انواع روش های طراحی سازه های فولادی در آیین نامه

انواع روش های طراحی سازه های فولادی در آیین نامه

بحث انواع روش های طراحی، همواره یکی از موضوعات پر چالش برای مهندسان عمران بوده و بسیاری از آنها درک مفهومی از رویکردهای مختلف در آیین نامه های طراحی ندارند.

لذا در این پست می خواهیم در شروع تفسیر آیین نامه مبحث دهم مقررات ملی ساختمان به ترتیب به سراغ این موضوعات برویم.

مقدمه

روش طراحی تنش مجاز، اصلی ترین روشی بود که تا چند دهه گذشته در همه آیین نامه ها برای طراحی سازه های فولادی استفاده می شد.

این روش تا سال 1989 میلادی در آیین نامه طراحی فولادی امریکا ( AISC 360 ) به عنوان روش اصلی شناخته میشد که بعد از آن رفته رفته جای خود را به روش ضرایب بار و مقاومت داد. در حال حاضر روش مقاومت مجاز نیز در این آیین نامه استفاده می شود.

براساس مبحث دهم مقررات ملی ساختمان، روش تنش مجاز ( ASD ) تا سال 1388 تنها روش معتبر در طراحی سازه های فولادی ایران شناخته میشد.

در این سال، روش ضرایب بار و مقاومت ( LRFD ) به عنوان روش پیشنهادی در بخش دوم آیین نامه گنجانده شد.

اما از سال 1392 بود که با ورود ویرایش چهارم از مبحث دهم مقررات ملی ساختمان، تنها روش LRFD در طراحی سازه های فولادی مجاز دانسته شد.

توجه: روش ضرایب بار و مقاومت ( LRFD ) که در مبحث 10 ساختمان ( ویرایش 1392 ) بیان شده است، مشابهت زیادی با همین روش در آیین نامه AISC360 امریکا ( ویرایش 2010 ) دارد.

روش طراحی حالت های حدی

آیین نامه های امروزی غالبا مبنای طراحی سازه ها را رویکردی به نام روش حالت های حدی ( LSD ) قرار می دهند.

حالت های حدی به شرایطی اطلاق می شوند که اگر تمام یا بخشی از سازه به هر یک از آن حالت ها برسند، قادر به انجام وظایف خود نبوده و از خیز انتفاع خارج می شوند.

در نمودار درختی زیر، دسته بندی کلی حالت های حدی نشان داده شده که درباره آن می توان به موارد زیر اشاره نمود:

روش های حالت حدی

الف) حالت های حدی مقاومت:

حالت های حدی مقاومت حالت هایی هستند که مجموعه سازه، شامل اعضاء و اتصالات آن ضمن حفظ انسجام خود، تحت اثر ترکیبات بارگذاری تا رسیدن به آن حالت ها از مقاومت کافی و شکل پذیری مورد نیاز برخوردار نبوده و پس از رسیدن به هر یک از آنها پایداری خود را از دست می دهند.

نکته: معیارهای طراحی برای تامین الزامات حالت های حدی مقاومت باید مطابق جدول زیر در نظر گرفته شوند:

جدول معیار طراحی سازه های فولادی

ب) حالت های حدی بهره برداری:

حالت های بهره برداری حالت هایی هستند که مجموعه سازه شامل اعضاء و اتصالات آن تا رسیدن به آن حالت ها ( نظیر قابلیت نگه داری، حفظ ظاهر، دوام، آسایش و … ) وظایف خود را به طور کامل انجام می دهند و پس از رسیدن به هر یک از آنها قادر به انجام وظایف خود نخواهند بود.

نکته: معیارهای طراحی برای تامین الزامات حالت های حدی بهره برداری باید مطابق جدول زیر در نظر گرفته شوند.

معیارهای طراحی برای حالت های حدی بهره برداری در سازه های فولادی

دید مهندسی

در اغلب آیین نامه های طراحی، عمدتا تمرکز بر حالات حدی مقاومت معطوف می باشد و بیشتر الزامات آنها برای حفظ ایمنی سازه در این حالت ها ذکر شده است.

