الزامات لرزه ای قاب های مهاربندی شده واگرا
الزامات لرزه ای قاب های مهاربندی شده واگرا
قاب های مهاربندی شده واگرا قاب هایی هستند که در آنها، مهاربندی در هر با فاصله کمی از یکدیگر روی محور طولی تیر یا با فاصله کمی از گره اتصال تیر به ستون، به تیر متصل می شوند.
به ناحیه ای که بین نقاط تلاقی محورهای دو عضو قطری مهاربندی روی تیر یا بین نقطه تلاقی محور عضو مهاربندی تا گره اتصال تیر به ستون قرار دارد، تیر پیوند گفته می شود.
در این نوع قاب ها رفتار جانبی لرزه ای سازه ترکیبی از عملکرد خمشی و برشی تیرها و ستون ها و عملکرد کششی و فشاری مهاربندها می باشد. در این جلسه می خواهیم ضوابط این سازه ها را بررسی کنیم که عمدتا به طراحی تیر پیوند مربوط می شود.
محدودیت های اعضاء در قاب های مهاربندی واگرا
به طور کلی در قاب های مهاربندی شده واگرا، لازم است که محدودیت های خاصی در مورد مقاطع تیرها، ستون ها و مهاربند ها برقرار باشد که در ادامه به آنها اشاره می کنیم:
1- مقطع تیر پیوند باید از نوع I شکل نورد شده یا ساخته شده از ورق یا از نوع قوطی شکل ساخته شده از ورق باشد.
2- جان (یا جان ها) باید از یک ورق تک بدون هرگونه ورق مضاعف در نظر گرفته شود و در آن هیچگونه بازشویی نباید ایجاد شود.
3- در تیرهای پیوند ساخته شده از ورق، اتصال جان ( یا جان ها) به بال تیر باید از نوع جوش گوشه دو طرفه یا جوش شیاری با نفوذ کامل باشد.
4- تیرهای قوطی شکل ساخته شده از ورق باید دارای شرایط Iy>0.67Ix باشند که در آن، Iy ممان اینرسی مقطع تیر پیوند حول محور مرکزی در امتداد جان های مقطع و Ix ممان اینرسی مقطع تیر پیوند حول محور مرکزی عمود بر امتداد جان های مقطع می باشد.
5- تیرهای پیوند باید دارای مقطع از نوع فشرده لرزه ای با محدودیت حداکثر نسبت پهنا به ضخامت برابر λhd مطابق مقادیر جدول های جلسات قبل باشد.
6- تیر (یا تیرهای) خارج از ناحیه پیوند، اگر دارای مقطع متفاوت با مقطع تیر پیوند باشند، باید دارای مقطع از نوع فشرده لرزه ای با محدودیت حداکثر نسبت پهنا به ضخامت برابر λmd مطابق مقادیر جدول قبل باشد.
7- مقاطع ستون های نظیر دهانه های مهاربندی باید از نوع فشرده لرزه ای با محدودیت حداکثر نسبت پهنا به ضخامت برابر λhd مطابق مقادیر جدول و مقطع بقیه ستون ها باید از نوع فشرده مطابق جدول های جلسه قبلی باشد.
8- مقاطع مهاربندی ها باید از نوع فشرده لرزه ای با محدودیت حداکثر نسبت پهنا به ضخامت برابر λmd مطابق جدول باشد.
9- در دو انتهای تیر پیوند در بال های فوقانی و تحتانی، باید مهارهای جانبی تعبیه شود. این مهارهای جانبی باید برای نیروی Pbu مطابق رابطه قبلی طراحی شوند.
مقاومت برشی تیر پیوند
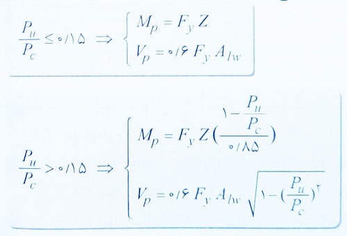
در طراحی تیر پیوند مقاومت برشی تیر پیوند براساس روش حالت حدی، با Vn نمایش داده می شود که به آن مقاومت برشی اسمی تیر می گویند.

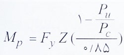
Mp لنگر پلاستیک مقطع تیر پیوند و Vp برش پلاستیک مقطع تیر پیوند بوده که به مقدار نیروی محوری ضریبدار تیر پیوند (Pu) وابسته است و طبق روابط زیر بدست می آید.

پارامترهای مورد استفاده در روابط فوق عبارتند از:
Pu: نیروی محوری ضریبدار موجود در تیر
Pc: نیروی محوری تسلیم تیر پیوند (Pc=AgFy)
Z: اساس مقطع پلاستیک تیر پیوند
Alw: مساحت جان مقطع تیر پیوند برابر (d-2tf)tw برای مقاطع I شکل و برابر 2(d-2tf)tw برای مقاطع قوطی شکل
e: طول تیر پیوند که برابر است با فاصله بین اتصال دو انتهای مهاربند در روی بال تیر یا فاصله بین اتصال انتهای مهاربندی در روی بال تیر یا ستون
در نهایت به منظور کنترل برش در تیر پیوند به روش حالت حدی، باید رابطه زیر کنترل گردد:
![]()
Vu: برش ضریبدار وارد به تیر پیوند Φv: ضریب تقلیل مقاومت برشی برابر 0.9
Vx: مقاومت برشی اسمی تیر پیوند
مثال: برای یک تیر پیوند در مهاربند واگرا Mp=240kN.m و Vp=160kN بوده و نسبت مقاومت محوری مورد نیاز به مقاومت تسلیم محوری برابر 0.1 می باشد. اگر طول تیر پیوند 2.4 متر باشد، مقاومت برشی طراحی (ΦvVn) تیر پیوند بر حسب کیلونیوتن، حدودا چقدر است؟
1- 72 2- 180 3- 288 4- 144
حل:
با توجه به توضیحات درسنامه برای حل این مساله به سادگی داریم:

