ضوابط اعضای فشاری مرکب از چند نیمرخ فولادی
ضوابط اعضای فشاری مرکب از چند نیمرخ فولادی
مقاطع مرکب معمولا از دو یا چند نیمرخ نورد شده تشکیل شده اند. از جمله دلایل اصلی استفاده از مقاطع مرکب عبارتند از:
1- سطح مقطع نیمرخ های نورد شده رایج در بازار، به تنهایی برای تحمل نیروی فشاری کفایت نکند.
2- نسبت به مقاطع نورد شده موجود، نیاز به افزایش شعاع ژیراسیون باشد.
3- به دلایل مسائل اجرایی و اتصال دیگر اعضای سازه به ستون ها، به شکل هندسی خاصی نیاز باشد.
برای ساخت اعضای فشاری، می توان نیمرخ های تک را با استفاده از ورق های بست به صورت موازی و یا مورب به یکدیگر متصل نمود.
بست ها را می توان از تسمه، نبشی، ناودانی و یا حتی نیمرخ I انتخاب کرد.
اتصال بست ها به نیمرخ های اصلی عضو فشاری باید توسط پیج، پرچ و یا جوش دور تا دور صورت گیرد.
در این پست می خواهیم در سه بخش، ضوابط اعضای فشاری مرکب با اتصال سراسری، با بست های موازی و مورب را بررسی کنیم.
اعضای فشاری مرکب با اتصال سراسری
اگر اتصال دو مقطع ستون به صورت سراسری توسط جوش یا ورق صورت بگیرد، برای طراحی مقطع دوبل، مراحل زیر را طی می کنیم:
الف) تعیین مشخصات هندسی مقطع جدید:
(Ix و Iy و A مربوط به پروفیل تک هستند)

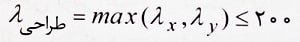
ب) تعیین λx و λy و محاسبه نسبت لاغری طراحی:
![]()
ج) محاسبه مقاومت اسمی عضو فشاری:
![]()
د) بررسی کفایت مقطع:
![]()
مثال: عضو فشاری A از تک نبشی L120x12 و عضو فشاری B از دوبل نبشی بهم چسبیده 2L120x12 ساخته شده است. چنانچه نوع فولاد مصرفی و طول موثر هر دو عضو یکسان باشد، کدامیک از گزینه های زیر صحیح است؟
1- نسبت لاغری B کمتر از نسبت لاغری عضو A می باشد.
2- نسبت لاغری عضو B بیشتر از نسبت لاغری عضو A می باشد.
3- ممکن است در شرایطی نسبت لاغری هر دو عضو یکسان شود.
4- نمی توان اظهار نظر قطعی کرد.

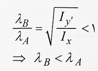
حل: برای مقطع A محورهای ‘x و ‘y به ترتیب محورهای قوی و ضعیف هستند و کمانش حول محور ‘y اتفاق می افتد از طرفی برای مقطع B محورهای r و s به ترتیب محورهای ضعیف و قوی هستند و کمانش مقطع حول محور r اتفاق می افتد. حال با توجه به محور ضعیف هر مقطع می توان از رابطه نسبت لاغری هر کدام را محاسبه کرد.
توجه کنید با توجه به صورت سوال، در رابطه λ برای هر دو مقطع مقدار KL با هم برابر است.


توجه کنید که در مقطع B برای کمانش حول محور r همان محور x در مقطع تک نشی است، مقدار ممان اینرسی و سطح مقطع هر کدام دو برابر مقطع تک نبشی است .
در ادامه برای مقایسه بین نیروی مجاز فشاری این اعضا داریم:

