طبقه بندی مقاطع فولادی از نظر کمانش موضعی
طبقه بندی مقاطع فولادی از نظر کمانش موضعی
یکی از تفاوت های طراحی اعضای فولادی با اعضای بتنی، بررسی موضوع کمانش موضعی است.
به طور کلی هر جزئی از مقطع فولادی که تحت تنش فشاری قرار داشته باشد، مستعد کمانش موضعی خواهد بود و طراح سازه باید این موضوع را به دقت بررسی نماید.
در این پست قصد داریم ضوابط مرتبط با کمانش موضعی اعضای فولادی را بررسی کنیم که در دو دسته اعضای تحت فشار محوری ( نظیر ستون ها ) و اعضای تحت لنگر خمشی ( نظیر تیرها ) دسته بندی می شوند.
توجه کنید که کنترل کمانش موضعی اعضای با مقطع مختلط ( کامپوزیت ) و کنترل فشردگی لرزه ای نیز در قسمت های بعدی انجام خواهد گرفت.
مفهوم کنترل کمانش موضعی
در سازه های فولادی، نیمرخ های مورد استفاده به صورت نورد شده یا ساخته شده با ورق هستند.
در هر دوی این حالت ها، با توجه به اینکه اجزای مقطع ( بال و جان ) نازک هستند، می توان انتظار ایجاد پدیده کمانش موضعی را داشت.
کمانش موضعی یک مقطع فولادی به این معناست که در قسمت های تحت فشار مقطع، اعضاء به طور موضعی تغییر شکل می دهند.

کمانش موضعی برای مقاطع فولادی یک ضعف محسوب می شود. به همین دلیل برای اینکه بتوانیم در طراحی از تمام ظرفیت مقطع استفاده کنیم، باید وضعیت کمانش موضعی بررسی شود.
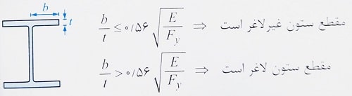
براساس آیین نامه برای کنترل این موضوع نسبت پهنا به ضخامت اجزای مقطع با مقدار مجاز مقایسه می شود.
به طور مثال برای شکل زیر یک ستون I شکل، نسبت b/t برای بال ستون باید به صورت عنوان استفادهه شده بررسی شود:

نکته 1: این موضوع که مقدار پهنای آزاد برای هر جزء از مقطع چگونه باید محاسبه شود، توسط آیین نامه تعیین شده و توضیح می دهیم.
نکته 2: مقادیر مجاز نسبت پهنا به ضخامت ( b/t ) بر حسب نوع مقطع و شرایط استفاده از آنها متفاوت است که این موضوع نیز توضیح داده می شود.
تعاریف مرتبط به پهنای آزاد اجزای مقطع
برای تعیین مقدار پهنای آزاد هر قسمت از مقطع، ابتدا اجزای مقطع به دو دسته زیر تقسیم بندی می شوند:
1- اجزای تقویت نشده: اجزایی که فقط در یک لبه خود در امتدادی به موازات نیروی فشاری نگهداری شده اند، مانند بال مقاطع I شکل یا ساق های یک نبشی
2- اجزای تقویت شده: اجزایی که در هر دو لبه خود در امتداد موازی با نیروی فشاری نگهداری شده اند، مانند جان مقاطع I شکل یا بال مقاطع تو خالی.
پهنای آزاد اجزای تقویت نشده
در مورد اجزای تقویت نشده مقطع، براساس چهار حالت زیر می توان پهنای آزاد اجزای مقطع را محاسبه کرد:

پهنای آزاد اجزای تقویت شده
در مورد اجزای تقویت شده مقطع، یکی از شش حالت زیر ملاک عمل تعیین پهنای آزاد می باشد:
الف) برای جان مقاطع نورد شده یا شکل داده شده، h عبارت است از فاصله بین نقاط شروع گردی ریشته اتصال جان به بال.

ب) سایر مقاطع I شکل
ب -1) برای جان مقطع ساخته شده از ورق، h عبارت است از فاصله بین نزدیکترین دو خط و سایل اتصال و چنانچه از جوش استفاده شده باشد، h برابر فاصله خالص بین دو بال است.
ب – 2) برای مقاطع با بال های نامساوی، hc عبارت است از دو برابر فاصله محور خنثی الاستیک تا نزدیک ترین ردیف وسایل اتصال در سمت بال فشاری و چنانچه از جوش استفاده شده باشد، عبارت است از دو برابر فاصله محور خنثی الاستیک تا رویه داخلی بال فشاری.

