ضوابط سازه های با سطح شکل پذیری کم
ضوابط سازه های با سطح شکل پذیری کم
با توجه به استاندارد 2800، استفاده از سیستم با شکل پذیری کم، برای ساختمان های با اهمیت خیلی زیاد نظیر بیمارستان و زیاد نظیر مدرسه در تمام مناطق لرزه خیزی و برای 1 و 2 با خطر نسبی خیلی زیاد و زیاد مجاز نیست.
ارتفاع حداکثر این سیستم برای ساختمان های متوسط و کم، به 15 متر محدود می گردد. از طرفی باید توجه نمود که سیستم های باربر با شکل پذیری کم (معمولی)، شامل قاب های خمشی و یا سیستم های متشکل از دیوار برشی می باشند.
در طراحی هر یک از اجزاء در سیستم های با حد شکل پذیری کم، علاوه بر آنچه در گذشته آموختیم، باید ضوابط این بخش نیز رعایت گردد.
ضوابط تیرها
تیرها در سازه های با شکل پذیری معمولی مشابه آنچه گفتیم قبلا طراحی می شوند؛ با این تفاوت که لازم است نکات زیر نیز در آنها رعایت گردد:
1- حداقل دو آرماتور سراسری در هر یک از وجه های فوقانی و تحتانی مقطع به صورت ممتد، به کار برده شود.
2- حداقل سطح مقطع آرماتورهای تحتانی مقطع برابر یک چهارم حداکثر مساحت آرماتورهای تحتانی در طول دهانه تیر در نظر گرفته شود.
3- آرماتورهای تحتانی در مقاطع بر تکیه گاه برای رسیدن به حد تنش تسلیم و با در نظر گرفتن طول مهاری مربوطه مهار گردند.
ضوابط ستون ها
طراحی هندسی و آرماتورگذاری ستون ها در حالت معمولی مشابه آنچه گفتیم می باشد. به منظور اطمینان از عملکرد مناسب ستون ها تحت اثر بارهای جانبی و عدم بروز گسیختگی برشی، طراحی برشی ستون ها نسبت به آنچه گفته شد کمی سخت گیرانه تر می باشد.
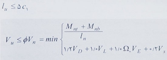
به همین جهت در ستون هایی که حداکثر طول آزاد آنها lu پنج برابر بعد ستون C1 در راستای خمش می باشد، مقاومت برشی طراحی مقطع ΦVn براساس کمترین دو مقدار زیر بدست می آید:
1- برش متناظر با مقاومت خمشی اسمی در هر یک از دو انتهای مقید طول آزاد با در نظر گرفتن انحنای خمشی مضاعف ستون. در این خصوص، مقاومت خمشی ستون براساس بارهای محوری ضریبدار همساز با جهت نیروهای جانبی که بیشترین مقاومت خمشی را نتیجه می دهند محاسبه می شود.
2- مقدار حداکثر برش بدست آمده از ترکیبات بارگذاری که در آنها از اثر تشدید یافته زلزله ΩE به جای E استفاده شده است ( Ω ضریب تشدید نیرو به منظور لحاظ کردن اضافه مقاومت بوده و براساس نوع سیستم باربر جانبی انتخابی بدست می آید. مطابق استاندارد 2800 برای انواع قاب های خمشی بتن آرمه، مقدار این ضریب برابر 3 است.
با توجه به دو مورد فوق، مقاومت برشی ستون به صورت زیر در نظر گرفته می شود:

Vu: برش طراحی ستون
Vn: مقاومت برشی اسمی ستون
Mnt: مقاومت خمشی اسمی ستون در تکیه گاه فوقانی متناظر با نیروی محوری ضریبدار همساز
Mnb: مقاومت خمشی اسمی ستون در تکیه گاه تحتانی متناظر با نیروی محوری ضریبدار همساز
ln: طول آزاد ستون برابر فاصله بر تا بر تکیه گاه ها
VD: برش ناشی از بارهای مرده
VE: برش ناشی از بار زلزله
VL: برش ناشی از بارهای زنده
VS: برش ناشی از بار برف
lu: طول مهار نشده ستون که برابر ارتفاع خالص ستون بوده و در روابط به منظور یکسان سازی همان ln در نظر گرفته می شود.
C1: بعدی از مقطع که لنگر خمشی در راستای آن تعیین می شود.
باید توجه کرد که در محاسبه برش ناشی از لنگر خمشی، جهت لنگرها به نحوی در نظر گرفته می شود که انحنای مضاعف در ستون ایجاد گردد. برای درک بهتر به شکل زیر توجه کنید. در چنین شرایطی مقدار برش بدست آمده حداکثر خواهد بود.

