ضوابط طراحی کلاف های رابط

ضوابط طراحی کلاف های رابط

در این اجزا که برای جلوگیری از حرکت نسبی شالوده های منفرد به مجاور به کار برده می شوند، لازم است ضوابط مشخصی در خصوص طراحی و آرماتورگذاری آنها رعایت گردد.

از جمله مهمترین این موارد عبارتند از:

1- در سازه های یک طبقه با دهانه های بزرگ مثل سازه های صنعتی و آشیانه ها که در آنها شالوده ها عمق استقرار و پایداری کافی در برابر نیروهای جانبی دارند، می توان از به کار بردن کلاف رابط در امتداد دهانه های قاب صرف نظر نمود.

با توجه به اینکه دهانه های قاب در این نوع سازه ها فواصل زیادی دارند ( در حدود 20 متر و بالاتر)، کلاف ها نمی توانند نقش خود را به خوبی ایفا کنند و چنانچه  در چنین سازه هایی به کار روند، دچار ترک خوردگی شده و کابردی نخواهند داشت.

در چنین سازه هایی خاکریزی اطراف شالوده باید به روش مناسبی کوبیده و متراکم گردد.

2-ابعاد مقطع کلاف های رابط باید متناسب با ابعاد شالوده های سطحی و حداقل برابر 250 میلی متر باشد.

3- کلاف ها باید برای نیروی کششی معادل 10 درصد بزرگترین نیروی محوری نهایی وارد بر ستون های دو طرف خود طراحی شوند.

4- تعداد میلگردهای طولی کلاف های رابط حداقل چهار عدد با قطر 12 میلی متر می باشد. این میلگردها باید توسط میلگردهای عرضی با قطر حداقل 6 میلی متر و با فواصل حداکثر 250 میلی متر از یکدیگر محصور گردند.

5- میلگردهای طولی کلاف های رابط باید در شالوده های سطحی میانی ممتد بوده و در شالوده های سطحی کناری در بر خارجی ستون مهار گردند.

ضوابط لرزه ای کلاف ها

در صورتی که سازه مورد بررسی سطح شکل پذیری متوسط یا زیاد در نظر گرفته شده باشد، لازم است از کلاف های لرزه ای در جهات ممتد برای اتصال سر شمع ها، ستون پایه ها و پی های صندوقه ای استفاده گردد، مگر آنکه شرایط تکیه گاهی مشابهی برای این اعضا تامین شده باشد.

کلاف لرزه ای در واقع همان کلاف رابط است که مقاومت کششی و فشاری آن حداقل 0.1SDS برابر بزرگترین نیروی محوری ضریبدار ستون یا سر شمع تحت بارهای مرده و زنده است.

SDS پارامتر معرف شتاب پاسخ طیفی در دوره تناوب های کوتاه متناظر با میرایی 5 درصد بوده که مطابق استاندارد 2800 محاسبه می شود.

در صورتی که محدودیت حرکت جانبی ساختمان از یکی از روش های زیر تامین شده باشد، می توان از کاربرد کلاف لرزه ای صرف نظر کرد.

الف) وجود تیرهای بتن آرمه در داخل دال متکی به زمین

ب) وجود دال های متکی به زمین

ج) محصور شدگی شالوده منفرد یا سر شمع به وسیله بسترهای سنگی مناسب، خاک های چسبنده سخت و یا خاک های دانه ای بسیار متراکم

د) سایر روش هایی که به تایید مقاوم قانونی مسئول رسیده باشد.

در صورتی که سازه بر روی خاک های متوسط و نرم ( زمین IV مطابق استاندارد 2800 ) قرار گرفته باشد، شالوده های منفرد و گسترده باید توسط کلاف های لرزه ای به یکدیگر متصل شوند.

در شالوده های با شکل پذیری متوسط و زیاد که در تراز پی در آنها از تیر استفاده شده است، می توان این تیرها را کلاف لرزه ای محسوب نمود، به شرط آنکه آرماتورهای طولی آنها پیوسته بوده و طول مهاری آنها در داخل ستون و پس از آن و یا در سر شمع و شالوده به طور مناسب رعایت شده باشد.

