ضوابط پی های سطحی در مبحث هفتم ساختمان
ضوابط پی های سطحی در مبحث هفتم ساختمان
مقدمه
در این پست قصد داریم تا بحث پی های سطحی را (که یکی از مهمترین موضوعات مبحث هفتم می باشد) مورد بررسی قرار بدیم.
به همین منظور، ابتدا با مهمترین اصطلاحات و پارامترهای مرتبط با پی های سطحی را که در مبحث هفتم مقررات ملی ساختمان ذکر شده اند، به اختصار توضیح دهیم.
پس از آن ضمن بررسی و تغییر بندهای این مبحث، سوالات مطرح شده در آزمون های نظام مهندسی و همچنین مثال های تالیفی هر موضوع را می بینیم.
1- عمق اجرایی پی: عمق پی از سطح زمین که معمولا آن را با Df نشان می دهیم.
2- پی سطحی: فونداسیونی است که عمق آن از سطح زمین (Df) خیلی کم بوده، به طوری که اگر B عرض ضلع کوچکتر پی باشد، رابطه Df≤3B برقرار خواهد بود.
3- ظرفیت باربری: حداکثر تنش فشاری قابل تحمل توسط خاک زیر پی می باشد.
4- لغزش پی: جابه جایی افقی پی ناشی از نیروی جانبی وارد بر آن را لغزش پی می گوییم.
5- نشست یکنواخت: پایین رفتن متقارن پی و ساختمان روی آن ناشی از بارهای وارده نشست یکنواخت پی نامیده می شود.
6- نشست غیر یکنواخت: نشست نابرابر در نقاط مختلف پی است.
7- چرخش پی: در اثر نشست غیر یکنواخت در پی، این عضو و سازه روی آن دچار لغزش می شوند.
8- هنسن، مایرهوف، وسیک و دبیر: برخی از محققین ژئوتکنیک هستند که در مورد نحوه محاسبه ظرفیت باربری پی نظریه داده اند.
9- آزمون های درجا: یک سری آزمایش که در محل پروژه انجام می شوند.
10- نشست و چرخش مجاز سازه: حداکثر نشست یکنواخت، غیر یکنواخت و چرخشی که برای انواع پی ها و سازه روی آنها قابل قبول است.
11- پی منفرد: یک پی تکی (مربعی، دایره ای یا مستطیلی) که فقط یک ستون روی آن قرار دارد.
12- پی نواری: یک پی مستطیلی طولانی که چندین ستون بر روی آن واقع شده اند.
13- پی شبکه ای (نواری دو طرفه): پی های نواری عمود بر هم را پی شبکه ای می نامیم.
14- پی گسترده: وقتی کل ستون های یک ساختمان بر روی یک پی قرار می گیرند، به آن پی گسترده می گوییم.
15- ضریب اطمینان: حداقل مقدار مورد نیاز برای نسبت عوامل (تنش ها، نیروها و یا لنگرهای) مقاوم به عوامل محرک است، مقادیر کافی و مناسب آن توسط آیین نامه مشخص می شود.
16- روش تنش مجاز: در این روش ترکیب بارها بدون اعمال ضرایب فزاینده در نظر گرفته می شوند. همچنین نیروها و تنش های مقاوم خاک به ضریب اطمینان تقسیم می شوند و کاهش می یابند.
17- روش حالت حدی: در این روش از ترکیب بارهای ضریبدار استفاده می شود. همچنین نیروها و تنش های مقاوم با در نظر گرفتن ضرایب کاهش مقاومت، قدری کاهش می یابند.
18- پی صلب: فونداسیون که ضخامت آن نسبت به ابعادش قابل توجه بوده و خم شدگی برای آن در نظر نمی گیریم.
19- پی انعطاف پذیر: فونداسیون که ضخامت آن در مقایسه با ابعادش خیلی بزرگ نیست و می تواند دچار خمیدگی شود.
20- Ks: ضریب عکس العمل بستر خاک زیر پی که در محاسبه تنش و نشست پی تاثیر گذار است.
اکنون به بررسی بندهای مبحث هفتم مقررات ملی ساختمان در مورد پی های سطحی پرداخته و آن ها را تفسیر می کنیم. همچنین در هر موضوع سوالات آزمون های نظام مهندسی، کارشناسی رسمی و تست های تالیفی را نیز مشاهده و حل خواهیم کرد.
کنترل ظرفیت باربری در پی های سطحی
گسیختگی خاک ناشی از کمبود ظرفیت باربری (مقاومت)
برای آنکه یک پی ایمنی کافی در برابر گسیختگی ناشی از کمبود ظرفیت باربری داشته باشد، باید نامساوی زیر در همه حالات حدی نهایی و برای کلیه ترکیبات بارگذاری برقرار شود.
F≤R
که در آن:
F: بار سازه وزن پی و خاک روی آن می باشد.
R: باربری نهایی خاک زیر پی می باشد.
تفسیر کاربردی نحوه کنترل اولیه ظرفیت باربری خاک
خاک زیر پی نباید دچار گسیختگی شود، در غیر اینصورت بدون آنکه المانی از سازه خراب شود، ناگهان کل ساختمان فرو می ریزد.
ساده ترین روش برای کنترل این موضوع آن است که بگوییم باید برآیند نیروهای قائم سازه (F) شامل بارهای مرده و زنده و … از نیروی مقاوم نهایی قائم خاک (R) کمتر شود.

البته در برخی شرایط لازم است تنش در نقاط مختلف زیر پی را بدست آورده و آن را با تنش مقاوم خاک مقایسه کنیم که در موضوع های بعدی به آن می پردازیم.
ظرفیت باربری پی های سطحی
جهت تعیین ظرفیت باربری پی می توان از یکی از روش های ذیل بر حسب مورد و شرایط استفاده کرد:
استفاده از روابط نظری ظرفیت باربری
پس از تعیین مشخصات خاک برای تعیین ظرفیت باربری، باید از روابط موجود در مراجع متداول معتبر استفاده شود. نکات زیر در خصوص به کارگیری روابط نظری در تعیین ظرفیت باربری توصیه می شود:
*رابطه و ضرایب ظرفیت باربری از روش “هنسن”
*ضرایب شیب بار از پیشنهادات “مایرهوف” یا “ویسک”
*استفاده از طول و عرض موثر (‘L و ‘B) در رابطه ظرفیت باربری در صورت وجود لنگر خمشی
*ضریب عمق از پیشنهاد “هنسن” یا “ویسک”
*ضرایب شیب کف پی و ضرایب شیب سطح زمین از پیشنهادات “هنسن”
*ضرایب شکل از پیشنهادات “دبیر”
*لحاظ نمودن اثر آب زیرزمینی در محاسبه ظرفیت باربری
تفسیر کاربردی
ظرفیت باربری (تنش نهایی قابل تحمل خاک) از رابطه نظری (تئوری) زیر بدست می آید:

در این رابطه:
1-Nc و Nq و NΥ ضرایب اصلی نامیده می شوند که طبق بند آیین نامه از روش هنسن بدست می آیند.
2- Sc و Sq و SY ضرایب شکل هستند که باید از پیشنهادات دبیر محاسبه شوند. اگر پی نواری باشد ( یا L≥10B) این سه ضریب برابر یک در نظر گرفته می شوند (L طول و B عرض پی هستند)
3- dc و dq و dY ضرایب عمق هستند که باید طبق آیین نامه با نظریه هنسن یا ویسک محاسبه شوند. اگر پی در سطح خاک باشد (Df=0 شود) این سه ضریب برابر یک در نظر گرفته می شوند.
شکل های زیر منظور ما از عمق پی را در حالت های مختلف نشان می دهند.