ب – 3) برای مقاطعی با بال های نامساوی hp عبارت است از دو برابر فاصله محور خنثی پلاستیک تا نزدیک ترین ردیف وسایل اتصال در سمت بال فشاری و چنانچه از جوش استفاده شده باشد، عبارت است از دو برابر فاصله محور خنثی پلاستیک تا رویه داخلی بال فشاری.
پ) برای مقاطع جعبه ای ساخته شده از ورق، پهنای b و h عبارت است از فاصله بین دو خط وسایل اتصال یا دو خط جوش.

ت) برای ورق های پوششی ( تقویتی ) در بال تیرها و ورق های دیافراگم در مقاطع ساخته شده از ورق، پهنای b عبارت است از فاصله بین دو خط وسایل اتصال یا دو خط جوش است.
ث) برای بال های مقاطع توخالی مستطیلی شکل ( HSS )، پهنای b عبارت است از فاصله آزاد بین جان ها منهای شعاع گوشه داخلی در هر طرف. برای جان های مقاطع تو خالی مستطیل شکل ( HSS )، h عبارت است از فاصله آزاد بین بال ها منهای شعاع گوشه داخلی در هر طرف.

نکته: چنانچه شعاع گوشه ها، معلوم نباشه، مقادیر b و h را می توان معادل بعد متناظر خارجی منهای سه برابر ضخامت در نظر گرفت.

ج) برای مقاطع تو خالی دایره ای شکل، D عبارت است از قطر خارجی مقطع دایره ای.

کنترل کمانش موضعی در اعضای تحت نیروی فشاری
در صورتی که به یک مقطع نیروی فشاری وارد شود، همه تارهای آن تحت تنش فشاری قرار می گیرند. در این حالت مقطع در یکی از دو حالت زیر قرار می گیرد:
مقطع با اجزای غیر لاغر: اگر نسبت پهنا به ضخامت اجزای مقطع از λr تجاوز نکند.
مقطع با اجزای لاغز: اگر نسبت پهنا به ضخامت اجزای مقطع از λr بیشتر شود.
مقدار پارامتر λr برای مقاطع تحت فشار از جدول زیر تعیین می شود.

مثال: برای تقویت یک بال فشاری خرپا، از مقطع زیر استفاده شده است. اگر فولاد مورد استفاده برای ساخت عضو خرپا دارای Fy=240 MPa و فولاد ورق های تقویتی دارای Fy=360 MPa باشد، حداقل ضخامت های مناسب برای ورق های 1 و 2 با توجه به کنترل فشردگی چقدر است؟
1- t1=8 mm و t2= 5 mm
2- t1=10 mm و t2= 5 mm
3- t1=12 mm و t2= 4 mm
4- t1=10 mm و t2= 4 mm

حل: برای پاسخ به این تست، ابتدا دقت کنید که در اعضای فشاری نظیر یال فشاری خرپا، حداکثر مجاز برای نسبت پهنا به ضخامت ورق های تقویتی از رابطه زیر بدست می آید که در آن، Fy تنش تسلیم ورق مورد بررسی ( یعنی ورق تقویتی) است.

حال برای تعیین ضخامت ( t ) مناسب برای هر ورق، باید مقدار پارامتر b برای آن ورق مشخص باشد. در ورق تقویتی 1 هر چند طول ورق 380 میلی متر است، ولی فاصله بین جوش های آن حکم تکیه گاه را برای ورق ها دارند که برابر 300 میلی متر است.
پس عرض محاسباتی این ورق در هنگام کنترل فشردگی برابر 300 میلی متر است، در مورد ورق تقویتی 2 که اتصال پیچی دارد، مقدار b برابر فاصله مرکز به مرکز پیچ ها است، پس در مجموع داریم:

پس با استفاده از ورق 10 میلی متر برای t1 و 5 میلی متر برای t2، می توان کنترل فشردگی آنها را مناسب دانست. بنابراین گزینه 2 صحیح است.
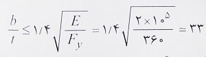
مثال: یک طراح سازه برای طراحی ستون یک سازه صنعتی که تنها تحت نیروی محوری فشاری ناشی از بارهای ثقلی قرار می گیرد، قصد دارد از مقطع لوله ای شکل به ضخامت 20 میلی متر استفاده کند. اگر طراح بخواهد مقطع ستون فشرده بوده و برابر کمانش موضعی دارای ضریب اطمینان 2 باشد، مساحت مقطع لوله تقریبا چقدر باید باشد؟ ( Fy=240 MPa )
1- 50000 2- 55000 3- 58000 4- 60000 میلی متر مربع
حل: نسبت فشردگی برای مقطع ستون لوله ای به صورت زیر بدست می آید:

