ضوابط لرزه ای شالوده ها
ضوابط لرزه ای شالوده ها
با توجه به آنچه خواندیم، شالوده ها به عنوان یکی از اجزای مهم سازه محسوب می شوند که وظیفه تحمل و انتقال بارهای ناشی از سازه به زمین را دارند.
در صورتی که سازه مورد نظر مطابق شکل پذیری به خصوصی طراحی شده باشد، لازم است اثر نیروهای زلزله در این اعضا نیز لحاظ گردد. از این رو در این قسمت از مطلب می خواهیم مهمترین ضوابط مربوط به طراحی لرزه ای فونداسیون ها را مرور کنیم.
ضوابط کلی شالوده های سطحی و سر شمع ها
در شالوده های سطحی از جمله شالوده های تکی، نواری و گسترده و همچنین سر شمع هایی که در سازه های با حد شکل پذیری متوسط و زیاد به کار برده می شوند، لازم است موارد زیر در نظر گرفته شود.
1- آرماتورهای طولی در اجزای قائم مقاوم در برابر زلزله از قبیل ستون ها و دیوارها در مقطع شالوده یا سر شمع باید دارای طول مهاری کافی در این اجزا باشند تا بتوانند در محل اتصال به این اعضا به تنش حد جاری شدن برسند.
2- در ستون هایی که در محل اتصال شالوده به صورت صلب ( گیردار) در نظر گرفته می شوند، لازم است مطابق مورد 1 طول مهاری آرماتورهای طولی در شالوده رعایت شود.
علاوه بر این در صورتی که آرماتورها به صورت قلابدار مهار می شوند، لازم است آرماتورها دارای خم 90 درجه باشند و به سمت مرکز عضو باشند. این ضابطه به منظور تحمل بهتر نیروهای حاصل از خمش و ایجاد شکل پذیری بهتر می باشد.

3- در ستون ها یا اجزای مرزی دیوارهای سازه ای ویژه که فاصله لبه آنها از زیر شالوده از نصف ضخامت شالوده کمتر است، باید آرماتورهای عرضی ویژه مطابق مطابق آنچه در نواحی بحرانی ستون ها با شکل پذیری زیاد به کار می رود، مورد استفاده قرار گیرد.
این آرماتورها باید از روی شالوده به اندازه طول مهاری آرماتورهای ستون و یا اجزای مرزی که برای رسیدن به تنش fy محاسبه شده اند، امتداد داشته باشند.
رعایت این ضابطه در جلوگیری از گسیختگی نواحی کناری شالوده و یا سر شمع موثر است.

4- در صورتی که نیروهای زلزله باعث ایجاد نیروهای کششی ( برکنش ) در ستون ها و یا اجزای مرزی دیوارها می شوند، لازم است در قسمت فوقانی شالوده یا سر شمع آرماتور خمشی تحت ترکیبات بارگذاری ضریبدار حداقل به مقدار Asmin مطابق ضوابط دال ها تعبیه گردند.
5- استفاده از بتن غیر مسلح فقط در سازه هی با شکل پذیری کم، در صورت طراحی مطابق ضوابط آیین نامه های معتبر بین المللی مجاز است. دقت شود در سازه های با شکل پذیری متوسط و زیاد، شالوده حتما باید از نوع بتن آرمه باشد.
6- سر شمع هایی که در شمع هی مایل استفاده می شوند، باید برای کل مقاومت فشاری این شمع ها که به صورت ستون کوتاه عمل می کنند، طراحی شوند. اثرات لاغری شمع های کوبیدنی در قسمتی از طول شمع که در خاک سست،هوا و یا آب قرار گرفته و لذا مهار جانبی برای آنها تامین نشده است باید لحاظ گردد.
همانطور که در موارد فوق گفته شد، طول مهاری آرماتورهای اعضای متصل به شالوده، وجود آرماتورهای عرضی در ناحیه اتصال و همچنین وجود آرماتورگذاری کافی در شالوده جزء موارد مهم در طراحی لرزه ای شالوده های سطحی می باشد که لازم است علاوه بر آنچه در قسمت های قبل خواندیم مورد توجه قرار بگیرد.
ضوابط لرزه ای شالوده های عمیق
شالوده های عمیق از نوع شمع که در قسمت قبل با آنها آشنا شدیم، در صورتی که در سازه های با سطح شکل پذیری متوسط و زیاد به کار برده شده باشند، باید ضوابط ویژه ای در خصوص آرماتورگذاری و طراحی آنها رعایت شده باشد که در این بخش ابتدا با موارد کلی در انواع شمع ها آشنا شده و سپس به بررسی ضوابط خاص هر نوع شمع می پردازیم.
1- در شمع ها، پایه ها و شالوده های ضندوقه ای ( نوعی از شالوده های عمیق) که تحت بارهای کششی قرار می گیرند، باید آرماتورهای طولی پیوسته در طول برای مقاومت در برابر نیروهای کششی تعبیه گردند.
2- کلیه آرماتورهای عرضی شامل دورگیرها، دورپیچ ها و سنجاقی ها باید در انتها دارای قلاب لرزه ای باشند.
3- درشمع هایی که بار سازه های با شکل پذیری متوسط و زیاد را تحمل می کنند با شمع هایی که در زمین نوع IV حفاری شده اند، لازم است در محدوده هفت برابر قطر شمع در بالا و پایین مقطعی از شمع که خاک مجاور آن در لایه زیر مقطع سخت بوده و در لایه بالا نرم و روانگرا می باشد، از آرماتورهای عرضی ویژه مطابق ناحیه بحرانی ستون ها استفاده نمود.

