ضوابط طراحی اجزای جمع کننده و دیافراگم ها

ضوابط طراحی اجزای جمع کننده و دیافراگم ها

ضوابط طراحی اجزای جمع کننده

در قسمت های قبل خواندیم که به دیافراگم ها نیروهای جانبی حاصل از عوامل مختلف اعمال شده، بنابراین این اعضا باید ضمن برخوردار بودن از مقاومت کافی در برابر نیروهای وارده، قادر به انتقال این نیروها به اجزای قائم سیستم باربر جانبی سازه باشند.

انتقال نیروهای جانبی از دیافراگم به اجزای قائم سیستم باربر جانبی از طریق بخشی از دیافراگم که آن جمع کننده نیرو گفته می شود، انجام می شود. جمع کننده ها اجزایی فشاری یا کششی هستند که نیروهای برشی درون صفحه دیافراگم را به اجزای باربر انتقال داده در واقع علت نامگذاری این اجزا نیز همان ماهیت عملکردی آنها می باشد.

در شکل زیر یک دیافراگم نشان داده شده است که در آن سیستم باربر جانبی از نوع دیوار برشی در نظر گرفته شده و این دیوارها در هر دو سمت پلان قرار گرفته اند.

جمع کننده دیافراگم بتنی

به منظور انتقال نیرو بین دو عضو دیافراگم و دیوار، از دو ناحیه با آرماتورگذاری خاص طولی در محل اتصال آنها استفاده شده که معرف جمع کننده می باشد.

با توجه به نیروی برشی دیافراگم که باید به اعضای سیستم باربر جانبی سازه انتقال یابد، جمع کننده ها تحت نیروهای فشاری یا کششی یا هر دو قرار می گیرند.

در واقع این اعضا به صورت محوری عمل کرده، لذا طراحی آنها مطابق ضوابط ستون ها انجام می شود. از طرفی با توجه به استاندارد 2800، اجزای جمع کننده باید برای زلزله تشدید یافته ( ΩE ) طراحی شوند.

به بیان دیگر جمع کننده ها را می توان مشابه تیری در دو انتهای دیافراگم در راستای نیروی جانبی در نظر گرفت که نیروی برشی از طریق آنها به اعضای قائم انتقال می یابد.

معمولا عرض این تیر فرضی هم عرض با عضو قائم سیستم باربر جانبی در نظر گرفته می شود، اما در برخی از مواقع به منظور کاهش مقادیر تنش و همچنین جلوگیری از تراکم آرماتورها در این نواحی عرض آن بیشتر در نظر گرفته شده و قسمتی از دال دیافراگم را نیز شامل می شود.

در چنین شرایطی هر چند ضابطه مشخصی در مبحث نهم ارائه نشده است، اما مطابق آیین نامه بتن آمریکا ( ACI ) مقدار حداکثر عرض جمع کننده از بر اجزای سیستم باربر قائم نباید از نصف طول ناحیه تماسی بین جزء جمع کننده و عضو قائم فراتر رود.

برای درک بهتر به شکل زیر که عرض ناحیه جمع کننده را در این حالت نشان می دهد، توجه کنید.

عرض ناحیه جمع کننده بتنی

be: عرض جمع کننده

b1: عرض بیرونی دیافراگم تا بر عضو قائم سیستم باربر جانبی

x: بیرون زدگی عرض جمع کننده از بر عضو قائم

همانطور که پیش از این گفته شده، به منظور طراحی دیافراگم می توان آن را به صورت تیر نیز مدل کرد. در این حالت عمق تیر برابر عمق کل دیافراگم در نظر گرفته می شود.

در چنین شرایطی تنش برشی در عمق دیافراگم به صورت یکنواخت در نظر گرفته می شود. در مواردی که دیافراگم در تمام طول خود به عضو باربر جانبی متصل نمی باشد، این یکنواختی توزیع برش از بین رفته و جمع کننده ها باید در درون تمام یا بخشی از عمق دیافراگم تا محلی که لازم است، امتداد یابند.

در صورتی که انتقال نیروی جمع کننده به عضو قائم ضروری نباشد، می توان جمع کننده را در طول اعضای قائم نیز قطع نمود.

به منظور درک بهتر از نحوه انتقال نیروها توسط جمع کننده به شکل زیر که یک دیافراگم را در محل اتصال به دیوار نمایش می دهد توجه کنید.

اتصال جمع کننده به دیوار

همانطور که مشاهده می شود، در این دیافراگم به دلیل اینکه عضو باربر دیوار جانبی به طور کامل در تمام عمق دیافراگم حضور ندارد، توزیع نیروی برشی که در عمق دال به صورت خطی و یکنواخت فرض شده است، در محل عضو جمع کننده و اتصال آن به دیوار دچار تغییر می شود.

