ترک خوردگی در اعضای بتن آرمه
ترک خوردگی در اعضای بتن آرمه
همانطور که در فصل خمش خواندیم، یکی از ضعف های مصالح بتن، مقاومت پایین آن در برابر کشش می باشد. به همین دلیل با ایجاد تنش های کششی نسبتا کم در مقطع، ترک خوردگی آغاز شده و به تدریج و با افزایش مقدار بار، طول و عمق ترک ها نیز افزایش می یابد.
برای حفظ عملکرد مناسب اعضا بسیار مهم است که مقدار ترک ها در محدوده مشخصی قرار گرفته و در واقع تعداد و عرض آنها در مرحله طراحی کنترل شده باشد.
در این قسمت می خواهیم با نحوه کنترل مقطع در برابر ترک خوردگی آشنا شویم.
ترک خوردگی در اعضای خمشی
مهمترین عامل در نحوه ایجاد و توزیع ترک های خمشی در اعضای بتن آرمه، نحوه قرار گیری آرماتورهای طولی می باشد.
با توجه به اینکه ترک های خمشی در حد فاصل میلگردهای طولی ایجاد می شوند، لذا چنانچه فواصل میلگردها از یکدیگر نسبتا زیاد باشد، احتمال وقوع ترک های عریض تر زیاد خواهد بود.
اما در صورتی که آرماتورهای طولی با قطر کوچکتر ولی با تعداد بیشتری انتخاب شوند، فاصله بین آرماتورهای طولی کمتر شده، لذا ترک های کوچکتری بین آرماتورها شکل خواهد گرفت.
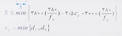
هر چند که در این حالت تعداد ترک ها نسبت به حالت قبل افزایش خواهد یافت. با توجه به این توضیحات، به منظور کنترل عرض ترک ها، حداکثر فاصله بین آرماتورهای طولی در تیرها و دال های یک طرفه به مقدار زیر محدود می شود:


S: حداکثر فاصله بین میلگردهای خمشی، میلی متر
fs: تنش آرماتورهای کششی تحت اثر بارهای بهره برداری، مگاپاسکال
Cc: حداقل فاصله سطح میلگردهای کششی آجدار از وجه کششی، میلی متر
d1 و d2 : فواصل سطح خارجی میلگردهای کششی طولی تا رویه بتن، میلی متر
نکته: در حالت کلی مقدار fs براساس بارهای وارد بر مقطع و با توجه به مقدار کرنش ایجاد شده در آرماتورهای طولی تحت بارهای بهره برداری بدست می آید.
چنانچه اطلاعات مورد نیاز برای رسم نمودار کرنش ها ارائه نشده باشد، می توان به طور تقریبی مقدار تنش میلگردها در حالت بهره برداری را برابر fs=2/3fy در نظر گرفت.
بیشتر بدانیم
ضابطه ارائه شده در خصوص فاصله حداکثر میلگردها باید در یک سفره میلگرد رعایت شود، اما چنانچه آرماتور کششی مقطعی تنها شامل یک عدد میلگرد باشد، در آن صورت دورترین وجه کششی حداکثر برابر S در نظر گرفته می شود.
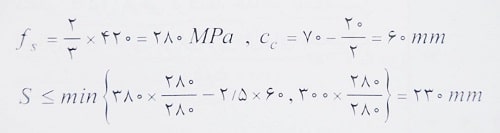
مثال: در یک تیر بتن آرمه به ابعاد 600×400 mm، از میلگردهای خمشی با مقاومت حد تسلیم 420MPa و در یک ردیف استفاده شده است. به منظور اطمینان از این که در حالت بهره برداری عرض ترک ها در محدوده مجاز باقی خواهد ماند، حداکثر فاصله میلگردهای طولی مجاور از یکدیگر چقدر باید در نظر گرفته شود؟ فاصله مرکز آرماتورها از نزدیکترین رویه بتن برابر 70 میلی متر و قطر آرماتورهای مصرفی برابر 20 میلی متر در نظر گرفته شود.
1- 250 میلی متر 2- 180 میلی متر 3- 150 4- 200
حل: به منظور اطمینان از مقدار مناسب عرض ترک ها در اعضای خمشی، حداکثر فاصله بین میلگردهای مجاور به صورت زیر محاسبه می شود:

fs در صورت عدم وجود اطلاعات کافی می تواند برابر 2/3fy در نظر گرفته شود. در این صورت خواهیم داشت:

بنابراین حداکثر فاصله بین میلگردها برابر 230 میلی متر در نظر گرفته شده و گزینه 4 صحیح است.
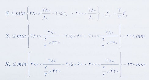
مثال: یک تیر بتن آرمه به ارتفاع 500 میلی متر از آرماتورهای خمشی S340 طراحی شده است. چنانچه به علت وجود میلگردهای رده S420 در محل پروژه قرار باشد از این میلگردها استفاده شود، حداکثر فاصله بین میلگردهای طولی در این تیر به لحاظ کنترل عرض ترک چگونه تغییر می کند؟ فاصله بین سطح میلگردها تا نزدیکترین رویه بتن برابر 60 میلی متر در نظر گرفته می شود.
1- حداکثر فاصله بین میلگردها در حدود 24% باید افزایش یابد.
2- حداکثر فاصله بین میلگردها باید حدود 18% کاهش یابد.
3- حداکثر فاصله بین میلگردها باید در حدود 28% کاهش یابد.
4- حداکثر فاصله بین میلگردها باید در حدود 16% افزایش یابد.
حل: با تغییر مصالح میلگردها، مقدار تنش در حالت بهره برداری تغییر می کند، در این صورت با توجه به اطلاعات داده شده داریم:

بنابراین در حالت دوم حداکثر فاصله بین میلگردها باید
کاهش یابد.
بنابراین گزینه 3 صحیح است.
مثال: در یک منبع آب زیر زمینی از بتن آرمه با بتن C30 که ابعاد داخلی آن 8x8x3 m و ضخامت دیواره ها 300 میلی متر می باشد. آرماتورها قائم دیوارها ( در لایه داخلی منبع ) Φ16 از نوع S340 در نظر گرفته شده اند. اما در میانه ارتفاع دیوارها و در سطوح داخلی عرض ترک ها و گستردگی آنها زیاد شده است. در حالت حدی بهره برداری، تنش کششی میلگردها 150MPa می باشد. کدام گزینه راه حل مناسب و موثر جهت محدود کردن عرض ترک می باشد؟ ضخامت پوشش بتن تا مرکز آرماتورها 65 میلی متر است و رفتار دیوار به صورت دال در نظر گرفته شود و از اثر بار محوری ( قائم ) روی دیوار صرف نظر گردد.
1- افزودن پوشش بتن روی آرماتور
2- استفاده از میلگردهای نوع S400
3- استفاده از بتن نوع C35
4- استفاده از میلگردهای با قطر کوچکتر و فاصله کمتر
حل: همانطور که خواندیم، به منظور کنترل عرض ترک و گستردگی آنها در ناحیه کششی بتن تحت کشش در تیرها و دال های یک طرفه، فاصله میلگردهای خمشی باید به صورت زیر در نظر گرفته شود:

در این خصوص کنترل ترک در دیواره های مخزن نیز تا حدودی مشابه اعضای خمشی در نظر گرفته می شود. هر چند که طراحی دقیق آن و کنترل ترک ها که یکی از نکات بسیار مهم در طراحی مخازن آب محسوب می شود، بر مبنای نشریه 123 سازمان مدیریت ئ برنامه ریزی باید انجام گردد، در طراحی این سوال، هدف بررسی مکانیزم کلی ترک خوردگی و ارائه راهکار به منظور کنترل عرض ترک ها، مطابق مفاهیم کلی اعضای خمشی می باشد.
در این خصوص براساس آنچه یاد گرفتیم، ترک ها در محدوده میلگردهای طولی رخ داده و هرچه فواصل میلگردها به هم نزدیکتر باشد، ترک ها افزایش یافته و عرض آنها کوچکتر می شود و در واقع علت محدود کردن فاصله میلگردها نیز رعایت این نکته می باشد. با توجه به این توضیحات مشخص است که گزینه 4 پاسخ صحیح سوال است.
توجه شود افزایش پوشش روی آرماتورها به تنهایی عامل موثری در کاهش عرض ترک نمی باشد، زیرا در برخی از موارد افزایش پوشش بتن باعث افزایش عمق ترک ها و در نتیجه افزایش عرض آنها در روی سطح می گردد.
افزایش رده فولاد آرماتورهای طولی نیز در شرایط تساوی مقاومت خمشی، باعث کاهش میلگرد مورد نیاز می شود که این حالت نیز به منظور کاهش عرض ترک ها مطلوب نمی باشد.
مثال: در یک تیر بتنی با مقطع مستطیلی به عرض 300 میلی متر و ارتفاع کل 500 میلی متر، در صورتی که پوشش بتن از روی خاموت برابر 50 میلی متر، آرماتور طولی کششی 3Φ25 در یک سفره، خاموت Φ10@150mm/cc، نوع فولاد S400 و تنش میلگرد در حالت بهره برداری برابر 0.5fy باشد، حداکثر فاصله بین آرماتورهای طولی به منظور کنترل عرض ترک ها بر حسب میلی متر برابر است با:
1- 380 2- 400 3- 420 4- 350

بنابراین گزینه 1 صحیح است.
ترک خوردگی در اعضای بتن آرمه – ترک خوردگی در اعضای بتن آرمه – ترک خوردگی در اعضای بتن آرمه




دیدگاه خود را ثبت کنید
تمایل دارید در گفتگوها شرکت کنید؟در گفتگو ها شرکت کنید.