4- ic و iq و iY ضرایب شیب بار هستند که اثر مایل بودن برآیند وارد بر پی را نشان می دهند و با توجه به آیین نامه، طبق پیشنهاد مایرهوف یا ویسک بدست می آیند. اگر بار به صورت عمود بر پی وارد شود، این سه ضریب برابر یک در نظر گرفته می شوند.

5- bc و bq و bY ضرایب شیب کف پی هستند و gc و gq و gY ضرایب شیب کنار پی هستند که با توجه به آیین نامه، باید از پیشنهادات هنسن محاسبه شوند. اگر پی شیب دار نباشد ضرایب b برابر یک بوده و اگر زمین کنار پی شیب دار نباشد، ضرایب g نیز برابر یک خواهند بود.

6- گاهی رابطه ظرفیت باربری بدون در نظر گرفتن ضرایب فرعی به صورت ساده شده زیر نیز استفاده می شود:
![]()
7- اگر بار وارد بر پی خروج از مرکزیت داشته باشد، به جای B از ‘B استفاده می شود که این موضوع باعث کاهش ظرفیت باربری خواهد شد (B'<B)
8- اگر سطح آب زیر زمینی در نزدیکی پی باشد، Y (وزن مخصوص خاک) کاهش یافته و ظرفیت باربری نیز کاهش خواهد یافت.
استفاده از آزمون های درجا
از نتایج آزمایش های درجا مثل نفوذ استاندارد، نفوذ مخروط و پرسیومتر می توان به صورت مستقیم یا غیر مستقیم برای تعیین ظرفیت باربری استفاده کرد.
استفاده غیر مستقیم: پارامترهای مقاومتی خاک از آزمایش در محل بدست آمده و سپس در روابط نظری به کار می روند.
استفاده مستقیم: از روابط تجربی که رابطه مستقیم بین نتایج آزمایش های در محل و ظرفیت باربری ارائه می کنند استفاده می شود. در خصوص استفاده از روابط تجربی باید نکات زیر مورد توجه باشند:
- رابطه تجرای باید در مرجع معتبر منتشر شده باشد.
- روابط تجربی که برای خاک منطقه مورد نظر در ایران توسعه و اعتبار سنجی شده اند اولویت دارند.
علاوه بر روش های نظری می توان ظرفیت باربری نهایی خاک (qult) را با استفاده از یک سری آزمایش میدانی (درجا) در محل پروژه نیز بدست آورد که در مبحث هفتم مقررات ملی ساختمان به سه آزمایش نفوذ استاندارد (SPT)، نفوذ مخروط (CPT) و پرسیومتری (فشارسنجی یا PMT) اشاره شده است.
با انجام آزمایش های می توانیم مستقیما و با استفاده از یک رابطه تجربی، مقدار ظرفیت باربری خاک را مشخص کنیم. همچنین می توانیم پارامترهای فیزیکی خاک را بدست آورده و براساس آنها مقدار ظرفیت باربری خاک را محاسبه کنیم.
مثال: برای پی شکل زیر، باید اثر کدام عوامل و براساس نظریه کدام محقق لحاظ شوند( پی مربعی است)
1- فقط ضرایب b براساس نظریه هنسن
2- ضرایب b و i و s براساس نظریه هنسن، مایرهوف و دبیر
3- ضرایب b و s براساس نظریه هنسن و دبیر
4- ضرایب b و d و s براساس نظریه هنسن و دبیر

حل:
بار P عمود بر پی است، پس ضرایب i برابر یک هستند. همچنین زمین کناری بدون شیب است و ضرایب g هم برابر یک می باشند. عمق مدفون پی از سطح خاک نیز باید کمترین عمق پی در نظر گرفته شود که چون در سمت راست، پی بدون عمق مدفون است، می گوییم Df=0 بوده و ضرایب d نیز برابر یک خواهند بود.
بنابراین گزینه 3 صحیح است.
مثال: مقاومت مجاز خاک زیر پی ها:
1- به نوع خاک بستگی دارد و با ملاحظه نظری خاک می توان مقاومت مجاز خاک را تعیین نمود.
2- فقط به نوع خاک بستگی دارد و باید از نتایج آزمایشات مکانیک خاک بدست آید.
3- به ابعاد پی بستگی ندارد.
4- به نوع خام و عمق و ابعاد پی بستگی دارد.
حل:
مقاومت مجاز خاک زیر پی فقط تابع مشخصات خاک نیست ئ به عمق Df و ابعاد پی (B و L) نیز بستگی دارد. یعنی مقاومت مجاز خاک زیر پی برای یک زمین مشخص بسته به ابعاد و عمق پی متفاوت است.
بنابراین گزینه 4 پاسخ این تست است.
مثال: جهت تخمین ظرفیت باربری خاک محل پروژه کدام یک از گزینه های زیر صحیح است؟
1- می توان از روابط نظری ارائه شده توسط هنسن استفاده کرد.
2- می توان از نتایج آزمایش درجای نفوذ استاندارد (SPT) استفاده کرد.
3- می توان از نتایج آزمایش نفوذ مخروط (CPT) و با پرسیومتری (PMT) استفاده کرد.
4- فقط می توان از نتایج آزمایش های درجایی استفاده کرد که مستقیما مقدار ظرفیت باربری خاک را نتیجه بدهند.
حل:
با توجه به آیین نامه مبحث هفتم، می توان از نتایج غیر مستقیم آزمایش های درجا نیز در تخمین ظرفیت باربری خاک استفاده نمود.
بنابراین گزینه 4 صحیح است.
کنترل لغزش پی های سطحی
در پی هایی که زیر اثر بارهای مورب یا افقی قرار دارند باید گسیختگی ناشی از لغزش بررسی شود. در این پی ها برای تامین ایمنی باید نامساوی زیر برقرار باشد:
H≤S+Fp
که در آن:
H: مولفه افقی بارهای طراحی وارد بر پی است که در آن نیروی رانش محرک خاک نیز لحاظ شده است.
S: نیروی برشی مقاوم موجود بین سطح زیرین پی و خاک است.
Fp: نیروی رانشی مقاوم خاک جلوی پی است که در اثر حرکت نسبی پی و زمین می توان بسیج شود.
تفسیر کاربردی لغزش پی
اگر بار وارد بر پی مولفه افقی داشته باشد، احتمال لغزش پی وجود دارد. شکل زیر نمونه ای از پی سطحی تحت بار افقی Fx را نشان می دهد:

در شکل بالا، مجموع نیروهای Fx (نیروی افقی ستون) و Fa (نیروی محرک خاک) می خواهند پی را به سمت راست بلغزانند که مجموع آنها را H نامیم (H=Fx+Fa)
از طرفی نیروهای S (نیروی اصطکاک ناشی از مقاومت برشی بین کف پی و خاک) و Fp (نیروی فشاری مقاوم خاک) نیز می خواهند جلوی لغزش پی را بگیرند.
لازم به ذکر است که نیروی S وابسته به نیروهای قائم وارد بر پی، ابعاد پی و همچنین چسبندگی و زاویه اصطکاک بین بتن و خاک است.
واضح است که برآیند نیروهای مقاوم باید از برآیند نیروهای مخرب بیشتر شود تا از عدم لغزش پی اطمینان داشته باشیم:
![]()
مثال: در کنترل لغزش پی های سطحی تحت بارهای مورب و یا افقی، کدام یک از توضیحات زیر در مورد نیروهای ناشی از فشار جانبی خاک در حالت محرک و مقاوم صحیح است؟
1- اصولا از اثر فشار جانبی خاک (چه محرک و چه مقاوم) در بررسی لغزش پی صرف نظر می شود.
2- اصولا اثر هر دو نیروی محرک و مقاوم وارد شده از سوی خاک، در صورت وجود باید لحاظ شود.
3- از اثر نیروهای محرک صرف نظر کرده، ولی اثر نیروی مقاوم خاک را در نظر می گیریم.
4- از اثر نیروهای مقاوم صرف نظر کرده، ولی اثر نیروی محرک خاک را در نظر می گیریم.
حل:
طبق توضیحات داده شده در مورد لغزش پی های سطحی، اثر نیروی محرک جانبی خاک در نیروی H و اثر نیروی مقاوم جانبی خاک در نیروی Fp لحاظ می شوند. پس گزینه 2 صحیح است.
مثال: پی شکل زیر در شرایط نشان داده شده از نظر لغزش دارای مشکل است. به طوری که نیروی افقی وارد بر پی از برآیند نیروهای مقاوم افقی بیشتر است. چگونه می توان این مشکل را برطرف کرد؟
1- کاهش زاویه آلفا
2- قرار دادن پی بر روی زمین
3- افزایش ابعاد پی
4- افزایش نیروی F

حل:
*با کاهش زاویه آلفا، مولفه افقی وارد بر پی افزایش یافته و اوضاع پی در مقابل لغزش بدتر می شود.
*اگر پی را روی سطح خاک قرار دهیم، نیروهای مقاوم و محرک خاک حذف خواهند شد. ولی از آنجا که نیروی مقاوم به مراتب بیشتر از نیروی محرک است، این اتفاق (حذف شدن این دو نیرو) نمی تواند به لغزش پی کمک کند.
*با افزایش ابعاد پی، اولا وزن پی که یک نیروی قائم است افزایش می یابد، ثانیا تماس پی با خاک زیرش بیشتر می شود و هر دوی اینها باعث افزایش نیروی مقاوم برشی در زیر خاک پی (S) می شوند.
*با افزایش نیروی F، هر دو نیروی قائم و افقی وارد بر پی افزایش می یابند و اوضاع لغزش پی بهتر نخواهد شده.
پس گزینه 3 صحیح است.
نشست پی ها
مواردی که باید در دو حالت (I) کنترل نشست در روش تنش مجاز و (II) حالت حدی نهایی کنترل شود.
1- نشست یکنواخت پی
ابعاد پی باید به نحوی تعیین شود که رابطه زیر برقرار باشد:
S≤Sa
که در این رابطه:
Sa: نشست مجاز می باشد که با توجه به جنس خاک، نوع پی و سازه و مطالب ارائه شده محاسبه می شود.
S: نشست تحت بارهای سرویس، که شامل نشست های کوتاه مدت و تحکیمی بلند مدت (تحکیم و خزش) می باشد.
2- نشست غیر یکنواخت پی
نشست های غیر یکنواخت و دوران های نسبی پی ها باید با در نظر گرفتن توام توزیع نیروهای متفاوت وارده و تغییرات احتمالی مشخصات خاک زیر پی های مختلف، محاسبه شوند.
محاسبه نشست غیر یکنواخت پی ها بدون منظور کردن سختی سازه ممکن است به پیش بینی مقادیر غیر واقعی بیانجامد. برای ساختمان های با اهمیت بالا، اندرکنش سازه و خاک را باید در تحلیل ها منظور کرد.
مقادیر اولیه نشست غیر یکنواخت مجاز بر حسب نوع پی، نوع خاک و نوع سازه (جهت تامین پایداری سازه) و حفظ شرایط بهره برداری انتخاب می شود. توضیحات لازم برای نشست های مجاز در آیین نامه آورده شده است.
تفسیر کاربردی نشست و انواع آن
پی شکل زیر را در نظر بگیرید. وجود نیروی قائم P ستون باعث می شود در خاک زیر پی تنش به وجود بیاید. این تنش ها باعث نشست خاک و در نتیجه پایین رفتن پی (نشست پی) می شوند.

بسته به اینکه جنس خاک زیر پی چیست، سه نوع نشست می تواند برای خاک مطرح شود:
S=S1+S2+S3
الف) نشست آنی (Se): در هر صورت و صرف نظر از نوع خاک زیر پی، شاهد وقوع نشست الاستیک (آنی) در خاک خواهیم بود. این نشست در مدت زمان کوتاهی پس از بارگذاری بر روی پی رخ می دهد.
ب) نشست تحکیم اولیه (S1): اگر در خاک های زیر پی لایه رس اشباع داشته باشیم، نشست تحکیم (که یک نشست طولانی مدت است) رخ خواهد داد.
ج) نشست تحکیم ثانویه (S2): چنانچه در زیر پی یک لایه خاک با خاصیت خمیری زیاد ( و یا یک لایه خاک آلی) داشته باشیم، نشست تحکیم ثانویه ( که به آن خزش گفته می شود) رخ خواهد داد. این نوع نشست نیز بسیار طولانی مدت است.
اگر بار وارد بر پی به مرکز پی وارد شود، مقدار تنش در نقاط مختلف زیر پی متفاوت خواهد بود. در این صورت نشست در نقاط مختلف غیر یکنواخت شده و پی دچار چرخش می شود:

همچنین اگر مقدار نشست دو پی مجاور با هم برابر نباشد، باز هم شاهد وقوع نشست غیر یکنواخت و چرخش پی ها و سازه خواهیم بود.

نشست مجاز
مقادیر مجاز اولیه برای نشست یکنواخت و غیر یکنواخت در جدول زیر آمده است.

مقدار مجاز چزخش نیز در جدول زیر آورده شده است.