در واقع با رسیدن نیرو به محل دیوار، جهت نیروی تغییر کرده، بنابراین جزء جمع کننده به طور همزمان تحت اثر نیروی محوری کششی و فشاری قرار می گیرد.

در طراحی اجزای جمع کننده به منظور انتقال صحیح نیروها به اعضای قائم، لازم است دو مورد زیر در خصوص طول آرماتورهای طولی در محل اعضای قائم سیستم باربر جانبی رعایت گردد.

1- حداقل طول آرماتور از بر اتصال به اعضای باربر جانبی به مقدار طول مهاری در کشش در نظر گرفته شود.

به منظور درک بهتر به شکل زیر که نمای اتصال دیافراگم را در محل ستون های سیستم قاب خمشی نشان می دهد، توجه کنید.

حداقل طول مهاری آرماتور دال

همانطور که مشاهده می شود در محل اتصال میانی، آرماتور به صورت مستقیم مهار شده و در محل اتصال به عضو انتهایی میلگرد توسط قلاب مهار شده است.

2- طول مورد نیاز برای انتقال نیروهای طراحی به اعضای قائم از طریق برش اصطکاکی و یا از طریق اتصال دهنده های مکانیکی و یا از طریق سایر ساز و کارهای انتقال نیرو تامین شده باشد.

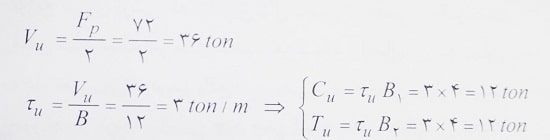
مثال: پلان سازه ای چهار طبقه با سیستم قاب ساده به همراه دیوار برشی بتن آرمه متوسط Ω=2.5 را مطابق شکل زیر در نظر بگیرید که قصد داریم دیافراگم آن را برای اثرات ناشی از نیروی زلزله طراحی کنیم. چنانچه با استفاده از رابطه نیروی جانبی وارد بر دیافراگم ها، نیروی طراحی Fp=72 ton ( در راستای دیوارهای برشی) برای طبقه ای از این سازه بدست آمده باشد، با فرض سختی یکسان دیوارهای برشی و عدم پیچش در سازه، آرماتورهای لازم برای جمع کننده در حالت متمرکز ( هم عرض با دیوار) چقدر است؟ fy=4000 kg/cm2 برای آرماتور

جمع کننده دیافراگم بتنی

حل: منظور از جمع کننده به صورت آرماتورگذاری متمرکز، جمع کننده ای است که هم عرض ضخامت دیوار برشی استفاده می شود. با توجه به شکل زیر، جمع کننده باید قادر باشد تا نیروی برشی Vu=Fp/2 را به دیوار برشی منتقل سازد.

جمع کننده آرماتورگذاری

محاسبه برش در دیافراگم

دقت: تنش برشی τu باید به دو دلیل کنترل شود، اول اینکه این تنش در محدود های B1 و B2 باید در داخل دال منتقل شود و بنابراین باید از ظرفیت برشی دال کمتر باشد و دوم اینکه این تنش باید در طول Bw بین دال و دیوار منتقل شود و باید از ظرفیت برش اصکاکی دال کمتر باشد.

حال برای طراحی المان جمع کننده باید گفت در حالت نیروی کششی، طراحی بحرانی تر می باشد و از سوی دیگر برای طراحی المان جمع کننده باید از نیروی زلزله تشدید یافته استفاده شود.

از آنجا که سیستم سازه ای از نوع قاب ساختمانی با دیوار برشی بتن آرمه متوسط می باشد، ضریب اضافه مقاومت برابر 2.5 بوده و داریم:

مقاومت برشی دال

تنش برشی جمع کنندهای دال بتنی

دقت شود که مقدار آرماتور بدست آمده باید با مقادیر حداقل و حداکثر ستون ها کنترل شود ضمنا در طراحی جمع کننده در این سوال کنترل کشش از فشار آرماتور بیشتری را نتیجه می دهد.

ضوابط لرزه ای طراحی دیافراگم ها

آنچه تاکنون در خصوص طراحی دیافراگم ها خواندیم، ضوابط کلی است که باید در خصوص دیافراگم ها بدون توجه به حد شکل پذیری رعایت نمود.

در صورتی که حد شکل پذیری دیافراگم متوسط یا زیاد باشد به عبارتی دیافراگم جزئی از سیستم باربر جانبی زلزله با سطح شکل پذیری متوسط یا زیاد باشد،، لازم است از ضوابط این قسمت  از فصل در خصوص آنها رعایت گردد.

این ضوابط عمدتا مربوط به آرماتورگذاری بوده و با ذکر چند نکته در خصوص مقاومت دیافراگم ها تکمیل می شود.