به عبارت دیگر هر چند طراحی در حالت های حدی بهره برداری نیز حائز اهمیت است ولی اغلب آیین نامه ها به توصیه هایی کلی در این رابطه بسنده می کنند.

1- کنترل سازه در حالت حدی مقاومت، غالبا توسط یکی از روش های تنش مجاز، مقاومت مجاز یا ضرایب بار و مقاومت انجام می گیرد. در ادامه این قسمت از پست، کلیات این سه روش را با یکدیگر مقایسع خواهیم کرد.

2- کنترل سازه در حالت حدی بهره برداری را در پست های بعدی بررسی خواهیم کرد.

اساس طراحی در حالت های حدی مقاومت

هدف از طراحی یک سازه، دستیابی به یک ساختار بهینه است که بتواند با تامین ایمنی کافی و رعایت مباحث اقتصادی پروژه، منظور خاضی را برآورده کند.

به طور مثال هدف از طراحی سازه یک ساختمان این است که هندسه ای مناسب برای سازه بدست آید و مقاومت اعضای تشکیل دهنده آن به گونه ای باشد که در مقابل بارهای وارده، پایداری خود را حفظ کنند.

به این منظور، منطقی به نظر می رسد که در فرایند طراحی سازه باید شرایط بارگذاری های وارد بر سازه را تا حدودی دست بالا در نظر بگیریم و از سوی دیگر مقاومت اعضای سازه را تا حدودی دست پایین تر از واقعیت منظور کنیم.

در این صورت می توان گفت که ضریب اطمینان مناسبی را در طراحی لحاظ کرده و می توانیم به انجام وظایف سازه امیدوار باشیم.

به طور کلی برای اینکه یک سازه ایمن باشد، باید رابطه کلی زیر در آن برقرار شود:

مقاومت سازه

همانطور که می دانیم، مقاومت سازه و بارهای وارد بر آن، طبیعت آماری داشته و به یقین  نمی توان گفت که به طور مثال، مقاومت مصالحی که از کارخانه بیرون می آید چقدر است و یا بار وارد بر یک ساختمان دقیقا چقدر است.

به همین دلیل منطقی به نظر می رسد که ضرایب اطمینانی بر دو طرف معادله فوق اعمال گردد تا اطمینان از ایمنی سازه بدست آید. پس با اعمال ضرایب، می توان رابطه زیر را بدست آورد:

ضریب اطمینان سازه فولادی

در ادامه قصد داریم رویکرد هر یک از روش های تنش مجاز، مقاومت مجاز و ضرایب بار و مقاومت را بررسی کنیم. دقت داشته باشید که در هر یک از این روش ها، در حقیقت رابطه بالا به یک شکل خاص بیان می شود.

روش طراحی تنش مجاز

روش طراحی تنش مجاز ( ASD ) که به نام روش تنش بهره برداری ( WSD ) نیز شناخته می شود را می توان قدیمی ترین و پر سابقه ترین روش طراحی سازه قلمداد نمود.

در روش تنش مجاز، رابطه مورد بررسی در بالا با در نظر گرفتن نکات زیر بیان می شود:

*تحلیل سازه براساس بارهای بدون ضریب انجام می گیرد و در حقیقت ضریب افزایش بار وجود ندارد. دقت شود که بارهای بدون ضریب را اصطلاحا بارهای سرویس می نامیم.

*برای اعمال ضریب کاهش مقاومت، از عبارت یک تقسیم بر F.S استفاده می شود که ضریب اطمینان طراحی نامیده می شود. در حقیقت در این روش، مقادیر مقاومت ها به یک ضریب اطمینان تقسیم می شوند.

*در روش تنش مجاز، همه محاسبات در مورد تنش اعضا می باشد. در حقیقت به جای بارهای وارد بر سازه، تنش های ایجاد شده در سازه بررسی می شوند. همچنین به جای مقاومت سازه، تنش مقاوم مصالح استفاده می شود.