می دانیم که اگر نسبت D/t دقیقا برابر با مقدار فوق باشد، ضریب اطمینان در برابر کمانش موضعی برابر 1 است، با توجه به اینکه طراح این سازه قصد دارد ضریب اطمینان 2 را در این موضوع به کار گیرد، باید نسبت فشردگی مجاز را محدودتر کرده و آن را به 2 تقسیم کنیم پس داریم:

بنابراین مساحت مقطع لوله جدار نازک برابر است با:
![]()
بنابراین گزینه 3 صحیح است.
کنترل کمانش موضعی در اعضای تحت لنگر خمشی
در صورتی که به یک مقطع، لنگر خمشی وارد شود قسمتی از مقطع تحت کشش و قسمتی دیگر تحت فشار قرار می گیرد. در این صورت مقطع یکی از سه وضعیت زیر را دارد:
- مقطع فشرده: اگر اتصال بال به جان به صورت سرتاسری و پیوسته باشد و در ناحیه فشاری مقطع، نسبت پهنا به ضخامت همه اجزای مقطع از مقدار λp تجاوز نکند.
- مقطع غیر فشرده: اگر نسبت پهنا به ضخامت یک یا چند جزء مقطع از مقدار λp بیشتر بوده ولی از λr کمتر باشد.
- مقطع با اجزای لاغر: اگر نسبت پهنا به ضخامت یک یا چند جزء مقطع از λr بیشتر شود.
مقدار پارامترهای λp و λr برای مقاطع تحت خمش از جدول زیر بدست می آید:


یادداشت جدول
برای استفاده از جداول بالا پارامترهایی لازم هستند که به صورت زیر تعریف می شوند:
1- مشخصات مصالح شامل E، مدول الاستیسیته فولاد ( 2×10^5 مگا پاسکال) و Fy: تنش تسلیم فولاد
2- مقدار Kc از رابطه زیر تعیین می شود:

3- برای خمش حول محور قوی در مقاطع I شکل ساخته شده از ورق با جان فشرده و غیر فشرده، مقدار FL از رابطه زیر تعیین می شود.

که در آن Sxt: اساس مقطع پلاستیک نسبت به بال کششی؛ Sxc: اساس مقطع الاستیک نسبت به بال فشاری.
4- لنگرهای مقاوم مقطع شامل My: لنگر تسلیم دورترین تار و Mp: لنگر خمشی پلاستیک.
مثال: تیرورقی با مقطع زیر از فولادی ST37 ( Fy=240 MPa , Fu=370 MPa ) با اتصال جوش به بال ساخته شده است و تحت لنگر خمشی مثبت قرار دارد. بال فشاری این مقطع از نظر کمانش موضعی چگونه طبقه بندی می شود؟
1- لاغر 2- فشرده 3- غیر فشرده 4- با اطلاعات داده شده قابل بررسی نیست.

حل: برای کنترل بال مقطع I شکل ساخته شده از ورق با یک یا دو محور تقارن داریم:

برای محاسبه پارامترهای Kc و FL با استفاده از یادداشت گفته شده بعد از جدول داریم:

برای محاسبه FL، ابتدا باید محل محور خنثی مقطع تعیین شود. سپس براساس نسبت اساس مقطع حول تار کششی و فشاری، مقدار FL محاسبه می شود. با انتخاب تار پایین به عنوان محور مبنا داریم:

در ادامه با محاسبه λr و λp می توان فشردگی مقطع را کنترل کرد و داریم:

توجه 1: برای لنگر خمشی مثبت، بال فشاری مقطع بال فوقانی می باشد.
توجه 2: برای مقطع ساخته شده از ورق، پهنای آزاد بال ( b ) برابر فاصله بین لبه آزاد تا خط جوش می باشد.
بنابراین گزینه 3 صحیح است.
مثال: تیر ورق شکل زیر تحت خمش حول محور قوی قرار دارد. بال های این تیر ورق به طور سرتاسری و پیوسته توسط جوش گوشه با بعد 10 میلی متر به جان متصل می باشند. در خصوص طبقه بندی مقطع تیر از منظر کمانش موضعی، کدام گزینه صحیح است؟ ( Fy=240 MPa و واحدها در شکل به میلی متر هستند. )
1- مقطع با بال فشرده و جان لاغر
2- غیر فشرده ( مقطع با بال و جان غیر فشرده )
3- فشرده ( مقطع با بال و جان فشرده )
4- مقطع با اجزای لاغر ( مقطع با بال غیر فشرده و جان لاغر )

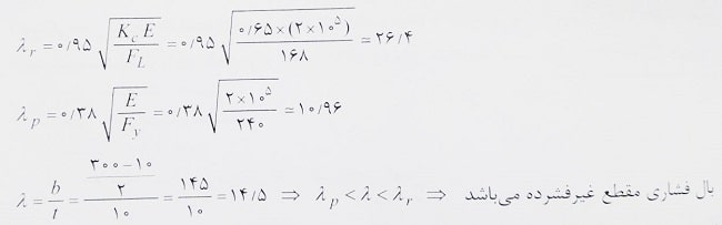
حل: با توجه به جدول بالا، نسبت های فشردگی برای بال و جان تیر ورق تحت خمش به صورت زیر می باشد.