Iy’ حداقل ممان اینرسی مقطع تک نبشی است و قطعا از Ix کوچکتر است.
بنابراین گزینه 1 صحیح است.
اعضای فشاری مرکب با بست های موازی (افقی)
ستون دوبل نشان داده شده در زیر را با بست های موازی در نظر بگیرید. از مقاومت مصالح به خاطر داریم که محور خمش و محور برش بر یکدیگر عمود هستند، بنابراین لنگر خمشی در راستای محور x، برشی در راستای محور y را ایجاد می کند که این برش عمود بر بست ها بوده و بر روی بست ها تاثیری ندارد.
بنابراین بست ها برای خمش در راستای محور x اثری ندارند و در محاسبه λx هیچگونه اصلاحی صورت نمی گیرد.
λx=KxL/rx
در خمش حول محور y، برش در راستای محور x وارد می شود و باید این برش توسط بست ها که در راستای محور x واقع شده اند تحمل شود، لذا نسبت لاغری برای خمش در راستای محور y باید به صورت زیر اصلاح گردد.
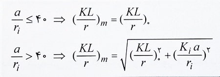
الف) اگر اتصال قطعات به مقطع صورت پیچی و با عملکرد اتکایی باشد:

a: فاصله مرکز به مرکز بست ها در امتداد طول عضو
ri: شعاع ژیراسیون حداقل برای پروفیل تک
0(KL/r) : نسبت لاغری مقطع ساخته شده نسبت به محور مورد نظر
بنابراین همواره برای اعضای فشاری مرکب، نسبت لاغری نسبت به محور عمود بر صفحه بست اصلاح می شود. به این محور اصطلاحا ” محور بدون مصالح مقطع ساخته شده” گفته می شود.
ب) اگر اتصال قطعات بست به مقطع به صورت جوشی و یا پیچی با عملکرد اصطکاکی باشد:

Ki:
0.75 برای نبشی پشت به پشت ، 0.75 برای ناودانی پشت به پشت و مقدار 0.86 برای سایر مقاطع فولادی
فاصله بست ها از یکدیگر باید به اندازه ای باشد که نسبت لاغری تک نیمرخ عضو فشاری در قسمتی که بین دو بست متوالی قرار دارد، از3/4 نسبت لاغری تعیین کننده کل عضو ساخته شده بیشتر نشود یعنی داریم:

در این رابطه a فاصله بست ها و ri شعاع ژیراسیون حداقل نیمرخ تک می باشد.
طراحی بست های افقی (موازی)
برای طراحی بست های موازی گام های زیر باید انجام شود:
گام اول: بست های موازی و اتصالات آنها باید برای تحمل لنگر خمشی و نیروی برشی وارد بر آنها طراحی شوند. مقدار نیروی برشی جانبی ستون که بست ها براساس آن طراحی می شوند عبارت است از دو درصد مقاومت فشاری موجود عضو فشاری مرکب به علاوه برش در ستون ناشی از اثرات بارگذاری خارجی، به عنوان مثال در ستون دوبل نشان داده شده، برش طراحی بست ها برابر است با:


توجه کنید که Vdesign در راستای بست ها محاسبه می شود (به شکل بالا دقت کنید) بنابراین Vu,col نیز باید راستای بست ها باشد.
نکته: برای تعیین Vu,col در صورتی که برش ستون در راستای بست ها داده شده باشد از آن استفاده می کنیم. در غیر اینصورت می توان با توجه به جهت لنگر وارد بر ستون، مقدار برش ستون را تعیین کرد.
مطابق شکل های زیر اگر طول ستون L باشد داریم:


دقت کنید در حالتی که لنگر حول محور x باشد، برش متناظر آن در راستای محور y است و بنابراین در طراحی بست ها (موازی محور x) نقشی ندارد.
گام دوم: بعد از تعیین برش طراحی، نیروی برشی و لنگر خمشی که هر بست برای آن طراحی می شود، عبارت است از:

b: فاصله بین مرکز هندسی دو نیمرخ
گام سوم: ابعاد و مشخصات بست ها را به صورت زیر در نظر می گیریم:

در ادامه بست را می توان از روابط زیر بدست آورد:

تذکر: روابط مربوط به کنترل خمش و برش مقاطع را در قسمت های بعدی یاد می گیریم.
گام چهارم: اتصال بست به ستون عمدتا توسط جوش دور تا دور انجام می گیرد. طراحی این اتصال در قسمت های بعدی گفته خواهد شد.
دقت شود که اتصال مورد استفاده در این حالت تحت نیروی برشی و لنگر پیچشی قرار دارد.