شمع های درجا ریخته بدون غلاف
در شمع های درجا ریخته بتنی که بدون غلاف هستند، لازم است ضوابط آرماتورگذاری مطابق جدول زیر رعایت گردد. در این جدول ضوابط آرماتورگذاری طولی و عرضی بر حسب شکل پذیری سازه و نوع زمین مطابق طبقه بندی استاندارد 2800 ارائه شده است.

در خصوص جدول بالا موارد زیر حائز اهمیت می باشند:
1-l،D و db به ترتیب معرف قطر شمع، طول شمع و قطر آرماتورهای طولی هستند.
2- طول خمشی شمع، فاصله قسمت تحتانی سرشمع تا مقطعی از شمع است که در آن لنگر وارده کمتر از 0.4 برابر لنگر خمشی ترک خورده گردد ( Mu<0.4Mcr).
3- در شمع هایی که به طول کافی در خاک سخت و یا سنگ قرار گرفته اند و مربوط به سازه های با حد شکل پذیری متوسط یا زیاد بر روی زمین نوع IV هستند، آرماتوربندی را می توان در فاصله ای برابر کمترین دو مقدار 5 درصد طول شمع و یا 33 درصد از طولی از شمع که در سنگ و یا خاک سخت قرار گرفته است، از نوک شمع قطع نمود.
4- در شمع های سازه های با حد شکل پذیری متوسط و زیاد که بر روی زمین نوع IV احداث می شوند، به جای در نظر گرفتن آرماتور حداقل در سرتاسر طول شمع، می توان شمع را برای تحمل حداکثر انحنای ایجاد شده تحت اثر حرکت زمین و بازتاب زمین طراحی نمود. در این خصوص حداقل آرماتورها نباید از مقدار نظیر سازه های با شکل پذیری متوسط یا زیاد در خاک نوع II ، I و III کمتر باشد.
5- در صورتی که شمع در قسمتی از طول در هوا، آب یا خاکی فاقد توانایی تامین تکیه گاه جانبی واقع شده باشد لازم است حداقل آرماتورگذاری مطابق جدول بالا در آن تعبیه گردد.
شمع های درجا ریز با غلاف نازک فولادی
در این شمع ها ضوابط حداقل درصد فولاد و طول آرماتورها باید مطابق جدول بالا رعایت گردد. توجه شود در این شمع ها حداقل ضخامت غلاف جداره که به صورت دورپیچ جوش شده باشد، نباید از 2 میلی متر کمتر در نظر گرفته شود. غلاف جداره باید توانایی حفظ شمع را از آسیب موارد مضر در خاک و اثرات تغییر سطح آب زیرزمینی داشته باشد.
شمع های درجا ریز محصور شده با لوله فولادی
در شمع های درجا ریز که با لوله فولادی محصور شده اند، درصد آرماتور طولی در قسمت های فوقانی شمع برابر یک درصد سطح مقطع کل شمع می باشد. این آرماتورها باید در طولی حداقل دو برابر طول مورد نیاز مدفون در سر شمع در نظر گرفته شود. دفت کنید این طول نباید از طول مهاری آرماتورهای شمع تحت کشش کمتر باشد.
شمع های پیش ساخته بتنی
در شمع های پیش ساخته کوبیدنی، طول ناحیه ای از شمع که باید در آن از آرماتور عرضی استفاده شود، باید با در نظر گرفتن امکان تغییرات در تراز نوک شمع تعیین شود.
این تغییرات به علت ایجاد برش های احتمالی در شمع به دلیل پدیده پس زدگی در حین کوبش ( Refusal ) در اثر برخورد به لایه های مختلف خاک می باشد.
در صورتی که شمع های پیش ساخته در ساختمان های با شکل پذیری کم به کار روند، لازم است موارد زیر در خصوص آرماتورگذاری آنها رعایت گردد:
1- حداقل قطر طولی شمع ها برابر یک درصد مساحت مقطع شمع می باشد.
2- آرماتورهای طولی در شمع های با قطر حداکثر 500 میلی متر باید به وسیله دورگیرهای با قطر حداقل 10 میلی متر محصور شوند. در شمع های با قطر بیشتر از 500 میلی متر، قطر حداقل دورگیر برابر 12 میلی متر در نظر گرفته می شود.
3- فاصله دورگیرها در فاصله سه برابر بعد حدافل مقطع از زیر سر شمع باید در رابطه زیر صدق نماید:
![]()
dbmin: قطر کوچکترین میلگرد طولی شمع
4- حداکثر فاصله آرماتورهای عرضی در سرتاسر طول شمع به 150 میلی متر محدود می شود.
5- در شمع های پیش ساخته در ساختمان های با شکل پذیری متوسط و زیاد، علاوه بر موارد فوق، لازم است ضوابط جدول بالا نیز رعایت گردد.
شمع های پیش ساخته و پیش تنیده
در صورتی که شمع ها پیش ساخته بوده و به صورت پیش تنیده نیز باشند، لازم است براساس سطح شکل پذیری سازه، موارد زیر در خصوص آنها رعایت گردد.
سطح شکل پذیری کم
در شمع های پیش ساخته و پیش تنیده مربوط به سازه های با حد شکل پذیری کم، لازم است موارد زیر رعایت گردد:
1- درصد حجمی آرماتور های عرضی از نوع دورپیچ یا دورگیر دایره ای که با Ps نمایش داده می شوند، در فاصله 6100 میلی متری از زیر سر شمع نباید از مقدار زیر کمتر در نظر گرفته شوند.

Pu: نیروهای نهایی وارد بر شمع، نیوتن
Ag: مساحت مقطع ناخالص شمع، میلی متر مربع
f’c: مقاومت مشخصه فشاری بتن، مگاپاسکال
fyt: مقاومت تسلیم آرماتورهای دورپیچ یا دورگیر که حداکثر به 700 مگاپاسکال محدود می شود.
2- در فاصله ای پس از 6100 میلی متر از زیر سر شمع، یعنی سایر قسمت های طول شمع که شامل مورد 1 نمی شوند، مقدار Ps باید حداقل نصف مقدار حاصل از رابطه بالا باشد.
سطح شکل پذیری متوسط و زیاد
در صورتی که شمع پیش ساخته و پیش تنیده در سازه ای با حد شکل پذیری متوسط یا زیاد به کار رود، باید ضوابط سخت گیرانه تری در خصوص آن رعایت گردد.
در این خصوص طول ناحیه شکل پذیر شمع یا تحت اثر نیروهای زلزله می تواند دچار آسیب گردد، یکی از موارد قابل توجه در نظر گرفته می شود.
طول ناحیه شکل پذیری شمع در این حالت معادل فاصله زیر سر شمع ها تا نقطه ای که در آن انحنا به صفر می رسد، به علاوه سه برابر کوچکترین بعد شمع در نظر گرفته می شود، کل طول شمع برابر طول ناحیه شکل پذیری تلقی می گردد.
در این شمع ها لازم است موارد زیر رعایت گردد:
1- در طول ناحیه شکل پذیری شمع، فاصله مرکز تا مرکز دورپیچ یا دورگیرها به صورت زیر بدست می آید:
![]()
b: کوچکترین بعد شمع
db: قطر آرماتورهای طولی شمع
2- وصله دورپیچ ها از طریق همپوشانی یک دور کامل دورپیچ، جوشکاری یا وصله های مکانیکی تامین می شود. در صورتی که وصله از طریق همپوشانی انجام شود، هر یک از آرماتورهای دورپیچ باید منتهی به قلاب لرزه ای باشند.
3- نسبت حداقل حداقل آرماتورهای دورپیچ یا دورگیر دایره ای در طول ناحیه شکل پذیر شمع به صورت زیر بدست می آید:

در این خصوص تعریف پارامترها مطابق رابطه بالا می باشد.
این مقدار نسبت حجمی را می توان از طریق دو دورپیچ داخلی و خارجی مجاور نیز تامین کرد.
4- در نواحی خارج از ناحیه شکل پذیر شمع مقدار Ps حداقل نصف مقدار حاصل از رابطه بالا در نظر گرفته می شود. در این خصوص حداکثر فاصله میلگردهای عرضی باید مطابق آنچه در قسمت های قبل گفتیم رعایت گردد.
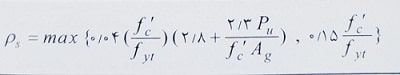
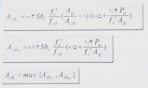
5- در صورتی که که از دورگیر مستطیلی و سنجاقی برای آرماتور عرضی استفاده شود، سطح مقطع کل آرماتور عرضی در ناحیه شکل پذیر شمع براساس روابط زیر محاسبه گردد.

S: فاصله بین آرماتورهای عرضی، میلی متر
bc: فاصله بین بر تا بر خارجی آرماتور عرضی، میلی متر
Ag: سطح مقطع شمع، میلی متر مربع
Ach:سطح مقطع هسته شمع که برابر بر تا بر بیرونی آرماتور عرضی است، میلی متر مربع
Pu: حداکثر نیروی نهایی شمع، نیوتن
fyt: مقاومت تسلیم آرماتورهای عرضی که حداکثر برابر 700 مگاپاسکال در نظر گرفته می شود. دقت شود حداقل میلگردهای عرضی باید برابر 10 میلی متر باشد.
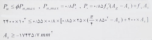
در شمع های پیش ساخته ای که در سازه های با شکل پذیری متوسط و زیاد به کار می روند، حداکثر بار محوری که از ترکیب بارهای قائم و جانبی محاسبه می شود، نباید از مقادیر زیر بیشتر باشد.

با اعمال این محدودیت از ریخته شدن پوشش بتنی خارج از هسته مقطع شمع جلوگیری شده و در نهایت مقطع شمع از مقاومت کافی برخوردار خواهد بود.
مثال: تحلیل سازه نشان می دهد که حداکثر بار محوری فشاری نهایی وارد بر یک شمع درجا بدون غلاف مورد استفاده در یک سازه با شکل پذیری متوسط به قطر 850 میلی متر برابر 2400 کیلونیوتن و حداکثر بار محوری کششی نهایی نیز نصف آن است. اگر این شمع فقط تحت بار محوری قرار داشته و رده بتن C25 و میلگردهای مصرفی آن از نوع S400 باشد، حداقل میلگرد طولی قابل قبول برای این شمع به روش طرح مقاومت با کدامیک از گزینه های زیر مطابقت دارد؟ ( تمام طول شمع در لایه های متراکم خاک تیپ II قرار دارد.)
1- 12Φ20
2- 12Φ18
3- 12Φ25
4- 16Φ22
حل: مطابق آنچه گفتیم، شمع تحت بار محوری مشابه ستون ها تحلیل می شود. دقت شود تحت اثر نیروی محوری بدون لنگر، ضریب کاهش مقاومت براساس جدول تعیین می شود که برای شمع درجا ریز بدون غلاف برابر 0.55 در نظر گرفته می شود. بنابراین با فرض استفاده از تنگ های موازی در شمع داریم:

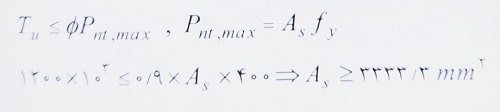
عدد منفی نشان دهنده این است که مقطع شمع بدون وجود آرماتور فشاری نیز از کفایت لازم برخوردار است. از طرفی مقدار آرماتورهای کششی مورد نیاز تحت نیروی کششی Tu=Pu/2=2400/2=1200kN برابر است با:

با توجه به اینکه شمع مربوط به یک سازه با حد شکل پذیری متوسط و بر روی زمین نوع II قرار گرفته است بنابراین مطابق جدول Pmin=0.005 می باشد.

با توجه به اینکه در اکثر گزینه ها از 12 عدد آرماتور استفاده شده داریم:

تذکر: با توجه به مقدار بدست آمده نیازی به کنترل گزینه 4 نیست. بنابراین گزینه 1 صحیح است.
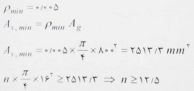
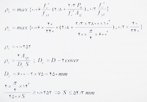
مثال: در یک ساختمان با حد شکل پذیری زیاد که بر روی زمین نوع III احداث شده است. از شمع های درجا ریز بدون غلاف به قطر 800 میلی متر استفاده شده است. در صورتی که در این شمع ها از میلگردهای با قطر 16 میلی متر به عنوان میلگرد طولی و دورپیچ های با قطر 14 میلی متر استفاده شده باشد، آرایش میلگردهای طولی و عرضی حداقل مورد نیاز را بدون توجه به مقادیر محاسباتی در طول شمع بدست آورید. ضخامت سر شمع برابر 1000 میلی متر، پوشش بتن روی میلگردها 75 میلی متر و طول کل شمع برابر 30 متر می باشد، طول خمشی شمع برابر 6 متر در نظر گرفته می شود. مصالح بتن C30 و فولاد S400 می باشد.
حل: با توجه به اینکه شمع درجا و بدون غلاف بوده، لذا لازم است آرماتورگذاری مطابق جدول انجام گردد. با توجه به حد شکل پذیری سازه و نوع زمین، مقدار درصد آرماتورهای طولی برابر 0.005 می باشد، که با توجه به استفاده از میلگردهای 16 به عنوان میلگردهای طولی داریم:

بنابراین حداقل تعداد میلگردهای طولی شمع برابر 14Φ16 انتخاب می شود.
حداقل طول آرماتورگذاری شمع برابر است با:

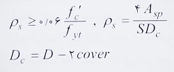
بنابراین طول 15 متر از شمع که معادل نصف طول آن است، باید شامل آرماتورگذاری طولی باشد. با توجه به اینکه در این شمع آرماتورگذاری عرضی شامل دورپیچ است، لذا مطابق جدول نسبت حجمی آرماتور دورپیچ به صورت زیر کنترل می شود.

Asp: مساحت آرماتور دورپیچ
S: گام دورپیچ
D: قطر مقطع شمع
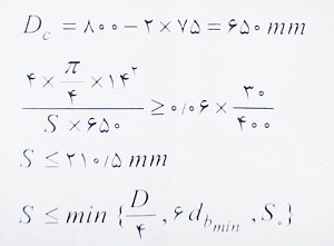
Dc: قطر هسته داخلی مقطع معادل فاصله بر تا بر خارجی آرماتور دورپیچ

از طرف دیگر حداکثر فاصله دورپیچ ها برابر است با:

همانطور که مشاهده می شود با توجه به قطر میلگردهای طولی مقدار S0 در این لحظه بحرانی نمی باشد، بنابراین داریم:

بنابراین حداکثر گام دورپیچ برابر 95 میلی متر در نظر گرفته می شود. دقت شود این دورپیچ ها در فاصله 3D از زیر سر شمع مورد نیاز می باشند.
در خارج از این فاصله دورپیچ با حداکثر فاصله مطابق زیر باید به کار برده شود.