انواع دیافراگم های قابل کاربرد

در این حالت نیز انواع مختلف دیافراگم که در قسمت اول توضیح دادیم قابل کاربرد می باشد. باید توجه شود که استفاده از دیافراگم های از نوع دال مرکب با دال بتنی درجا بر روی قطعات پیش ساخته کف یا سقف ریخته شده در صورت مسلح بودن با سطح تماس تمیز و بدون شیره بتن که به صورت مضرس درآمده است مجاز می باشد.

همچنین دال های بتنی غیر مرکب که در آنها دال بتنی درجا بر روی قطعات پیش ساخته کف یا سقف ریخته شده و دارای سطح تماس غیر پیوسته با آنها هستند به عنوان دیافراگم مورد استفاده قرار می گیرند، مشروط بر آنکه دال درجا ریخته شده به تنهایی تحت نیروهای ناشی از زلزله طراحی شده و دارای جزئیات مناسب باشد.

نکته ای که باید به آن توجه کرد این است که در دیافراگم هایی که به طور یکپارچه ساخته می شوند، حداقل ضخامت برابر 50 میلی متر و در دیافراگم هایی که براساس قطعات پیش ساخته فاقد عملکرد مرکب با آنها هستند این ضخامت برابر 65 میلی متر می باشد.

آرماتورگذاری دیافراگم ها

آرماتورهای حداقل دیافراگم ها مطابق قسمت قبل و مطابق مورد نیاز تحت تنش های حرارت و جمع شدگی بدست می آید، به نحوی که حداکثر فاصله آرماتورها در هر جهت به 350 میلی متر محدود می گردد.

در صورتی که از شبکه های سیمی جوش شده به عنوان آرماتور توزیع شده در دال بتنی بر روی قطعات پیش ساخته بام و یا کف استفاده می شود، حداقل فاصله سیم های موازی با درزهای قطعات پیش ساخته از یکدیگر به 250 میلی متر محدود می گردد.

آرماتورهای تامین کننده مقاومت برش به صورت پیوسته بوده و به صورت یکنواخت در عرض صفحه برش توزیع می شوند.

در مورد وصله و مهار آرماتورها لازم است موارد زیر رعایت گردد:

1- وصله یا مهار آرماتورهای اجزای جمع کننده تحت برش و یا کشش ناشی از خمش، باید تحت کشش طراحی شود.

2- در صورتی که از وصله مکانیکی برای انتقال نیرو بین دیافراگم و اجزای قائم سیستم مقاوم در برابر بار جانبی استفاده می شود، وصله از نوع دو یعنی با مقاومت حداقل در برابر مقاومت گسیختگی کششی اسمی آرماتورهای وصله شده باشد. استفاده از وصله های مکانیکی برای آرماتورهای با رده بالاتر از S420 مجاز نمی باشد.

آرماتورهای طولی اجزای جمع کننده باید به گونه ای طراحی شوند که در آنها تنش کششی متوسط در طول های زیر از Φfy بیشتر نشود. در این خصوص مقدار fy نباید بیشتر از 420 مگاپاسکال در نظر گرفته شود.

1- فاصله از انتهای یک جمع کننده تا محلی که نیروی عضو جمع کننده به عضو قائم منتقل می شود.

2- فاصله بین دو عضو قائم در دو انتهای عضو جمع کننده.

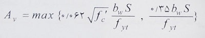
در خصوص اعضای جمع کننده در صورتی که تنش فشاریدر هر مقطع بیشتر از 0.2f’c باشد لازم است آرماتورهای عرضی مطابق آنچه در بخش ستون های با حد شکل پذیری زیاد خواندیم، مورد استفاده قرار گیرد.

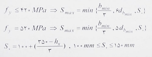
حداکثر فاصله این آرماتورهای عرضی به صورت زیر بدست می آید:

حداکثر فاصله خاموت های جمع کننده بتنی

bmin: کوچکترین بعد عضو جمع کننده

dbmin: قطر کوچکترین میلگرد طولی

hx: فاصله محور تا محور میلگردهایی که به گوشه آرماتورهای عرضی تکیه دارند.

در صورتی که تنش فشاری از 0.15f’c کوچکتر باشد، نیازی به وجود خاموت فوق نمی باشد.

دقت شود در صورتی استفاده از نیروهای طراحی تشدید یافته، به منظور تامین اضافه مقاومت اجزای قائم مقادیر 0.2f’c و 0.15f’c به ترتیب برابر 0.5f’c و 0.4f’c در نظر گرفته می شوند.