نکات طراحی بست های موازی
1- طول بست مورد نیاز بر این اساس تعیین می شود که طول جوش دور تا دور بست کافی باشد.
2- طول بست ها نباید از 0.5b کوچکتر و ضخامت آن نباید از 1/50b کوچکتر باشد (b فاصله بین مراکز هندسی دو نیمرخ می باشد)
3- در انتهای عضو فشاری و محل اتصال آن به کف ستون، به منظور یکپارچه عمل نمودن مقطع دوبل می بایست از ورق های انتهایی استفاده شود.
ورق های انتهایی که در دو سر عضو فشاری قرار می گیرند، باید دارای حداقل طولی (در امتداد محور طولی عضو) برابر با فاصله بین مراکز هندسی نیمرخ های تشکیل دهنده عضو فشاری b باشند.
ضخامت ورق های انتهایی نباید از 1/50 فاصله بین مراکز هندسی دو نیمرخ کمتر باشد.

4- بعد جوش دورتا دورمتصل کننده ورق انتهایی به ستون حداقل 0.7t و یا بعد جوش حداقل، هر کدام که بزرگتر است می باشد (t ضخامت ورق انتهایی است)
5- پهنای ورق های انتهایی باید حداقل برابر فاصله بین مراکز هندسی نیمرخ های تشکیل دهنده عضو فشاری باشد. چنانچه اتصال این ورق ها به اجزای فشاری از نوع پیچشی باشد، فاصله وسایل اتصال در امتداد عرضی (عمود بر محور طولی عضو فشاری) ستون حداقل باید برابر فاصله بین مراکز هندسی نیمرخ های تک باشد.
6- در محل اتصال تیر به ستون باید از ورق هایی به نام ورق اتصال به جای بست ها استفاده شود. ارتفاع این ورق در هر سمت تیر باید به اندازه ای باشد که فضای کافی برای اتصال نبشی ها و لچکی فراهم آید.
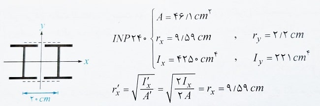
مثال: ستونی از 2INP240 به فاصله سانتی متر از یکدیگر و با بست های موازی PL25x10x1cm با فواصل 90 سانتی متر از هم ساخته شده است که با جوش به ستون متعلق به اسکلتی است که در هر دو جهت مهاربندی شده است. مقاومت طرح فشاری ستون براساس کمانش خمشی چقدر است؟ (Fy=2400kg/cm2)
1- حدودا 189 تن 2- 157 3- 144 4- 127
حل: ابتدا باید مشخصات هندسی مقطع تک INP240 را از جدول اشتال بدست آورده و با استفاده از آنها مشخصات مقطع دوبل را محاسبه کنیم.
شعاع ژیراسیون مقطع دوبل محور x، به دلیل افزایش یکسان I’x و A’x، تغییر نمی کند و با مقطع تک برابر است.

با توجه به اینکه ستون در هر دو جهت متعلق به اسکلت مهار بندی شده است، می توان گفت که ستون مشابه یک عضو دو سر مفصل عمل می کند و ضریب طول موثر در هر دو جهت برابر یک می باشد.

نسبت لاغری ستون برای خمش حول محور y باید اصلاح شود. با توجه به اینکه اتصال بست ها به ستون از نوع جوشی است داریم:

بنابراین گزینه 2 صحیح است.
اعضای فشاری مرکب با بست های مورب
بست های مورب را می توان به صورت تکی یا ضربدری به کار برد. زاویه امتداد بست های مورب نسبت به محور طولی عضو نباید کمتر از 60 درجه برای بست های تکی و 45 درجه برای بست های ضربدری باشد.
همچنین نسبت لاغری برای بست های مورب تکی نباید از 140 و برای بست های مورب ضربدری نباید از 200 بیشتر شود.

در هر دو حالت استفاده از بست مورب تکی یا ضربدری، لاغری تک ستون (نسبت طول ستون به شعاع ژیراسیون حداقل مقطع تک ستون)، بین نقاط اتصال بست ها باید در رابطه زیر صدق کند.