در این حالت تیرها باید شرایط زیر را برآورده نمایند:

الف) کوچکترین بعد تیر در تراز پی بزرگتر از 1/20 فاصله آزاد ستون های متصل به یکدیگر بوده ولی نیازی نیست که از 450 میلی تر بزرگتر باشد.

ب) از دورگیرهای عرضی با حداکثر فاصله برابر کمترین دو مقدار نصف کوچکترین دو بعد  متعامد مقطع و 300 میلی متر استفاده شده باشد.

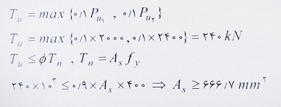
مثال: حداقل مقدار آرماتور لازم برای کلاف رابط به ابعاد  300 در 300 میلی متر که بین  دو پی منفرد به ابعاد 2 در 2 متر که به فاصله 6 متر از یکدیگر قرار گرفته اند، مطابق کدامیک از گزینه های زیر می باشد؟ نیروی نهایی فشاری ستون ها برابر 2000 و 2400 کیلو نیوتن می باشد. بتن از رده C30 و فولادها S400 می باشد.

1- 455                      2- 556                             3- 667                                4- 784

حل: همانطور که گفته شد، کلاف های رابطه برای نیروی کششی 10 درصد بزرگترین نیروی محوری نهایی ستون های طرفین خود طراحی می شوند. در این صورت داریم:

مساحت آرماتور کلاف رابط شالوده بتنی

دقت شود حداقل میلگردهای طولی کلاف ها 4Φ12 می باشد، بنابراین با مقایسه مقدار بدست آمده با مقدار حداقل داریم:

مساحت آرماتور طولی شناژهای فونداسیون

بنابراین گزینه 3 صحیح می باشد.

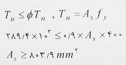
مثال: ساختمانی که با حد شکل پذیری متوسط به نحوی طراحی شده است که در آن فونداسیون ها به عمق یک متر و از نوع منفرد می باشد. مطابق محاسبات لرزه ای انجام شده، شتاب طیفی این ساختمان برابر 0.54 و نیروهای مرده و زنده ستون ها به ترتیب برابر 2200 و 1700 کیلونیوتن بدست آمده است. اگر بخواهیم برای این اتصال فونداسیون های این سازه از کلاف با عرض 500 و عمق 400 میلی متر استفاده کنیم، حداقل مساحت لازم برای میلگردهای طولی آن چقدر باید در نظر گرفته شود؟ بتن از رده C30 و فولاد S400 می باشد.

حل: با توجه به اینکه سطح شکل پذیری سازه متوسط است، بنابراین کلاف های رابط باید مطابق ضوابط خاص طراحی شوند. در این خصوص نیروی طراحی کلاف در کشش و فشار به صورت زیر بدست می آید:

نیروی کششی طراحی کلاف

دقت شود Pu نیروی محوری نهایی ستون ها ناشی از بارهای مرده و زنده می باشد. در این صورت با توجه به یکسان بودن نیروی محوری تمام ستون ها داریم:

نیروی کششی

با توجه اینکه کلاف باید قادر به تامین مقاومت کششی و فشاری به مقدار 289.4 کیلونیوتن باشد، داریم:

نیروی محوری ستون ها

مقطع مستطیلی و فشار – کنترل بوده لذا Φ=0.65 در نظر گرفته می شود.

مساحت میلگرد مورد نیاز برای کلاف شالوده

منفی بدست آمدن مساحت آرماتورها یعنی اینکه نیازی به آرماتور فشاری نیست.

مساحت آرماتور کششی شناژ بتنی

مطابق آنچه گفته شد، مقدار حداقل آرماتور طولی کلاف معادل 4Φ12 بوده، که مساحت آنها رعایت شده است، بنابراین حداقل مساحت میلگردهای طولی برابر 803.9 میلی متر مربع در نظر گرفته می شود.

پیچ اینستاگرام سیویل 2

 

0 پاسخ

دیدگاه خود را ثبت کنید

تمایل دارید در گفتگوها شرکت کنید؟
در گفتگو ها شرکت کنید.

دیدگاهتان را بنویسید

نشانی ایمیل شما منتشر نخواهد شد. بخش‌های موردنیاز علامت‌گذاری شده‌اند *