باید توجه داشت که مقادیر مجاز مندرج در جداول بالا به عنوان مقادیر اولیه است. پس از بررسی دقیق عملکرد سازه مورد نظر و تجهیزات حساس آن لازم است مقادیر دقیق تر را در طراحی بکار برد.
نشست مجاز طراحی باید در نهایت براساس معیارهای الف) پرهیز از ظاهر نگران کننده ب) تامین عملکرد مناسب سازه و پ) تامین پایداری سازه مورد نظر و سازه های مجاور، مد نظر قرار گیرد.
تفسیر کاربردی
پس از آنکه با نحوه محاسبه نشست و چرخش پی آشنا شدیم لازم است از مقادیر مجاز نشست در آیین نامه نیز مطلع شویم. در تعیین نشست غیر یکنواخت و یکنواخت پی ها دو موضوع مهم است:
1- نوع پی 2- نوع خاک
همانطور که در جدول بالا (نشست مجاز) می بینید، نشست مجاز پیشنهاد شده برای پی های شبکه ای و گسترده بیشتر از پی های منفرد و نواری است زیرا:
اولا زمانی از پی های شبکه ای و گسترده استفاده می شود که شدت بار وارد بر سازه خیلی زیاد بوده و به ظرفیت باربری بیشتر و پی بزرگتری نسبت به پی های منفرد و نواری نیاز داشته باشیم. این شده بار بیشتر، نشست بیشتری نیز به دنبال دارد.
ثانیا بزرگتر شدن پی باعث می شود لایه های عمیق تر خاک نیز تحت تاثیر بارگذاری سازه قرار بگیرند و این لایه های عمیق تر هم دچار نشست شوند.
همچنین در جدول نیز می بینیم که نشست مجاز پیشنهاد شده برای خاک های رسی بیشتر از خاک ماسه ای است چرا که در خاک های رسی نشست تحکیم نیز به نشست آنی پی اضافه می شود.
همچنین در تعیین چرخش مجاز باید به این موضوع توجه کنیم که سازه برای چه حدی از خرابی طراحی می شود.
در خاک های چسبنده فقط 50% بار زنده در محاسبات نشست دراز مدت اعمال می شود.
کنترل نشست در روش تنش مجاز ضروری است. باید توجه داشت مقدار نشستی که در حالت بهره برداری محاسبه شده نباید از مقدار نشست مجاز بیشتر شود.
در حالت حدی بهره برداری، ضرایب بار و مقاومت برابر یک می باشد و مقدار نشست محاسبه شده باید از نشست مجاز کمتر باشد.
تفسیر کاربردی
یکی از موضوعات ساده و البته پر سوال در آزمون های نظام مهندسی این است که چون بار زنده وارد بر سازه در مدت زمان طولانی ممکن است به طور دائم وجود نداشته باشد، در محاسبات نشست دراز مدت تحکیم اولیه (S1) کافیست 50% بار زنده را لحاظ کنیم.
![]()
همچنین طبق توصیه آیین نامه باید در هر دو حالت تنش مجاز و حالات حدی، نشست را کنترل کنیم.
مثال: کدامیک از موارد زیر برای نشست مجاز اولیه پی ها تحت بارگذاری استاتیکی صحیح است؟
1- نشست مجاز اولیه غیر یکنواخت پی نواری روی خاک رسی 35 میلی متر است.
2- نشست مجاز اولیه یکنواخت پی نواری روی خاک ماسه ای 25 میلی متر است.
3- نشست مجاز اولیه یکنواخت پی گسترده روی خاک ماسه ای 65 میلی متر است.
4- نشست مجاز اولیه یکنوخت پی منفرد روی خاک ماسه ای 50 میلی متر است.
حل: مطابق جدول بالا، نشست مجاز اولیه یکنواخت پی نواری روی خاک ماسه ای 25 میلی متر است، بنابراین گزینه 2 صحیح است.
مثال: در صورتی که بار متمرکز وارد بر مرکز یک پی منفرد ناشی از بارهای مرده (شامل کلیه بارهای مرده و وزن پی و خاک روی آن) برابر با 500 کیلونیوتن و ناشی از بارهای زنده برابر 400 کیلونیوتن و خاک زیر پی از نوع چسبنده باشد، برای کنترل نشست دراز مدت این پی به روش تنش مجاز، حداقل مقدار بار محوری بر حسب کیلونیوتن چقدر باید در نظر گرفته شود؟
1- 500 2- 650 3- 700 4- 900
حل:
مطابق با بند آیین نامه در محاسبات نشست دراز مدت پی های سطحی واقع بر خاک های چسبنده، فقط باید 50% بار زنده را در ترکیب بار در نظر گرفت. پس بار وارد بر این پی برای محاسبه نشست برابر:

بنابراین گزینه 3 صحیح است.
مثال: حداکثر مقدار مجاز نشست اولیه، برای نشست غیر یکنواخت پی نواری بر روی خاک رسی تحت بارگذاری استاتیکی چند میلی متر است؟
1- 75 2- 65 3- 35 4- 25
حل:
براساس جدول بالا حداکثر مقدار مجاز نشست غیر یکنواخت اولیه برای یک پی نواری بر روی خاک رسی، 25 میلی متر می باشد بنابراین گزینه 4 صحیح است.
مثال: در روش تنش مجاز طراحی پی، برای محاسبه نشست دراز مدت خاک های چسبنده چند درصد بار زنده باید اعمال شود؟
1- 50 2- 33 3- 25 4- 0
حل:
در بند آیین نامه می خوانیم که در خاک های چسبنده فقط 50% بار زنده در محاسبات نشست دراز مدت اعمال می شود. بنابراین گزینه 1 صحیح است.
مثال: در یک پی نواری دو طرفه ( پی شبکه ای) که بر روی ماسه متراکم اجرا شده است، حداکثر مقادیر مجاز نشست غیر یکنواخت و یکنواخت باید به ترتیب چند میلی متر شود؟
1- هر دو 20 میلی متر 2- 25 میلی متر و 50 میلی متر
3- 20 میلی متر و 25 میلی متر 4- 20 میلی متر و 50 میلی متر
حل:
در ردیف خاک ماسه ای در جدول بالا و برای پی شبکه ای، مقادیر نشست غیر یکنواخت و یکنواخت در زیر پی، به ترتیب 20 و 50 میلی متر داده شده اند و بنابراین گزینه 4 صحیح است.
مثال: کدام گزینه در خصوص نشست یکنواخت و غیر یکنواخت در پی های سطحی صحیح است؟
1- نشست غیر یکنواخت و دوران نسبی پی ها باید فقط با در نظر گرفتن توزیع نیروهای متفاوت وارد شده بر سازه محاسبه شود.
2- در محاسبه نشست های یکنواخت باید سختی سازه را نیز در نظر بگیریم. در ساختمان های با اهمیت بالا، اندرکنش سازه و خاک باید در تحلیل ها منظور گردد.
3- حداکثر نشست غیر یکنواخت مجاز برای شالوده گسترده که بر روی یک خاک رسی اجرا شده است، 25 میلی متر و برای همین شالوده روی خاک ماسه ای 20 میلی متر است.
4- معیارهای نشست مجاز طراحی عبارتند از پرهیز از ظاهر نگران کننده، تامین عملکرد مناسب و جلوگیری از ترک خوردگی بیش از حد نما
حل:
طبق مقادیر مطرح شده در جدول بالا گزینه 3 صحیح است.
مثال: کدامیک از گزینه های زیر در مورد کنترل نشست سازه صحیح است؟
1- در روش های تنش مجاز و حالت حدی بهره برداری، باید نشست کنترل گردد.
2- نشست فقط در روش تنش مجاز کنترل می شود.
3- نشست فقط در روش حالت حدی کنترل می شود.
4- کنترل نشست تحت هر شرایطی باید براساس ترکیب بارهای ضریبدار صورت پذیرد.
حل:
در هر دو روش تنش مجاز و حالت حدی بهره برداری لازم است نشست سازه تحت ترکیب بارهای بدون ضریب ( با ضریب 1) صورت پذیرد. بنابراین گزینه 1 صحیح است.
ضرایب بار، طمینان و کاهش مقاومت در طراحی پی های سطحی
در طراحی به روش تنش مجاز در صورتی که بار زلزله یا باد از 0.25 مجموع بار زنده و مرده کمتر باشد از آن صرف نظر می شود.
در طراحی به روش تنش مجاز در صورتی که بار زلزله یا باد از 0.25 مجموع بار زنده و مرده بیشتر باشد باید بار زلزله یا باد در نظر گرفته شود.
در این شرایط ظرفیت باربری مجاز خاک افزایش می یایند، زیرا ضریب اطمینان (FS) در شرایط زلزله کمتر از شرایط استاتیکی انتخاب می شود.
تفسیر کاربردی ترکیب بار استاتیکی و لرزه ای در پی ها
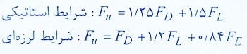
اگر نیروی ناشی از بارهای مرده و زنده وارد بر پی را با FD و FL و FE نشان دهیم، خواهیم داشت:

در این حالت نیازی به کنترل لرزه ای و در نظر گرفتن نیروی FE نمی باشد.

البته در حالت 2 لازم است پی براساس طرح استاتیکی یعنی FL+FD=پیF و ضریب اطمینان FS=3 نیز طراحی و کنترل گردد.
در روش تنش مجاز ضریب اطمینان با توجه به نوع گسیختگی باید به صورت مناسب تعریف و مقدار آن نباید از مقادیر جدول زیر کمتر باشد.

تفسیر کاربردی
در روش تنش مجاز لازم است تا نیروها یا تنش های مقاوم تامین کننده پایداری در مقابل خرابی های مختلف خاک زیر پی، به ضریب اطمینان مربوطه تقسیم شده و کاهش یابند. به عنوان مثال برای موضوعات ظرفیت باربری و لغزش خواهیم داشت:

توضیحات qult در موضوع 1 و نیروهای S و Fp در موضوع 2 همین فصل ارائه شده اند.
همچنین شما می توانید ضریب اطمینان هر یک از پدیده های ظرفیت باربری، لغزش و … را به صورت زیر بدست آورده و آن را با ضریب اطمینان داده شده در آیین نامه مقایسه کنید:

اگر ضریب اطمینان محاسبه شده از رابطه فوق از مقدار داده شده در سوال یا آیین نامه بیشتر باشد، می گوییم طراحی در مقابل آن پدیده مناسبو قابل قبول است.
در روش حالت حدی نهایی و برای کاهش مقاومت مصالح، ضرایب مربوط در جداول زیر برای کنترل شرایط مختلف داده شده است.


در روش حالت حدی نهایی نیز لازم است تا تنش ها یا نیروهای مقاوم در طراحی پی را، در ضرایب کاهش مقاومت مربوطه ضرب کنیم و آنها را کاهش دهیم، به عنوان مثال برای ظرفیت باربری و لغزش پی ها داریم:

ترکیب بار مورد استفاده در روش تنش مجاز همان ترکیبات بار مطرح شده در بخش تنش مجاز مبحث ششم مقررات ملی ساختمان می باشد، ضرایب بار در این روش عمدتا یک می باشد.
در آیین نامه مبحث ششم مقررات ملی ساختمان، ترکیبات بار در روش تنش مجاز به شرح زیر می باشند:

توجه کنید که در طراحی طبق نیروی بدست آمده از هر یک از شرایط فوق، بایستی از ضریب اطمینان مربوط به همان شرایط استفاده شود.
ضرایب مورد استفاده برای افزایش بارها در حالت حدی نهایی، باید منطبق با مباحث ششم، نهم و دهم مقررات ملی ساختمان ( بر حسب مورد ) باشند.
در آیین نامه مبحث ششم مقررات ملی ساختمان، ترکیبات بار در روش حالت حدی نهایی به شرح زیر می باشند:

در اینجا نیز برای طراحی براساس نیروی بدست آمده از هر یک از شرایط فوق، باید از ضرایب کاهش مقاومت مربوط به همان شرایط استفاده شود.
مثال: اگر ظرفیت باربری نهایی خاک زیر پی، qult=2kg/cm2 محاسبه شده باشد، ظرفیت باربری نهایی کاهش یافته خاک زیر این پی در طرح غیر لرزه ای چند kg/cm2 خواهد بود؟
1- 1.33 2- 0.9 3- 1 4- 1.2
حل:
ظرفیت باربری نهایی کاهش یافته خاک زیر پی همان qultr=Φqult است که طبق جدول بالا، در طرح غیر لرزه ای Φ=0.45 است، بنابراین خواهیم داشت:
![]()
مثال: در کنترل لغزش پی های سطحی طبق رابطه H≤S+Fp با اعمال ………..، نیروهای سمت چپ رابطه را ………. و با اعمال ………….، نیروهای سمت راست رابطه را ……………. می دهیم.
1- ضرایب بار – افزایش – ضریب اطمینان – کاهش
2- ضرایب کاهش مقاومت – افزایش – ضرایب بار – کاهش
3- ضرایب بار – افزایش – ضرایب کاهش مقاومت – کاهش
4- ضرایب اطمینان – افزایش – ضرایب کاهش مقاومت – کاهش
حل:
عبارت کامل شده این سوال، فلسفه روش حالت حدی است که به صورت زیر می باشد:
با اعمال ضرایب بار، نیروهای سمت چپ رابطه را افزایش و با اعمال ضریب کاهش مقاومت، نیروهای سمت راست رابطه را کاهش می دهیم.
پس گزینه 3 صحیح است.
توجه کنید که هنگام استفاده از ضرایب بار از ضریب اطمینان استفاده نمی کنیم پس گزینه 1 غلط است.
مثال: در طراحی پی های سطحی در مقابل واژگونی در شرایط لرزه ای، ضریب کاهش مقاومت در روش ضرایب بار و مقاومت و حداقل ضریب اطمینان در روش تنش مجاز به ترتیب چه مقادیر هستند؟
1- 0.65 و 1.5 2- 0.65 و 1.2 3- 0.9 و 1.5 4- 0.6 و 1.2
حل:
ضریب کاهش مقاومت در روش حالت حدی، برای پدیده واژگونی پی سطحی در شرایط لرزه ای طبق جدول برابر Φ=0.65 در نظر گرفته می شود.
همچنین حداقل ضریب اطمینان واژگونی پی سطحی در روش تنش مجاز و در شرایط لرزه ای برابر 1.5 می باشد.
بنابراین گزینه 1 صحیح است.
مثال: مقادیر اولیه نشست مجاز یکنواخت تحت بارگذاری استاتیکی و حداقل ضریب اطمینان به روش تنش مجاز برای واژگونی یک پی منفرد روی خاک ماسه ای در شرایط استاتیکی به ترتیب برابر است با:
1- 25 میلی متر و 2 2- 25 و 3 3- 20 و 2 4- 20 و 3
حل:
براساس جدول بالا، مقدار اولیه نشست مجاز یک پی منفرد بر روی خاک ماسه ای، 25 میلی متر است. همچنین با توجه به جدول، ضریب اطمینان واژگونی پی منفرد در حالت استاتیکی برابر 2 است.
بنابراین گزینه 1 صحیح است.
مثال: نیروهای قائم وارد بر یک پی منفرد سطحی شامل بار مرده، زنده و نیروی ناشی از زلزله به ترتیب برابر 60 تن، 25 و 30 تن می باشند. در روش تنش مجاز و در شرایط لرزه ای، بار وارد بر این پی باید چند تن در نظر گرفته شود؟ ضریب اطمینان طراحی پی در ظرفیت باربری آن باید چقدر لحاظ شود؟
1- F=85 و FS=3
2- F=94.5 و FS=3
3- F=115 و FS=2
4- F=94.5 و FS=2
حل:
در این پی 25% مجموع بار مرده و زنده برابر می شود با:
![]()
چون نیروی زلزله از این مقدار بیشتر است، باید آن را در نظر بگیریم. پس شرایط لرزه ای مطرح شده و نیروی قائم وارد بر این پی برابر می شود با:

همچنین باید از ضریب اطمینان طرح لرزه ای پی استفاده کنیم که طبق جدول برابر FS=2 می باشد.
بنابراین گزینه 4 صحیح است.
کنترل تنش در زیر پی های سطحی
در روش تنش مجاز جهت کنترل تنش زیر پی لازم است جدول زیر مدنظر قرار گیرد.

در کنترل تنش های زیر پی باید توجه داشت که هیچ نقطه ای از پی نباید دچار کشش شود (حداقل تنش = 0) مگر آنکه آن بخش از کشش توسط المان هایی مثل شمع، زیر شمع یا مهارها تحمل شود.
در پی های انعطاف پذیر چنانچه ظرفیت باربری مجاز از معیار نشست بدست آمده باشد، نیازی به کنترل نقطه به نقطه تنش نیست و طراحی را می توان براساس تنش موثر متوسط کمتر از ظرفیت باربری مجاز انجام داد.
تفسیر کاربردی کنترل تنش در زیر پی
در مواقعی که بارگذاری وارد بر پی دارای خروج از مرکزیت است، توزیع تنش در زیر پی غیر یکنواخت می شود. در این صورت لازم است تنش های ایجاد شده در نقاط خاصی در زیر پی را با تنش مجاز خاک (qall) یا ظرفیت باربری کاهش یافته خاک (qultr) مقایسه نماییم.
بدین منظور و براساس نوع پی (صلب یا انعطاف پذیر) و همچنین جنس خاک زیر آن (دانه ای یا صرفا چسبنده) بایستی تنش حداکثر (qmax) و یا تنش متوسط (qave) در زیر پی از تنش های مجاز یا کاهش یافته کمتر باشند.
برای روش حالت حدی نهایی به صورت زیر می توانیم جدولی در نظر بگیریم که در آن تنش های qmax و qave در حالت های مختلف باید از ظرفیت باربری کاهش یافته خاک یعنی qultr کمتر باشند.

پی های انعطاف پذیر
برای تحلیل پی های انعطاف پذیر و بدست آوردن تنش زیر پی نمی توان از فرض توزیع خطی تنش در زیر پی استفاده کرد.
برای تحلیل سازه پی انعطاف پذیر می توان خاک را به صورت فنر (ks) شبیه سازی کرد، اما لازم است به نکات ذیل توجه شود:
الف) مقدار ks از آزمایش های معتبری مثل بارگذاری صفحه و یا آزمایش فشار سنج با اصلاحات لازم بدست آید.
ب) انتخاب مقدار یکنواخت برای ks در تمام سطح زیر پی صحیح نمی باشد و متناسب با نشست اتفاق افتاده باید تغییر کند و افزایش سختی در لبه ها توصیه می شود.
برای تحلیل دقیق نشست پی لازم است از مدل سازی محیطط پیوسته برای خاک استفاده گردد.
فرض ساده برای محاسبه تنش در زیر پی های سطحی آن است که توزیع تنش را به صورت خطی در نظر بگیریم.

اما در پی های انعطاف پذیر نمی توان از این فرض استفاده کرد و باید با توجه به ضریب عکس العمل بستر خاک (Ks) توزیع تنش واقعی را لحاظ کنیم.
به عنوان مثال برای حالتی که بار خروج از مرکزیت ندارد، داریم:

علت بیشتر شدن تنش در گوشه پی آن است که ضریب عکس العمل بستر در گوشه پی (که به نوعی ضریب سختی فنریت خاک است) بیشتر در نظر گرفته می شود.
لازم به ذکر است که رابطه تنش، نشست و ضریب عکس العمل بستر در هر نقطه از زیر پی به صورت زیر است:
q=Ks x Δ
توضیحات دقیق رابطه نشست و تنش در زیر پی ها، در بخش محاسباتی آینده ارائه می شوند.
مثال: کدامیک از گزینه های زیر در مورد کنترل تنش در زیر پی سطحی در خاک صرفا چسبنده و پی صلب در طراحی به روش تنش های مجاز درست است؟
1- ظرفیت باربری مجاز > تنش متوسط 2- ظرفیت باربری مجاز > تنش حداکثر
3- ظرفیت باربری نهایی > تنش متوسط 4- ظرفیت باربری نهایی > تنش حداکثر
حل:
با توجه به جدول بالا، برای پی صلب روی خاک صرفا چسبنده طبق روش های تنش مجاز، باید داشته باشیم:
ظرفیت باربری مجاز>تنش حداکثر
پس گزینه 2 صحیح است.
مثال: برای تحلیل پی های انعطاف پذیر و بدست آوردن تنش زیر پی کدام روش صحیح است؟
1- شبیه سازی خاک به صورت فنر (Ks)، با مقدار یکنواخت، مشروط بر اینکه پی به همراه روسازه تحلیل شود.
2- شبیه سازی خاک به صورت فنر (Ks)، با مقدار یکنواخت
3- شبیه سازی خاک به صورت فنر (Ks) با سه مقدار 1.25Ks و Ks و 0.8Ks و انتخاب بحرانی ترین نتایج آنها
4- شبیه سازی خاک به صورت فنر (Ks)، با تغییرات لازم مقدار آن در زیر سطح پی متناسب با نشست ها
حل: با توجه به آیین نامه و مطالب گفته شده بالا، در پی های انعطاف پذیر مقدار Ks نباید در زیر پی یکنواخت باشد و متناسب با نشست باید تغییر کند. بنابراین گزینه 4 صحیح است.
مثال: در تحلیل تنش در زیر پی های انعطاف پذیر، کدامیک از موارد زیر صحیح است؟
1- اگر پی بر روی خاک دانه ای اجرا شده باشد، لازم نیست تنش در زیر پی را به صورت نقطه به نقطه کنترل کنیم.
2- برای بدست آوردن تنش در زیر پی در هر نوع خاکی می توان توزیع تنش را به صورت خطی فرض کرد.
3- اگر خاک زیر پی در مدل سازی در نظر گرفته شود، لازم است سختی خاک در زیر پی (Ks) به صورت غیر یکنواخت در نظر گرفته شود.
4- سختی خاک در زیر این پی در وسط حداکثر و در لبه ها حداقل است.
حل:
گزینه 3 با توجه به توضیحات بالا صحیح می باشد.
ملاحظات طرح لرزه ای پی های سطحی
برای کنترل ظرفیت باربری خاک زیر پی های سطحی در شرایط زلزله باید نکات ذیل مورد توجه باشد:
الف) در نظر گرفتن کاهش ظرفیت باربری بر اثر نیروی افقی و لنگر خمشی ناشی از زلزله
ب) تغییر ضریب اطمینان ظرفیت باربری و ضرایب بار و مقاومت مطابق جدول
ج) کنترل کاهش مقاومت برشی برخی از خاک ها در اثر بارهای دینامیکی ( مثل روان گرایی خاک، زوال مشخصات دینامیکی خاک در اثر کرنش دینامیکی)
برای کنترل ظرفیت باربری در شرایط زلزله می توان از روابط نظری استاتیکی استفاده کرد.
البته در خاک های رسی و ضریب لرزه ای بزرگتر از 0.1 و ساختمان های با اهمیت توصیه می شود از روابط نظری ظرفیت باربری با در نظر گرفتن اینرسی (مثل روش سارما) استفاده شود.
تفسیر کاربردی طرح لرزه ای پی های سطحی
در شرایط لرزه ای نیروی برشی ستون و همچنین لنگر خمشی در پای آن که به پی منتقل می شوند، باعث ایجاد خروج از مرکزیت در پی می شود و به همین سبب، ظرفیت باربری پی کاهش خواهد یافت.
البته در این شرایط و در طراحی و محاسبه ابعاد پی می توانیم از ضریب اطمینان کمتر ( در روش تنش مجاز) و یا ضریب کاهش مقاومت بیشتر ( در روش حالت حدی نهایی ) استفاده نمود که در این صورت ظرفیت باربری نهایی خاک، کمتر کاهش می یابد.

