بررسی همزمان معیارهای مختلف طراحی سازه فولادی
بررسی همزمان معیارهای مختلف طراحی سازه فولادی
در طراحی سازه های واقعی لازم است تا طراح سازه اثر نیروهای مختلف را در طراحی یک عضو در نظر بگیرد و در این حال باید تصمیم گیری درستی برای توازن در طراحی داشته باشد.
در این پست به بررسی نحوه مقایسه طراحی یک عضو براساس معیارهای مختلف طراحی می پردازیم.
تا به اینجای کار از تفسیر مبحث دهم مقررات ملی ساختمان مطالب مختلفی را در ارتباط با طراحی اعضای یک سازه بررسی کرده ایم، به عنوان مثال برای طراحی و کنترل تیرها، سه معیار اصلی زیر را عنوان کردیم:
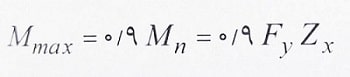
1- کنترل مقاومت خمشی تیر: به طور نمونه برای تیرهای I شکل با دو محور تقارن که فشرده بود و دارای مهار جانبی کافی هست داریم:

2- کنترل مقاومت خمشی برشی تیر: که به طور نمونه برای انواع مقاطع I شکل رابطه زیر تعیین می شود:

3- کنترل معیار تغییر شکل تیر: که بر حسب نوع بارهای وارد بر تیر به صورت زیر کنترل می شود:

بررسی هایی که در این قسمت ها انجام دادیم، عمدتا به صورت مجزا از هم بوده و به طور مثال در هنگام کنترل مقاومت خمشی یک تیر، بحث تغییر شکل آن مد نظر نبوده است.
با این حال باید بدانیم که به طور کلی در یک طراحی واقعی همه این ها باید با هم بررسی شوند. حال موضوع جالبی که می توان در بحث کنترل همزمان معیارهای طراحی بیان نمود آن است که مقایسه اولویت دار این معیارها چگونه است؟
برای پاسخ به این سوال، به طور مثال حالت های زیر در نظر بگیرید:
حالت اول: فرض کنید روند طراحی یک تیر، معیارهای کنترل مقاومت خمشی و برشی مد نظر باشند.
حال اگر بخواهیم به طور مثال معیار برش بر معیار خمش اولویت داشته باشد و به عبارت دیگر برش بحرانی تر از خمش باشد، باید نسبت نیروی موجود به طراحی در برش از نسبت لنگر موجود به لنگر طراحی بزرگتر باشد، این موضوع یعنی باید رابطه زیر در تیر برقرار باشد:

حالت دوم: اگر بخواهیم در یک تیر معیار کنترل تغییر شکل و کنترل لنگر خمشی به طور همزمان بحرانی شوند باید رابطه زیر برقرار شود:

حالت سوم: اگر بخواهیم معیار خمش بحرانی تر از برش باشد و همچنین معیار برش بحرانی تر از معیار تغییر شکل باشد باید رابطه زیر کنترل گردد:

نکته: دقت شود که برخلاف لنگر خمشی و نیروی برشی که از بارگذاری ضریبدار محاسبه می شوند، تغییر شکل ها باید از بارهای سرویس (بدون ضریب) محاسبه شوند.
حال برای درک بهتر کاربرد این بحث چند مثال بررسی می کنیم.
مثال: برای تیر دو سر گیردار به طول دهانه L تحت اثر بار یکنواخت (qu) با مقطع نورد شده فشرده و دارای تکیه گاه جانبی کافی، چنانچه مدول پلاستیک مقطع برابر z و سطح مقطع جان تیر ( حاصلضرب ارتفاع کلی مقطع در ضخامت جان) برابر Aw و h/tw<50 باشد، در طراحی به روش حدی به ازای کدام یک از روابط زیر تاثیر معیارهای طراحی خمش و برش دقیقا با هم برابر است؟ (برای خمش، تنها تسلیم کنترل کننده است)

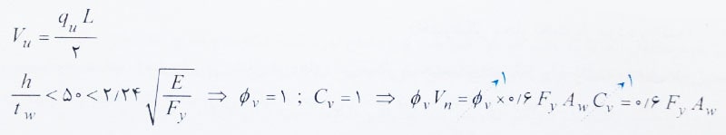
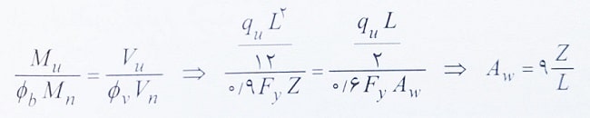
حل: مقطع تیر فشرده و دارای تکیه گاه های جانبی کافی است، لذا مقاومت خمشی اسمی آن برابر FyZ می باشد، همچنین حداکثر لنگر وارد بر تیر دو سر گیردار به طول L و تحت بار گسترده qu برابر quL2/12 است:

در مورد برش تیر نیز داریم:

نکته: در صورتی که ازفولاد ST37 یا ST52 استفاده شود، تنش تسلیم فولاد 2400kg/cm2 است یا 3600. در این صورت مقدار سمت راست نامساوی از 50 بزرگتر است.
حال با توجه به نکات مورد بحث در این قسمت، برای اینکه تاثیر معیارهای طراحی در برابر خمش و برش این تیر یکسان شود داریم:

بنابراین گزینه 4 صحیح است.
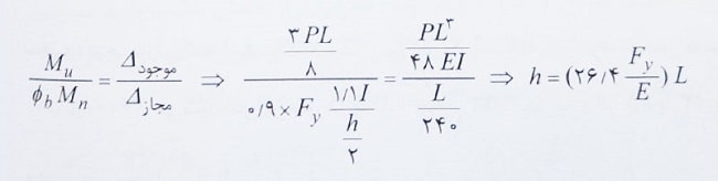
مثال: در یک تیر I شکل دو سر ساده به طول دهانه L تحت اثر بار متمرکز P با مقطع فشرده و دارای تکیه گاه جانبی کافی، چنانچه، ارتفاع کلی مقطع تیر برابر h و Z=1.1S باشد، در طراحی به روش ضرایب بار و مقاومت به ازای کدامیک از روابط زیر تاثیر معیارهای طراحی خمش و کنترل خیز دقیقا با هم برابر است؟ (فرض کنید برش تعیین کننده نبوده و P مجموع بارهای مرده و زنده بدون ضریب است و بارهای نهایی 1.5 برابر این مقدار است. در معیار خمش تنها تسلیم مد نظر می باشد).


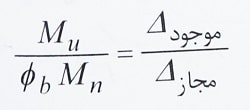
حل: تاثیر معیارهای طراحی برای خمش و کنترل خیز هنگامی یکسان می باشد که رابطه زیر برقرار باشد.

برای تعیین پارامترهای این رابطه داریم:

توجه: محاسبات خمش تیر بر مبنای نیروهای ضریب دار و محاسبات خیز تیر بر مبنای نیروهای بدون ضریب است در نهایت رابطه گفته شده برای مقایسه خمش و خیز تیر را نوشته و داریم:

بنابراین گزینه 1 صحیح است.




دیدگاه خود را ثبت کنید
تمایل دارید در گفتگوها شرکت کنید؟در گفتگو ها شرکت کنید.