در این رابطه فاصله a بین بست ها و ri شعاع ژیراسیون حداقل نیمرخ تک می باشد.
طراحی بست های مورب
گام اول:مشابه ستون با بست های موازی،نیروی برشی که بست ها برای آن طراحی می شوند برابراست با:
![]()
گام دوم:در طراحی ستون ها با بست های مورب.بست ها عموما عملکرد محوری دارند ومانند یک عضو فشاری (ستون) طرح می شوند. نیروی فشاری طراحی بست های مورب با توجه به شکل زیر عبارت است از:

m= مساوی یک برای بست مورب تکی و مساوی دو برای بست مورب ضربدری
n= تعدادصفحات بست در طرفین ستون،مثلا برای ستون دوبلIPE که دردو طرف بست خورده است برابر دو در نظر گرفته میشود.
گام سوم:تعیین نسبت های لاغری و به دست آوردن نسبت لاغری طراحی بست برای محاسبه نسبت های لاغری بست ها. نکات زیر باید مد نظر قرار گیرد:
1- طول آزاد بست های تکی برابر فاصله بین مرکز هندسی اتصالات دوسر آنها بوده و دربست های زوج ضربدری برابر 70 درصد این فاصله میباشد.
L=s :برای بست تکی
L=0/7 S: برای بست ضربدری
2- برای بست های تکی با توجه به شعاع ژیراسیون حداقل مقطع بست داریم:

گام چهارم: تعیین Fcr برای بست به کمک جدول و یا روابط مربوطه
گام پنجم: بررسی کفایت بست ها
![]()
توجه: مقطع بست اگر به صورت ورقی باشد،ازنوع مقاطع توپربوده و لذا تنها کمانش خمشی برای آن کنترل کننده است.
مثال: در اعضای فشاری مرکب با بست های موازی و چپ وراست کدام یک ازموارد زیر نادرست میباشد؟
1) نسبت لاغری بست های مورب ضربدری دراعضای فشاری مرکب نبایداز 200 بیشتر شود.
2)نسبت لاغری بست های مورب تکی دراعضای فشاری مرکب نباید از 140 بیشترشود.
3)نسبت لاغری تک نیمرخ دراعضای فشاری مرکب با بست های موازی در فاصله بین دو بست نباید از 2/3نسبت لاغری تعیین کننده کلی عضو بیشترشود.
4)نسبت لاغری تک نیمرخ دراعضای فشاری مرکب با بست های چپ وراست در فاصله بین نقاط اتصال بست ها نباید از 3/4 نسبت لاغری تعیین کننده کلی عضو بیشتر شود.
حل:
مطابق نکات گفته شده ،عبارت(3) نادرست میباشد و بنابراین(3) پاسخ تست است.
مثال: درانتهای ستون مشبک(ستون های ساخته شده از نیمرخ وبست های چپ وراست) باید:
1)از ورق باضخامت حداقل 1/50فاصله بین دوخط اتصال دوطرف آن استفاده شود.
2)ازورق با قید با طول حداقل نصف فاصله عرضی دو خط اتصال ورق به ستون استفاده شود.
3)ازهمان ورق های بست مشابه با قسمت های دیگر ستون مشبک استفاده گردد.
4)تمهیدات خاصی لازم نیست.
حل: همانطور که گفته شد،در انتهای ستون های مشبک (ستون های ساخته شده از نیمرخ ها و بست های چپ و راست )،باید ازورق قید با حداقل 1/50 فاصله بین مراکز هندسی دو نیمرخ استفاده نمود. بنابراین گزینه(1) صحیح است.
ضوابط اعضای فشاری مرکب از چند نیمرخ فولادی – ضوابط اعضای فشاری مرکب از چند نیمرخ فولادی – ضوابط اعضای فشاری مرکب از چند نیمرخ فولادی – ضوابط اعضای فشاری مرکب از چند نیمرخ فولادی – ضوابط اعضای فشاری مرکب از چند نیمرخ فولادی




دیدگاه خود را ثبت کنید
تمایل دارید در گفتگوها شرکت کنید؟در گفتگو ها شرکت کنید.