ظرفیت باربری در شرایط لرزه ای مشابه با شرایط استاتیکی محاسبه می شود. البته در سه حالت زیر بهتر است اثر اینرسی را نیز در ظرفیت باربری لحاظ کنیم.
1- خاک های رسی 2- ضریب لرزه ای بزرگتر از 0.1 3- ساختمان های با اهمیت
در این شرایط استفاده از روش های نظیر سارما توصیه شده است.
مثال: در طراحی پی های سطحی در شرایط لرزه ای و مقایسه آن با طراحی در شرایط استاتیکی می توان گفت:
1- ظرفیت باربری نهایی و ضریب اطمینان گسیختگی خاک زیر پی در شرایط لرزه ای نسبت به حالت استاتیکی کاهش می یابند.
2- ظرفیت باربری نهایی در شرایط لرزه ای کاهش یافته، ولی ضریب اطمینان بیشتر از شرایط استاتیکی لحاظ می شود.
3- ظرفیت باربری نهایی مشابه با شرایط استاتیکی در نظر گرفته می شود ولی ضریب اطمینان کمتری خواهیم داشت.
4- ظرفیت باربری نهایی کاهش یافته ولی ضریب اطمینان بدون تغییر خواهد بود.
حل:
با توجه به توضیحات داده شده هنگام وقوع زلزله به علت خروج از مرکزیت ایجاد شده بر روی پی، ظرفیت باربری نهایی قدری کاهش می یابد. البته می توانیم از ضریب اطمینان کمتری در محاسبات خود استفاده کنیم.
![]()
بنابراین گزینه 1 صحیح است.
برخی ملاحظات اجرایی پیرامون پی های سطحی
برای انتخاب موقعیت و عمق پی باید موارد ذیل مد نظر قرار گیرند:
* عمق پی حداقل باید 0.5 متر باشد.
* برای تعیین تراز زیر پی باید موارد ذیل رعایت شود؛
الف) پی باید در ترازی اجرا شود که تغییرات فصلی باعث تورم یا انقباض در خاک های رسی نشود.
ب) پی باید در ترازی اجرا شود که در آن ریشه درختان و بوته ها موجب تغییر مکان بیشتر از حد مجاز نگردد.
پ) پی باید بر روی لایه باربر مناسب طبیعی و یا خاک بهسازی شده اجرا شود.
ت) پی باید در ترازی اجرا شود که در آن تراز، یخ زدگی زمین، در پی خرابی ایجاد نکند.
ث) تراز ایستایی در زمین و مسائلی که ممکن است در اثر حفاری برای پی در زیر سطح آب پیش آید باید در نظر گرفته شود.
ج) اثرات حفاری های احتمالی در محدوده نزدیک پی که برای ساخت و سازهای دیگر و یا عبور زیر زمینی خدمات شهری مورد نیاز است در نظر گرفته شود.
چ) جابه جایی احتمالی زمین و کاهش مقاومت لایه باربر در اثر نشست آب و یا اثرات آب و هوایی و یا روش های ساختمانی باید در نظر گرفته شود.
ح) حتی الامکان اجرا پی در عمق بیشتر و به منظور تامین پایداری پی مدنظر قرار گیرد.
محل پی هایی که نزدیکی شیب ها ساخته می شوند باید مطابق با موارد زیر انتخاب شوند:
الف) پی ها نباید از لبه شیب در بالا و پایین شیب فاصله مناسبی داشته باشند که با کنترل پایداری شیب و تغییر شکل ها مشخص می شود.
ب) زمانی که پی در بالای شیب قرار می گیرد خطی که با شیب 2 افقی به 1 قائم از لبه پی می گذرد نباید با سطح شیب برخورد کند، مگر آنکه تحلیل دقیق پایداری و تغییر شکل پی انجام شود.
پ) پی هایی که باید بر رو یا در مجاورت سطوح شیب ساخته شوند، باید یا از سطح شیب عقب نشینی کنند و یا با مهارهای افقی و قائم مناسب برای جلوگیری از نشست های مخرب تجهیز شوند.
اگر پی در بالای گود واقع شده باشد، فاصله مناسب پی از گود باید رعایت شود، به طوری که یک خط با شیب 2 افقی به 1 قائم که از لبه سمت چپ (نقطه A) رسم می شود، نباید به دیوار گود (یعنی طول BC) برخورد کند. پس در حالت مرزی اگر خط را در پایین ترین نقطه گود (نقطه C) در نظر بگیریم فاصله پی از لبه بالایی شیب مشخص می شود.

در مورد اجرای پی بر روی زمین شیب دار نیز در بند (ب) می بینیم که این اجازه به ما داده شده است.
فقط باید پی نسبت به شیب یک عقب نشینی داشته باشد و یا با یک سری عضو مهاری افقی یا قائم تجهیز شود. شکل های زیر عقب نشینی پی نسبت به زمین شیب دار و تجهیز آن با عضو های مهاری را نشان می دهد.

