طراحی برشگیرها در تیرهای مختلط
طراحی برشگیرها در تیرهای مختلط
رفتار مناسب مقاطع مختلط در برابر بارهای وارده، مستلزم عملکرد همزمان مصالح فولادی و بتنی به کار رفته در آنها است.
آیین نامه ها استفاده از اجزایی به نام برشگیر را در اعضای مختلط لازم می دانند تا از لغزش بین لایه های فولاد و بتن که در تماس با یکدیگر هستند جلوگیری شود.
در این قسمت می خواهیم ضوابط طراحی برشگیرها و ضوابط اجرایی آنها را بررسی کنیم.
برشگیرها
به منظور حصول اطمینان از عملکرد یکپارچه بتن و فولاد در تیرهای مرکب لازم است، برش ایجاد شده در محل اتصال بتن و فولاد توسط اعضایی موسوم به برشگیر تحمل شود انواع برشگیرها در شکل زیر دیده می شوند:

در یک تیر تحت خمش، برش افقی کل که باید بین نقطه حداکثر لنگر خمشی و نقطه لنگر صفر تحمل گردد، مساوی با کوچکترین مقدار بدست آمده از دو رابطه زیر می باشد:

fc: مقاومت فشاری مشخصه نمونه استوانه ای بتن
Ac: مساحت واقعی سطح موثر بتنی
As: سطح مقطع تیر فولادی
Fy: تنش تسلیم نیمرخ فولادی
برای عملکرد مختلط کامل، حداقل تعداد برشگیرها در هر طرف نقطه با حداکثر لنگر خمشی، از رابطه زیر محاسبه می گردد:

Vhu: نیروی برشی افقی
Qn: مقاومت برشی اسمی یک عدد برشگیر که به صورت زیر محاسبه می گردد:

tf: ضخامت متوسط بال ناودانی tw: ضخامت جان ناودانی
Ec: مدول الاستیسیته بتن fc: مقاومت فشاری بتن
La: طول ناودانی

که در آن:
Asa: مساحت مقطع گل میخ Ec: مدول الاستیسیته بتن
fc: مقاومت فشاری مشخصه بتن Fu: تنش کششی نهایی حداقل مصالح گل میخ
در هر دو رابطه فوق که مقدار Qn را محاسبه می کنند، پارامترهای tf، tw و La بر حسب میلی متر، پارامتر Asa بر حسب میلی متر مربع و پارامترهای fc، Ec و Fu برحسب مگاپاسکال هستند.
Rp و Rg: ضرایب اصلاحی طبق جدول زیر:

توجه: در جدول بالا، پارامترهای wr و hr به ترتیب پهنای متوسط و ارتفاع کنگره های ورق های فولادی هستند که در شکل زیر دیده می شوند:

مثال: یک تیر دو سر ساده با مقطع مختلط خمشی، از یک تیرورق I شکل با جان PL500x10mm و بال های PL200x15mm تشکیل شده است. ضخامت دال 120 میلی متر و عرض موثر آن در هر طرف تیر 600 میلی متر است. میلگرد دال S340 رده بتن C25 و فولاد تیر ورق ST37 (یعنی Fy=240MPa و Fu=370MPa) فرض می شود. برای عملکرد مختلط کامل این تیر، مقاومت برشی افقی مورد نیاز به کدامیک از مقادیر زیر نزدیکتر است؟
1- 3060 2- 2640 3- 1530 4- 1320

حل: می دانیم که برای عملکرد کامل یک تیر، باید برش افقی کل به صورت زیر محاسبه شود:
![]()
بنابراین برای حل این سوال داریم:

بنابراین گزینه 2 صحیح است.
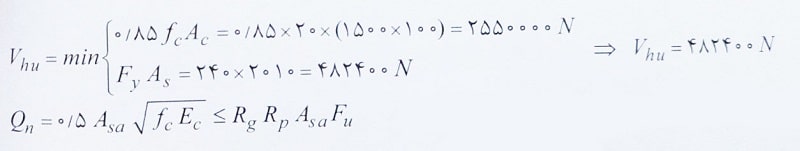
مثال: در تیر مختلط زیر، عرض موثر هر تیر 1.5 متر می باشد. در صورتی که از گل میخ تک به قطر 20 میلی متر با تنش نهایی 600 مگاپاسکال استفاده شده و دال بدون استفاده از ورق های شکل داده شده باشد، فاصله گل میخ ها از یکدیگر چقدر باید باشد؟ تیرهای فولادی با تکیه گاه ساده و طول تیر 5 متر می باشد. (ضخامت دال بتنی 100 میلی متر و همچنین fc=20MPa و Ec=22360MPa و Fy=240MPa و مساحت مقطع تیر فولادی 2010mm2 است)
1- 20 سانتی متر 2- 30 3- 50 4- 80

حل: برش افقی کل که بین نقطه لنگر خمشی حداکثر و نقطه لنگر خمشی صفر تحمل می گردد، برابر با حداقل دو مقدار زیر می باشد:

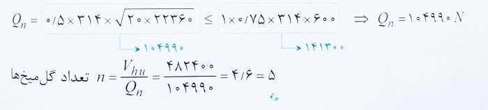
از سوی دیگر مقاومت برشی اسمی یک عدد گل میخ برابر است با مقدار Qn بالا.
Asa: سطح مقطع گل میخ برابر ![]()
Rg و Rp: از جدول به ترتیب برابر 1 و 0.75

توجه کنید که n تعداد گل میخ ها در هر طرف از نقطه با حداکثر لنگر خمشی می باشد و با توجه به نمودار لنگر خمشی تیر، این تعداد باید در طول 250 سانتی متر استفاده شوند.

بنابراین فاصله گل میخ ها از یکدیگر برابر است با:

بنابراین گزینه 3 صحیح است.
مثال: یک تیر دو سر ساده با مقطع عملکرد مختلط با دهانه 6 متر موجود است. اگر ضخامت دال بتنی 100 میلی متر تیرچه فولادی IPE200 ( مساحت 2850 میلی متر مربع) به فاصله 2 متر و عرض موثر دال بتنی هر تیرچه 1.5 متر باشد و در صورتی که از ناودانی UNP60 به طول 60 میلی متر با فواصل مساوی از یکدیگر به عنوان برشگیر استفاده شود، حداکثر فاصله ناودانی ها بر حسب میلی متر حدودا چقدر است؟ (رده بتن C30 و با Ec=30000MPa، فولاد با Fy=240MPa، ضخامت جان ناودانی برابر tw=6mm و ضخامت بال ناودانی برابر tf=6 mm بوده و تیر بار گسترده یکنواخت را تحمل می کند)
1- 200 2- 800 3- 400 4- 600
حل: مقاومت برشی مورد نیاز را باید برابر کوچکترین مقدار محاسبه شده براساس حالت های حدی خردشدگی بتن و تسلیم کششی مقطع فولادی در نظر بگیریم.

از سوی دیگر مقاومت برشی اسمی برشگیرها ناودانی استفاده شده برابر است با:
![]()
همچنین می توان تعداد برشگیرهای مورد نیاز را به سادگی بدست آورد:

حال می توان با توجه به اینکه این تعداد از برشگیرها باید در فاصله لنگر صفر (تکیه گاه) و لنگر ماکزیمم (وسط تیر) با فواصل مساوی توزیع شوند، حداکثر فاصله ناودانی ها بدست می آید:

بنابراین طبق آیین نامه حداکثر فاصله باید برای ناودانی ها 500 میلی متر باشد.
بنابراین گزینه 4 صحیح است.




دیدگاه خود را ثبت کنید
تمایل دارید در گفتگوها شرکت کنید؟در گفتگو ها شرکت کنید.