبا چند کیلونیوتن – متر می باشد؟ (فولاد مورد استفاده از نوع ST37)
1- 2100 2- 2400 3- 2700 4- 3000

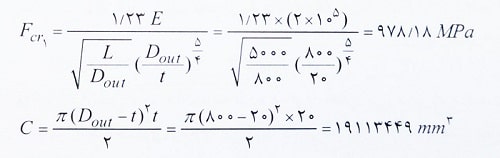
حل: مقاومت پیچشی مقاطع لوله ای از رابطه Tn=FcrC بدست می آید. برای مقطع این تست، مقادیر پارامترهای C و Fcr به صورت زیر تعیین شده و داریم:

از آنجاییکه Fcr باید بزرگترین مقدار بین Fcr1 و Fcr2 باشد و به هر حال نباید بیشتر از 0.6Fy=0.6×240=144MPa باشد، بدون محاسبه Fcr2 هم نتیجه می گیریم که باید برابر 144 مگاپاسکال در نظر بگیریم.
در ادامه برای تعیین لنگر پیچشی اسمی مقطع داریم:
![]()
نزدیکترین گزینه به مقدار بدست آمده گزینه 3 می باشد.
مقاومت پیچشی مقاطع قوطی شکل
در مقطع قوطی شکل نیز به مانند مقاطع لوله ای شکل، مقاومت پیچشی از رابطه کلی زیر بدست می آید.
.
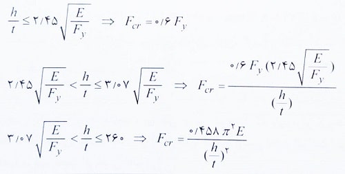
Fcr: مقدار این پارامتر برای مقاطع قوطی شکل بر حسب مورد از روابط زیر بدست می آید:

C: ثابت پیچشی مقطع که برای مقاطع قوطی شکل به طور محافظه کارانه از رابطه زیر محاسبه می شود.
![]()
توجه: پارامترهای هندسی به کار رفته در روابط فوق، مطابق شکل زیر هستند:

مثال: مقاومت پیچشی طراحی تیر با مقطع نشان داده شده در شکل زیر به کدامیک از گزینه های زیر نزدیکتر است؟ (طول تیر برابر 5 متر و ضخامت جدار مقطع یکنواخت فرض شود. فولاد مصرفی با Fy=240MPa و E=2×10^5MPa)
1- 48 2- 58 3- 68 4- 78

حل: براساس توضیحات ارائه شده در این بخش، می دانیم که مقاومت پیچشی طراحی اعضای با مقطع لوله ای و قوطی شکل مساوی ΦTn که در آن Φ برابر 0.9 و Tn مقاومت پیچشی اسمی مقطع است که به صورت Tn=FcrC محاسبه می شود.
حال برای تعیین مقدار Fcr در مقطع قوطی شکل براساس نسبت پارامترهای h و t داریم:

توجه: در محاسبه پارامتر h، باید شعاع گردی بین اتصال دو وجه مقطع نیز از کل اندازه وجه کاسته شود. البته در این سوال چون مقدار این شعاع مشخص نشده است، به طور محافظه کارانه از این موضوع صرف نظر کردند.
البته می توانستیم مشابه توصیه آیین نامه در بحث مقاومت برشی مقاطع قوطی شکل در صورت معلوم نبودن شعاع گردی گوشه، برای محاسبه h کل عرض مقطع رامنهای 3 برابر ضخامت مقطع کنیم .
در ادامه حل این سوال ابتدا مقدار ثابت پیچشی مقطع قوطی شکل را محاسبه کرده و سپس مقاومت پیچشی آن را تعیین می کنیم .

نزدیکترین گزینه به مقاومت پیچشی طراحی فوق، گزینه 2 می باشد.
مقاومت پیچشی سایر مقاطع
به طور کلی مقاومت پیچشی طراحی اعضاء، مساوی ΦTn می باشد که در آن Φ برابر 0.9 و Tn مقاومت پیچشی اسمی می باشد که باید برابر کوکترین مقدار محاسبه شده براساس حالت های حدی تسلیم تحت اثر تنش قائم، تسلیم برشی تحت اثر اثر تنش برشی و کمانش در نظر گرفته شوند.
الف) تسلیم تحت اثر تنش قائم:
Fn=Fy
2) تسلیم برشی تحت اثر تنش برشی:
Fn=0.6Fy
3) حالت حدی کمانش:
Fn=Fcr
Fn: تنش مقاوم ناشی از پیچش مقطع است که با ضرب در مقدار ثابت پیچشی مقطع، مقدار لنگر پیچشی اسمی را نتیجه می دهد (Tn=FnC)
Fcr: تنش کمانشی که از طریق تحلیل کمانشی عضو مورد نظر تعیین می گردد.
طراحی تیرهای تحت اثر لنگر پیچشی – طراحی تیرهای تحت اثر لنگر پیچشی




دیدگاه خود را ثبت کنید
تمایل دارید در گفتگوها شرکت کنید؟در گفتگو ها شرکت کنید.