مثال: جهت احداث یک پی در بالای شیب نشان داده شده در شکل زیر، حداقل مقدار a بر حسب متر جهت قرارگیری پی، بدون نیاز به تحلیل دقیق پایداری و تغییر شکل پی، به کدامیک از مقادیر زیر نزدیکتر است؟
1- 3 2- 4 3- 5 4- 6

حل: مطابق با مطالب گفته شده بایستی موقعیت پی در نزدیکی شیب به نحوی باشد که خطی با شیب 2 افقی به 1 قائم که از لبه پی رسم می شود، با سطح شیب برخورد نکند، با ترسیم این خط خواهیم داشت:

بنابراین گزینه 3 صحیح است.
مثال: حداقل فاصله d، بدون توجه به تحلیل های دقیق پایداری و تغییر شکل پی چه مقدار است؟
1- 15 متر 2- 12 3- 8 4- 10

حل:
همانطور که دیدیم محل پی باید به گونه ای باشد تا خطی که از لبه پی با شیب 2 افقی به قائم رسم می شود، با سطح شیب برخورد نکرده و به پایین شیب برشد. پس مطابق شکل زیر داریم:

بنابراین گزینه 4 صحیح است.
مثال: در اجرای پی های سطحی کدامیک از موارد زیر نادرست است؟
1- پی باید در ترازی اجرا شود که در آن ریشه درختان موجب تغییر مکان بیشتر از حد مجاز نگردد.
2- بدون توجه به عمق یخبندان عمق پی حداقل باید 0.8 متر باشد.
3- پی ها باید از لبه شیب در بالا و پایین شیب فاصله مناسبی داشته باشند.
4- پی می تواند روی خاک بهسازی شده اجرا شود.
حل:
مطابق توضیحات بالا در مورد ملاحظات اجرایی پی های سطحی، عبارت گزینه 2 درست نبوده و در نتیجه همین گزینه پاسخ صحیح است.
مثال: کدامیک از موارد زیر در مورد پی نواری صحیح است؟
1- در حالتی که تحلیل دقیق پایداری و تغییر شکل انجام نشود و پی در بالای شیب قرار گیرد، خطی که با شیب 2 افقی به 1 قائم از لبه پی می گذرد، می تواند با سطح شیب دار برخورد کند.
2- حداقل ضریب اطمینان به روش تنش مجاز در برابر واژگونی برابر 2.5 می باشد.
3- حداقل ضریب اطمینان به رئش تنش مجاز در شرایط استاتیکی در برابر لغزش برابر 2 می باشد.
4- حداقل عمق پی برابر 0.5 متر بوده و حداقل ضریب اطمینان در تعیین ظرفیت باربری مجاز آن در شرایط استاتیکی برابر 3 می باشد.
حل:
مطابق جدول بالا، حداقل ضریب اطمینان ظرفیت باربری به روش تنش مجاز در شرایط استاتیکی 3 می باشد. همچنین عمق پی نیز حداقل باید برابر 0.5 متر باشد.
بنابراین گزینه 4 صحیح است.
مثال: یک ساختمان در بالای یک زمین شیب دار طراحی گردیده است. پی ها از نوع سطحی با ابعاد 3×3 و عمق کف آنها تا سطح زمین 1.5 متر است. شیب زمین مجاور به گونه ای است که طول افقی و ارتفاع قائم آن به ترتیب 3 و 4 متر است. مرکز پی های این ساختمان در ردیف نزدیک به لبه شیب، حداقل در چه فاصله ای (x) از لبه شیب قرار گیرند تا نیازی به تحلیل دقیق برای کنترل پایداری و تغییر شکل پی نباشد؟
1- 2 متر 2- 2.1 3- 3.5 4- 4.5

حل:
طبق رابطه بدست آمده در تفسیر کاربردی داریم:


بنابراین گزینه 3 صحیح است.
مثال: دو پی از یک سازه مطابق شکل باید در مجاورت یک گود با شیب مشخص شده در شکل اجرا شوند. با در نظر گرفتن ضوابط اجرایی مبحث هفتم مقررات ملی ساختمان عمق مناسب برای اجرای این پی ها چند متر است؟ (فاصله پی ها نسبت به هم و از لبه گود غیر قابل تغییر است.)
1- D1=D2=0.5m
2- 3D1=D2=1.5m
3- D1=D2=1.5m
4- D1=3D2=1.5m

حل: ابتدا باید به این موضوع توجه کنیم که پی ها باید لااقل در عمق 0.5 از سطح خاک قرار بگیرند. یعنی اجرای پی در سطح خاک مجاز نیست. اما آیا عمق 0.5 متر برای این دو پی مناسب است و اگر خطی با شیب 2 افقی: 1 قائم از لبه پی ها رسم کنیم، با دیواره گود برخورد نمی کند؟ در ادامه این موضوع بررسی می کنیم:
پی (1)
اگر این پی در عمق 0.5 متری از سطح زمین قرار بگیرد، حداقل فاصله لبه پی از لبه بالایی شیب بایستی برابر باشد با:

حال آنکه این پی در فاصله 6 متر از لبه بالایی شیب قرار دارد، پس موقعیت این پی مناسب خواهد بود.
پی (2)
برای تعیین عمق مناسب برای پی (2) داریم:

بنابراین گزینه 2 صحیح است.
سایر ملاحظات طراحی پی های سطحی
حالاتی که پی های سطحی معمولا برای آنها طراحی یا کنترل می شوند به شرح زیر تقسیم می شوند:
الف) مواردی که باید در دو حالت (I) روش تنش مجاز و (II) حالت حدی نهایی کنترل شود.
الف-1) از دست رفتن پایداری کلی پی:
گسیختگی ناشی از فقدان پایداری کلی در کلیه پی ها و اجزای آنها باید کنترل شود.
پی های واقع در محل های زیر باید مورد توجه ویژه قرار داده شود:
1- در نزدیکی و یا روی ساختگاه شیب دار، چه به صورت طبیعی و چه به صورت خاکریزی شده
2- در نزدیکی محل های حفاری شده و یا دیوارهی حائل
3- در نزدیکی رودخانه ها، کانال ها، دریاچه ها، مخازن آب و یا سواحل دریاها
4- در نزدیکی معادن در حال بهره برداری و یا سازه های مدفون
الف-2) گسیختگی خاک ناشی از کمبود ظرفیت باربری (مقاومت)
الف-3) گسیختگی خاک ناشی از لغزش پی
الف-4)گسیختگی توام زمین و سازه پی
الف-5)گسیختگی سازه ای ناشی از تغییر مکان پی (طراحی سازه ای پی ها براساس الزامات مبحث نهم این مقررات انجام می شود)
ب-مواردی که باید در هر دو حالت (I) کنترل نشست در روش تنش مجاز و (II) حالت حدی نهایی کنترل شود.
ب-1) نشست یکنواخت پی
ب-2) نشست غیر یکنواخت پی
ب-3)سایر شرایط
مثال: برای پی های سطحی تحت کدام شرایط، نیازی به توجه ویژه به پایداری کلی نمی باشد؟
1- پی طراحی شده نزدیک سواحل و رودخانه 2- پی طراحی شده در مناطق زلزله خیز
3- پی طراحی شده در کنار گودها و دیوارهای حائل 4- پی طراحی شده در نزدیکی معادن و سازه های مدفون
حل:
طبق توضیحات بالا گزینه 2 صحیح است.




دیدگاه خود را ثبت کنید
تمایل دارید در گفتگوها شرکت کنید؟در گفتگو ها شرکت کنید.