حال مطابق توضیحات فوق می توان گفت که اساس طراحی در روش تنش مجاز آن است که حداکثر تنش های ایجاد شده در هر مقطع در اثر بارهای بدون ضریب، کوچکتر یا مساوی تنش های مجاز باشد و به عبارت دیگر داریم:

تنش ناشی از بارگذاری بدون ضریب

روش طراحی مقاومت مجاز

در سال های اخیر در برخی از آیین نامه های طراحی، روشی معرفی شده که به نام روش طراحی مقاومت مجاز شناخته می شود. در این روش که فلسفه وجود آن مشابه روش تنش مجاز است تنها به جای تنش ها، مقاومت ها معیار طراحی قرار گرفته و از رابطه کلی زیر استفاده می شود:

روش طراحی مقاومت مجاز

در رابطه بالا، Ra مقاومت مورد نیاز عضو براساس ترکیب بارهای روش طراحی مقاومت است. از سوی دیگر Rn مقاومت اسمی عضو است و Ω ضریب اطمینان طراحی می باشد.

روش طراحی ضرایب بار و مقاومت ( LRFD )

روش طراحی ضرایب بار و مقاومت ( LRFD ) که پایه گذاری آن به نیمه قرن بیستم میلادی بر می گردد، در سال های اخیر بیشتر از روش تنش مجاز و مقاومت مجاز مورد توجه بوده است.

اساس طراحی مقاومتی سازه به روش LRFD این است که مقدار تلاش های ایجاد شده در عضو، کوچکتر یا مساوی طراحی عضو باشد:

روش LRFD سازه فولادی

درباره پارامترهای رابطه بالا موارد زیر قابل ذکر می باشد:

1- برای تعیین تلاش های داخلی اعضاء اثر بارهای وارد بر سازه با تاثیر ضرایب بار در نظر گرفته شده و از رابطه زیر استفاده می کنیم:

تلاش های داخلی اعضای سازه

به عبارت دیگر در رابط بالا، Qi مقدار تلاس داخلی عضو تحت اثر هر یک از انواع بارهایی است که به سازه اعمال می شود و Yi ضرایب بار هستند که برای هر یک از انواع بارها می توانند متفاوت باشد.

2- برای بدست آوردن مقاومت طراحی اعضاء، مقاومت اسمی عضو که براساس معیارهای رفتار غیر ارتجاعی و پایداری بدست می آید، باید در ضریب کاهش مقاومت ضرب شود. به عبارت دیگر، پارامتر Rn مقاومت اسمی عضو و Φ ضریب کاهش مقاومت می باشد.

مقایسه ای بین روش تنش مجاز و LRFD

گام های روش تنش مجاز

برای استفاده از روش تنش مجاز ( ASD ) در طراحی، سه گام اساسی زیر وجود دارد:

گام اول ( محاسبه تنش مجاز ) :

فرمول روش تنش مجاز سازه فولادی

توجه: مقدار ضریب اطمینان بر حسب نوع عضوی که بررسی می کنیم ( مثلا کششی یا فشاری یا خمشی ) متفاوت می باشد.

گام دوم ( محاسبه تنش های داخل عضو ): در این گام با استفاده از بارهای حد سرویس ( بارهای بدون ضریب )، تنش های ایجاد شده در اعضاء ناشی از بارگذاری f  را محاسبه می کنیم.

گام سوم ( مقایسه تنش های ناشی از بارگذاری با تنش مجاز ): در گام آخر و برای طراحی عضو، لازم است تا تنش های بدست آمده در گام های قبل به صورت زیر با هم مقایسه شوند:

مقایسه تنش مجاز با تنش بارگذاری

گام های روش LRFD

برای استفاده از روش ضرایب بار و مقاومت ( LRFD ) در طراحی، چهار گام اساسی زیر باید انجام گیرد:

گام اول ( محاسبه مقاومت اسمی مقطع ): در این مرحله با توجه به نوع عضوی که بررسی می کنیم ( مثلا کششی یا فشاری یا خمشی )، مقاومت اسمی را با استفاده از روابط آیین نامه بدست می آوریم.