دقت شود مقادیر بدست آمده بدون توجه به مقادیر مورد نیاز تحت اثر لنگر خمشی و برش می باشد. با توجه به این موارد، آرماتورگذاری شمع در طول آن به صورت زیر در نظر گرفته می شود.

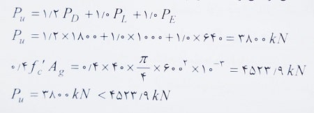
مثال: در یک ساختمان بتن آرمه با سطح شکل پذیری متوسط، شالوده از نوع عمیق و با استفاده از شمع های پیش ساخته و پیش تنیده به قطر 600 میلی متر طراحی شده است. پس از تحلیل سازه مشخص شده است که بارهای وارد بر شمع های ناشی از بارهای مرده، زنده و زلزله به ترتیب برابر 1800، 1000 و 640 کیلونیوتن می باشد. در صورتی که مقرر باشد در این شمع ها از میلگرد Φ14 با رده S340 به عنوان دروپیچ استفاده گردد، به هریک از سوال های زیر پاسخ دهید. بتن از رده C40 و پوشش بتن بابر 75 میلی متر می باشد.
الف) آیا نیروی وارد بر شمع در محدوده مجاز قرار دارد؟
ب) حداکثر گام مجاز آرماتورهای دورپیچ را در طول ناحیه شکل پذیر شمع محاسبه کنید.
حل: الف) همانطور که گفته شد، حداکثر نیروی محوری وارد بر شمع های با مقطع دایره ای برابر 0.4f’cAg می باشد. با مقایسه نیروهای وارد بر شمع با مقدار حاصل از این رابطه داریم:

بنابراین نیروهای وارد بر شمع در محدوده مجاز قرار دارند.
ب) مقدار حداکثر گام دورپیچ در طول ناحیه شکل پذیر مطابق نسبت حجمی مورد نیاز دورپیچ براساس رابطه گفته شده به صورت زیر بدست می آید:

باید دقت شود فاصله بدست آمده براساس ضوابط لرزه ای شمع بوده و ضوابط کلی آرماتورگذاری شمع نیز باید رعایت گردد. بنابراین مطابق آنچه خواندیم فاصله دورپیچ ها به صورت زیر در نظر گرفته می شود:
1- فاصله 5 میلگرد عرضی که با استفاده از دورپیچ معادل پنج گام اول در نظر گرفته می شود، حداکثر باید برابر 25 میلی متر باشد.
2- فاصله میلگردهای عرضی تا 600 میلی متر از زیر سر شمع برابر 100 میلی متر در نظر گرفته می شود.
همانطور که مشاهده می شود، در این قسمت ضابطه لرزه ای بحرانی تر بوده و لازم است حداکثر گام دورپیچ بابر 50 میلی متر در نظر گرفته شود.
3- در سایر نقاط شمع حداکثر گام دورپیچ برابر 150 میلی متر می باشد، در این مورد نیز در طولی که شامل طول شکل پذیر می گردد، لازم است فاصله 50 میلی متری گام دورپیچ رعایت گردد؛ در خارج از این طول می توان گام دورپیچ را برابر 50 میلی متر لحاظ نمود.
4- در فاصله 600 میلی متری از انتهای شمع گام دورپیچ ها برابر 100 میلی متر می باشد، در صورتی که این فاصله خارج از طول شمع بوده قابل قبول است، در غیر اینصورت مطابق مورد 2 باید گام دورپیچ برابر 50 میلی متر لحاظ گردد.
ضوابط لرزه ای شالوده ها – ضوابط لرزه ای شالوده ها – ضوابط لرزه ای شالوده ها – ضوابط لرزه ای شالوده ها – ضوابط لرزه ای شالوده ها – ضوابط لرزه ای شالوده ها




دیدگاه خود را ثبت کنید
تمایل دارید در گفتگوها شرکت کنید؟در گفتگو ها شرکت کنید.