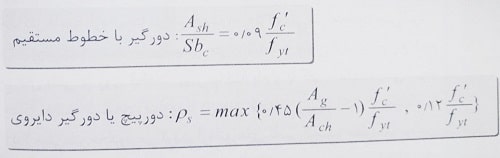
مساحت مورد نیاز آرماتورهای عرضی با توجه به نوع دورگیرها به صورت زیر بدست می آید:

مساحت آرماتورهای دورگیر

Ash: مساحت دورگیرهای عرضی همراه با سنجاقی ها، میلی متر مربع

S: فاصله بین آرماتورهای عرصی، میلی متر

be: بعد هسته مرکزی عضو برابر بر تا بر خارجی آرماتورهای عرضی، میلی متر

Ps: نسبت حجمی آرماتور دورپیچ مورد نیاز

Ag: مساحت کل مقطع عضو، میلی متر مربع

Ach: مساحت هسته عضو که بر تا بر خارجی آرماتور دورپیچ یا دورگیر محصور شده است، میلی متر مربع

fyt: مقاومت حد تسلیم آرماتورهای عرضی، مگاپاسکال

در نواحی وصله ها یا مهارها، یکی از موارد زیر باید در خصوص آرماتورهای طولی رعایت گردد:

1- فاصله مرکز تا مرکز میلگردها حداقل معادل 3 برابر قطر آرماتورهای طولی و حداقل برابر 40 میلی متر پوشش خالص آرماتورها برابر با حداقل 2.5 برابر قطر آرماتورهای طولی و حداقل برابر 50 میلی متر باشد.

2- سطح مقطع آرماتورهای عرضی حداقل برابر مقدار زیر باشد:

سطح مقطع آرماتورهای عرضی حداقل اجزای جمع کننده

مقاومت طراحی دیافراگم

مقاومت خمشی

مقاومت خمشی دیافراگم ها با در نظر گرفتن شکل پذیری دقیقا مشابه قبل بوده و نکته خاصی ندارد.

مقاومت برشی

مقدار مقاومت برشی دیافراگم ها با در نظر گرفتن ضوابط شکل پذیری نیز مشابه آنچه خواندیم محاسبه می شود. نکته ای که در این خصوص وجود دارد این است که در دال های غیر مرکب مقدار Acv برای محاسبات برش با در نظر گرفتن ضخامت رویه محاسبه می شود.

در حالیکه در دال های مرکب مجموع ضخامت دال درجا و قطعات پیش ساخته در محاسبات لحاظ می شود. در دال های مرکب کوچکترین مقدار f’c برای بتن رویه و قطعه پیش ساخته مبنای محاسبه قرار می گیرد.

نکته مهمی که باید به آن توجه نمود این است که مقدار حداکثر Vn در دیافراگم ها به مقدار زیر محدود می شود.

مقدار برش اسمی حداکثر در دیافراگم ها

با دقت در این رابطه مشاهده می شود که این کنترل نیز در حالت معمولی و براساس نامساوی Vu≤ΦVn قابل نتیجه گیری می باشد.

در بالای درزهای بین قطعات پیش ساخته در دیافراگم های با دال رویه درجای مرکب یا غیر مرکب نیز مقدار حداکثر Vn به صورت زیر بدست می آید:

برش اسمی حداکثر دیافراگم مرکب یا غیر مرکب

μ: ضریب اصطکاک که برابر 1λ در نظر گرفته می شود.

Avf: مساحت کل آرماتورهای برش اصطکاکی در داخل رویه شامل آرماتورهای توزیع شده و همچنین آرماتورهای لبه در امتداد عمود بر درزهای قطعات پیش ساخته، میلی متر مربع

fy: مقاومت حد تسلیم آرماتورهای برش اصطکاکی، مگاپاسکال

حداقل نصف Avf باید به صورت یکنواخت در امتداد صفحه برش توزیع شده باشد.

با توجه به اینکه محاسبات آرماتورهای عرضی اجزای جمع کننده تا حد زیادی مشابه ستون ها می باشد، توصیه می شود مجددا سوالات مربوط به طراحی آرماتورهای عرضی ستون ها ( ضوابط لرزه ای قاب های خمشی ) را مرور کنید.

پیج اینستاگرام سیویل 2

ضوابط طراحی اجزای جمع کننده و دیافراگم ها – ضوابط طراحی اجزای جمع کننده و دیافراگم ها – ضوابط طراحی اجزای جمع کننده و دیافراگم ها – ضوابط طراحی اجزای جمع کننده و دیافراگم ها

0 پاسخ

دیدگاه خود را ثبت کنید

تمایل دارید در گفتگوها شرکت کنید؟
در گفتگو ها شرکت کنید.

دیدگاهتان را بنویسید

نشانی ایمیل شما منتشر نخواهد شد. بخش‌های موردنیاز علامت‌گذاری شده‌اند *