توجه: مقاومت اسمی مقطع به طور کلی با Rn نشان داده می شود.

گام دوم ( محاسبه مقاومت طرح مقطع ): در صورتی که مقاومت اسمی مقطع Rn را در ضریب کاهش مقاومت ضرب کنیم، مقاومت طرح مقطع بدست می آید:

مقاومت اسمی و طرح مقطع سازه فلزی

توجهضریب Φ که ضریب کاهش مقاومت نام دارد، در حالت های مختلف توسط آیین نامه ها مشخص می شود و برای نیروهای ایجاد شده در عضو ( مثلا خمش، برش و … ) و معیارهای مختلف طراحی متفاوت است.

به طور کلی در طراحی اعضاء فشاری، ضریب Φ معمولا برابر 0.9 است و در طراحی اعضاء کششی برابر 0.9 یا 0.75 ( با توجه به معیار طراحی عضو کششی ) در نظر گرفته می شود.

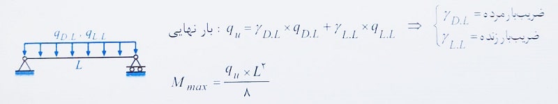
گام سوم ( محاسبه تلاش های ایجاد شده در مقطع ): در این گام با استفاده از بارهای نهایی ( بارهای با ضریب )، تلاش های ایجاد شده در عضو ناشی از بار گذاری را محاسبه کرده و با Rn نشان می دهیم.

توجهدر روش حدی، از بارهای ضریب دار ( بار نهایی ) استفاده می شود، به طور مثال در تیر زیر اگر بار مرده وارد بر تیر  و بار زنده وارد بر تیر اعمال شوند، لنگر نهایی ایجاد شده در این تیر برابر است با:

لنگر ماکزیمم تیر

گام چهارم ( مقایسه تلاش های ناشی از بارگذاری با مقاومت طرح ): در گام آخر و برای طراحی عضو، لازم است تا نیروهای بدست آمده در گام های قبل را با هم مقایسه کنیم:

Ru≤Rd=ΦRn

مقاومت ضریب اسمی X ضریب کاهش = مقاومت طرح ≥تلاش ناشی از بارگذاری نهایی

جمع بندی

تفاوت های بین روش تنش مجاز و روش ضرایب بار و مقاومت را می توان در چند مورد زیر بیان کرد:

1- مهمترین و اصلی ترین تفاوت بین این دو روش این است که:

  • در روش تنش مجاز، تنش ها با یکدیگر مقایسه می شوند.
  • در روش ضرایب بار و مقاومت، نیروها یا لنگرها یا مقدار مقاومت طرح مقایسه می شوند.

2- در روش تنش مجاز از بارهای بدون ضریب ( ضرایب واحد ) استفاده شده، ولی در روش ضرایب بار و مقاومت، بارها در ضرایب بزرگتر از یک ( Y ) ضرب می شوند.

توجه: ترکیب بارهای ثقلی در این روش عبارتند از:

روش ترکیب بارهای ضرایب بار و مقاومت

3- در روش تنش مجاز، تنش تسلیم به یک عدد بزرگتر از یک تقسیم می شود ولی در روش ضرایب بار و مقاومت، مقدار مقاومت اسمی در یک عدد کوچکتر ضرب می شود.

در ادامه با بررسی نحوه طراحی یک عضو کششی ساده به روش تنش مجاز و LRFD، این مفاهیم را بهتر درک خواهیم کرد.