تذکر: در محاسبه نیروی برشی براساس ترکیب بار، دقت شود ترکیب بار 0.9VD+1ΩVE نیز شامل اثر زلزله می باشد، اما به دلیل آنکه این ترکیب بار در کنترل بارهای کششی تعیین کننده است، لذا در کنترل برش در رابطه بالا ارائه نشده است، زیرا حتی به فرض عدم وجود بارهای زنده و برف نیز، به دلیل ماهیت رفت و برگشتی بارهای زلزله، مقدار حاصل از ترکیب بار 1.2VD+1ΩVE نیروی برشی بیشتری نتیجه می دهد.
با توجه به اینکه در طراحی برشی اعضا، نامساوی Vu<ΦVn همواره در نظر گرفته می شود، بنابراین مطابق عبارت اول، مقدار برش طراحی ستون محاسبه شده و آرماتورگذاری مناسب عرضی نیز باید مطابق آنچه در پست های قبلی گفتیم برای برش در ستون تعبیه گردد.
اتصالات تیر به ستون
در طراحی اتصالات تیر به ستون در سازه های با سطح شکل پذیری کم، کافی است ضوابط ارائه شده در خصوص اتصالات تیر به ستون رعایت گردد. همچنین باید توجه کرد که در این حالت برش اتصال در صفحه افقی در وسط ارتفاع اتصال تیر به ستون و با در نظر گرفتن نیروهای کششی و فشاری ناشی از لنگرهای خمشی اسمی تیر Mn محاسبه می شود.

MnR و MnL: لنگرهای خمشی مثبت و منفی تکیه گاهی در دو سمت راست و چپ اتصال
T1 و C1: نیروهای کششی و فشاری ناشی از لنگر خمشی اسمی در تیر سمت راست اتصال
T2 و C2: نیروهای کششی و فشاری ناشی از لنگر خمشی اسمی در تیر سمت چپ اتصال
Vcol,t: برش ستون در بر اتصال
d: عمق موثر تیر
a: عمق بلوک فشاری یکنواخت
باید توجه کرد که برای محاسبه بحرانی ترین حالت مقدار برشی نهایی وارد بر اتصال، لازم است جهت لنگرها به نحوی در نظر گرفته شود که بیشترین مقدار نیروی برشی بدست آید.
به همین دلیل، در نواحی اتصال که دارای تیرهایی با آرماتورهای فوقانی و تحتانی نامتقارن هستند، علاوه بر حالت فوق، باید جهت لنگرها را نیز عکس نموده و مجددا مقدار Vu را محاسبه کرد. بدیهی است برش نهایی اتصال، حداکثر مقدار حاصل از دو رابطه زیر می باشد:

ضوابط دیوارها
سازه های با حد شکل پذیری معمولی، نیازی به در نظر گرفتن ضابطه خاصی وجود ندارد. در این خصوص ضوابط گفته شده قبلا در مورد دیوارها کفایت می کند و توصیه می شود که مجددا پست ضوابط دیوارها را مرور نمایید.
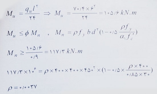
مثال: یک تیر بتن آرمه تک دهانه به طول 6 متر و با عرض 400 و ارتفاع 500 میلی متر را که در یک قاب خمشی با حد شکل پذیری کم به کار رفته است، مطابق شکل زیر در نظر بگیرید. این تیر تحت بار گسترده مرده برابر 32kN/m و بار زنده 20kN/m قرار گرفته است. در صورتی که مصالح مصرفی بتن از رده C30 و فولادها S400 باشند، به هریک از سوالات زیر پاسخ دهید. عمق موثر تیر برابر 450mm در نظر گرفته شود.
الف) با صرف نظر از آرماتورهای فشاری، حداقل مساحت مورد نیاز آرماتورهای تحتانی در مقطع تکیه گاه را محاسبه کنید. تکیه گاه ها به صورت کاملا گیردار در نظر گرفته می شوند. ترکیب بارهای ثقلی در طراحی میلگردهای خمشی استفاده شوند.
ب) در صورتی که ابعاد ستون ها 400x400mm باشد، اتصال تیر به ستون تحت چه نیروی برشی باید طراحی شود؟ از برش ایجاد شده در ستون صرف نظر می شود. ترکیب بارهای ثقلی در طراحی میلگردهای خمشی استفاده شوند.