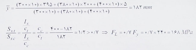
مثال: تیر شکل زیر را در نظر بگیرید که تحت اثر نیروهایی به سمت بالا قرار دارد. برای این تیر، مقطعی پیشنهاد شده است که موقعیت محور خنثی الاستیک ( CG ) و محور خنثی پلاستیک ( PNA ) آن در شکل دیده می شود. اگر این مقطع از فولاد با Fy=2400 kg/cm2 و E=2×10^6 kgf/cm2 ساخته شده باشد، وضعیت فشردگی جان آن چگونه است؟ ( اساس مقطع الاستیک نسبت به تار بالای مقطع برابر 35608 سانتی متر مکعب، اساس مقطع الاستیک نسبت به تار پایین مقطع برابر 43394 سانتی متر مکعب و اساس مقطع پلاستیک برابر 44850 سانتی متر مکعب می باشد.)
1- جان مقطع فشرده است.
2- جان مقطع غیر فشرده است.
3- جان مقطع لاغر است.
4- با اطلاعات داده شده، نمی توان اظهار نظر کرد.

حل: برای حل این تست باید ردیف 16 جدول بالا را استفاده کنیم، به این منظور مراحل را به ترتیب انجام می دهیم:
از آنجا که تیر مورد نظر دو سر ساده بوده و تحت نیروهایی به سمت بالا قرار دارد، لنگر خمشی منفی در آن ایجاد می شود. پس بال بالایی تیر تحت کشش و بال پایینی تحت فشار قرار می گیرد ( متفاوت با تیرهای متداول ).
2- براساس ردیف 16 جدول مذکور، نسبت پهنا به ضخامت جان مقطع I شکل با یک محور تقارن، به صورت hc/tw است. پس ابتدا مقدار hc را تعیین می کنیم. براساس آیین نامه، مثدار hc/2 به صورت فاصله محور خنثی الاستیک ( CG ) تا وجه داخلی بال فشاری ( بال پایینی ) تعریف می شود.

توجه: همچنین پارامتر hp را برای محاسبه λp نیاز داریم، بر اساس آیین نامه، مقدار hp/2 به صورت فاصله محور خنثی پلاستیک ( PNA ) تا وجه داخلی بال فشاری ( بال پایینی ) تعریف می شود و داریم:

3- برای کنترل فشردگی جان مقطع، باید مقادیر λp و λr بدست آید. محاسبه مقدار λr راحت است ولی محاسبه مقدار λp دشوار می باشد. پس در ابتدا مقدار λr را محاسبه کرده و با مقدار hc/tw مقایسه می کنیم. زیرا اگر hc/tw بزرگتر باشد، جان مقطع لاغر بوده و گزینه 3 صحیح است.

4- حال باید مقدار λp را محاسبه کرده و بین گزینه های 1 و2 یکی را انتخاب کنیم. برای محاسبه مقدار λp به نسبت مقادیر Mp و Mr نیازمندیم.
5- پارامتر Mp لنگر پلاستیک مقطع است که برابر FyZ می باشد و پارامتر My حداقل لنگر تسلیم مقطع است که برابر FyS می باشد. به طوری که S کمترین مقدار اساس مقطع است ( مربوط به دورترین تار مقطع ). پس برای محاسبه Mp باید از Z=44850 cm3 و برای محاسبه My از S=35608 cm3 استفاده کنیم.
6- مقدار λp به صورت زیر محاسبه خواهد شد:

بنابراین گزینه 2 صحیح است.
طبقه بندی مقاطع فولادی از نظر کمانش موضعی – طبقه بندی مقاطع فولادی از نظر کمانش موضعی – طبقه بندی مقاطع فولادی از نظر کمانش موضعی – طبقه بندی مقاطع فولادی از نظر کمانش موضعی – طبقه بندی مقاطع فولادی از نظر کمانش موضعی




دیدگاه خود را ثبت کنید
تمایل دارید در گفتگوها شرکت کنید؟در گفتگو ها شرکت کنید.