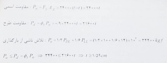
مثال: در تسمه کششی نشان داده شده، ضخامت مورد نیاز بر اساس تنش مجاز ( ASD ) و روش ضرایب بار و مقاومت ( LRFD ) چقدر است؟ ( در این روش تنش مجاز از ترکیب بار DL+LL و در روش ضرایب بار و مقاومت از ترکیب بار 1.2DL+1.6LL استفاده کنید. )

تنش تسمه فولادی

حل: به بررسی طراحی تسمه در هر دو روش می پردازیم:

روش ASD: برای تعیین ضخامت مورد نیاز تسمه از روش تنش مجاز، گام های زیر را انجام می دهیم:

روش تنش مجاز سازه فولادی

روش LRFD: همانطور که در قسمت های بعدی خواهیم دید، برای تعیین ضخامت مورد نیاز تسمه از روش ضرایب بار و مقاومت داریم:

محاسبه ضخامت تسمه فولادی

بنابراین گزینه 3 صحیح است.

توجه: در این مساله مقطع بدست آمده براساس روش ASD ضخیم تر از قطع بدست آمده براساس روش LRFD شده است. شایان ذکر است این نتیجه همیشگی نبوده و به نسبت بارهای مرده و زنده بستگی دارد؟

ترکیب بارهای طراحی به روش LRFD

در طراحی ساختمان های فولادی به روش ضرایب بار و مقاومت ( LRFD )، از ترکیب بارهای این بند استفاده می شود. سازه ها و اعضای آنها باید به گونه ای طراحی شوند که مقاومت طراحی آنها بزرگتر و یا برابر با اثرات ناشی از ترکیبات بارهای ضریبدار باشند:

ترکیب بارهای طراحی به روش LRFD

علائم به کار رفته در ترکیب بارهای بالا عبارتند از:

D: بار مرده              L: بار زنده طبقات به جزء بام                   E: بار زلزله                    Lr: بار زنده بام

R: بار باران               S: بار برف                                          W: بار باد                       T: بار خودکرنشی از قبیل تغییرات دما، نشست پایه ها و …

تذکر 1: ضرایب بار مربوط به L در ترکیب بارهای 3، 4 و 5 را برای کاربری هایی که بار گسترده یکنواخت آنها کمتر از 5 کیلونیوتن بر متر مربع ( 500 کیلو گرم بر متر مربع ) است، به استثناء کف پارکینگ ها یا محل های اجتماع عمومی را می توان برابر 0.5 منظور نمود.

تذکر 2: در شرایطی که اثر بار زنده در هر یک از ترکیب بارها کاهش دهنده باشد، این اثر باید معادل صفر منظور گردد.

نکته ای در رابطه با بار زلزله ( E )

در ترکیب بارهای روش LRFD که در فوق ذکر شده اند، بیانگر نیروهای ناشی از زلزله می باشد. این نیروها باید براساس تراز نهایی زلزله محاسبه گردند که ویرایش چهارم استاندارد 2800 ( ویرایش 1393 ) بر این اساس می باشد.

تذکر: در صورتی که از ویرایش سوم استاندارد 2800 ( ویرایش 1383 ) استفاده گردد، باید در ترکیب بارها به جای پارامتر E از 1.4E استفاده شود. به عبارت دیگر در صورت استفاده از نیروهای حاصل از ویرایش سوم استاندارد 2800 در این ترکیب بارها، باید نیروهای زلزله 40 درصد افزایش داده شوند.

پیج اینستاگرام سیویل 2

انواع روش های طراحی سازه های فولادی در آیین نامه – انواع روش های طراحی سازه های فولادی در آیین نامه – انواع روش های طراحی سازه های فولادی در آیین نامه – انواع روش های طراحی سازه های فولادی در آیین نامه

0 پاسخ

دیدگاه خود را ثبت کنید

تمایل دارید در گفتگوها شرکت کنید؟
در گفتگو ها شرکت کنید.

دیدگاهتان را بنویسید

نشانی ایمیل شما منتشر نخواهد شد. بخش‌های موردنیاز علامت‌گذاری شده‌اند *