حل: الف) همانطور که قبلا گفتیم در تیرهای بتن آرمه با حد شکل پذیری کم، حداقل سطح مقطع آرماتورهای تحتانی مقطع برابر یک چهارم حداکثر آرماتورهای تحتانی در طول دهانه در نظر گرفته می شود.
با توجه به اینکه بدون در نظر گرفتن آرماتورهای فشاری، آرماتورهای تحتانی برای تحمل خمش مثبت طراحی می شوند و از طرفی مقدار خمش مثبت نیز در وسط دهانه بیشترین مقدار را دارد، لذا به منظور تعیین مقدار حداقل مساحت آرماتورهای تحتانی در مقطع تکیه گاه، باید ابتدا مساحت آرماتورهای تحتانی در مقطع وسط دهانه مشخص گردد. برای این منظور با توجه به فرض سوال برای استفاده از ترکیب بارهای ثقلی، با محاسبه مقدار بار نهایی وارد بر تیر مطابق ترکیب بار داریم:
![]()
با توجه به اینکه تیر یک دهانه و تکیه گاه ها به صورت گیردار می باشند، بنابراین مقدار لنگر خمشی برابر می شود با:

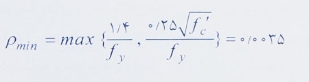
یاد آوری: مقدار درصد آرماتور محاسباتی با درصد آرماتور حداقل مطابق رابطه زیر بدست می آید:

بنابراین درصد آرماتور بدست آمده قابل قبول است. در این صورت حداقل مساحت آرماتورهای تحتانی در مقطع تکیه گاه برابر است با:

ب) با توجه به اینکه در ناحیه اتصال، تیر فقط از یک سمت وجود دارد، بنابراین با صرف نظر از مقدار برش در ستون، مقدار نیرو براساس نیروی کششی ناشی از لنگر خمشی اسمی تیر و به صورت زیر محاسبه می شود.
![]()
با توجه به اینکه مقدار لنگر تکیه گاه در خمش منفی حداکثر است، بنابراین مقدار برش در اتصال براساس لنگر خمشی منفی محاسبه می شود. در این صورت خواهیم داشت:

بنابراین ناحیه اتصال باید برای نیروی برشی 554.4kN ناشی از لنگر خمشی اسمی ایجاد شده در تیر مجاور طراحی گردد.
مثال: شکل زیر نمای یکی از ستون های یک ساختمان بتن آرمه را که متعلق به یک قاب خمشی با حد شکل پذیری معمولی است را نشان می دهد. مقطع ستون به صورت مربعی به بعد 600 میلی متر و تیرها به عرض 500 و ارتفاع 400 میلی متر در نظر گرفته شده اند.
در صورتی که مقدار برش در مقطع بحرانی ستون تحت بار بحرانی برابر 600kN.m باشد. مقدار برش طراحی این ستون برابر کدام یک از گزینه های زیر می باشد؟ ترازهای مشخص شده بر روی شکل تراز فوقانی تیرها بر حسب متر بوده و مصالح مصرفی C30 و S400 می باشد. کاور بتن برابر 50 میلی متر و ضریب تشدید Ω برابر 3 در نظر گرفته می شود.
1- 414 کیلونیوتن 2- 336 3- 364 4- 485

حل: با توجه به آنچه خواندیم، چنانچه طول مهار نشده ستون حداکثر 5 برابر بعد آن در راستای خمشی باشد، لازم است حداقل مقاومت برشی طراحی مقطع براساس کوچکترین مقادیر حاصل از تشکیل مقاومت خمشی اسمی و همچنین نیروی برشی ناشی از بارگذاری تشدید یافته محاسبه گردد.
بنابراین ابتدا طول مهار نشده ستون که برابر فاصله بر تا بر تکیه گاه ها است را با استفاده از تراز تیرها و ارتفاع آنها محاسبه می کنیم:
![]()
دقت شود ارتفاع تمام تیرها 400 میلی متر است.
![]()
بنابراین مقاومت برشی براساس موارد گفته شده محاسبه می شود.
با فرض ایجاد خمش مضاعف در ستون، مقدار برش به صورت زیر محاسبه می شود. دقت شود به دلیل یکسان بودن مقدار مقاومت خمشی در دو انتهای ستون، نیازی به در نظر گرفتن دو حالت با جهت خمش متفاوت نمی باشد.

بنابراین مقدار حداقل برش ΦVn باید برابر 364 کیلونیوتن در نظر گرفته شود. توجه شود نحوه طراحی مقطع تحت اثر این نیرو مطابق آنچه خواندیم انجام می شود.
بنابراین گزینه 3 صحیح است.
ضوابط سازه های با سطح شکل پذیری کم – ضوابط سازه های با سطح شکل پذیری کم – ضوابط سازه های با سطح شکل پذیری کم – ضوابط سازه های با سطح شکل پذیری کم




دیدگاه خود را ثبت کنید
تمایل دارید در گفتگوها شرکت کنید؟در گفتگو ها شرکت کنید.