نکته: از آنجا که مقدار Mp و Vp در سوال داده شده است، نسبت مقاومت محوری مورد نیاز به مقاومت تسلیم محوری اهمیتی ندارد (چرا؟)
بنابراین گزینه 4 صحیح است.
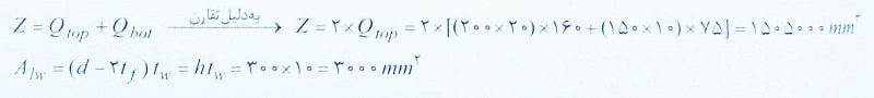
مثال: مقاومت برشی اسمی تیر پیوند (Vn) بر حسب کیلونیوتن در قاب مهاربندی شده واگرای ویژه که مقطع تیر آن مطابق شکل زیر دارای طول تیر پیوند 1.8 متر و با فرض اینکه Pu/Pc=0.12 باشد، کدام است؟ (Pu نیروی محوری نهایی در تیر و Pc نیروی محوری تسلیم تیر پیوند می باشد. ابعاد روی شکل به میلی متر هستند و Fy=240MPa)
1- 401 2- 459 3- 376 4- 498

حل:
براساس مطالب گفته شده بالا گفتیم می دانیم که چنانچه برای مقاومت برشی تیر پیوند چنانچه Pu/Pc≤0.15 باشد داریم:

حال ابتدا مقادیر Z و Atw را تعیین می کنیم:

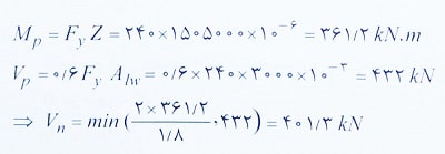
حال برای تعیین مقاومت برشی اسمی تیر پیوند داریم:

بنابراین گزینه 1 صحیح است.
طول تیر پیوند
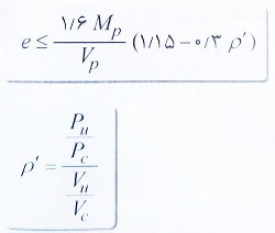
تیرهای پیوندی که دارای شرایط Pu/Pc>0.15 هستند، باید محدودیت زیر را برآورده نماید:
الف) اگر p’≤0.5 باشد:

ب) اگر p’>0.5 باشد:

پارامترهای مورد استفاده در روابط بالا عبارتند از:
Vu: مقاومت برشی مورد نیاز تیر پیوند براساس ترکیبات بار متعارف
Vc: مقاومت تسلیم برشی تیر پیوند برابر 0.6FyA1w
Pu: مقاومت محوری مورد نیاز تیر پیوند براساس ترکیبات بار متعارف
Pc: مقاومت تعمیم محوری تیر پیوند برابر FyAg
Vp: برش پلاستیک مقطع تیر پیوند از رابطه زیر:

Mp: لنگر پلاستیک مقطع تیر پیوند از رابطه زیر:

تبصره: برای تیرهای پیوندی که دارای شرایط Pu/Pc≤0.15 هستند، هیچ محدودیتی برای طول تیر پیوند وجود ندارد.
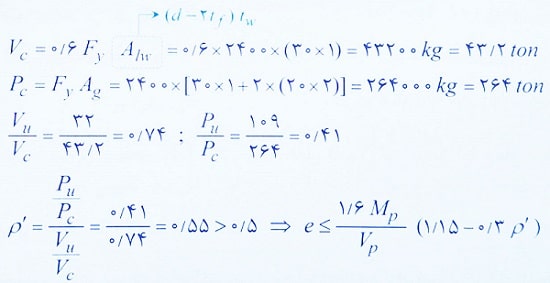
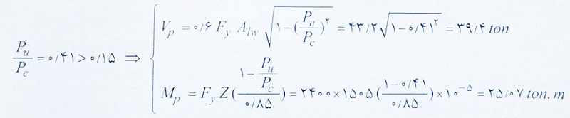
مثال: در یک قاب مهاربندی شده واگرا طول تیر پیوند برابر 95 سانتی متر بوده و مقطع این تیر به صورت زیر طراحی شده است. اگر مقاومت برشی مورد نیاز تیر پیوند برابر 32 تن و مقاومت محوری مورد نیاز آن برابر 109 تن باشد، در مورد این تیر پیوند می توان گفت: (Fy=2400kg/cm2 و Z=1505cm3)
1- طول تیر پیوند مناسب است.
2- مقطع تیر پیوند باید فوی تر شود.
3- در صورت افزایش طول تیر پیوند به 110 سانتی متر و ثابت بودن مقاومت های مورد نیاز، می توان از همین مقطع استفاده کرد.
4- با توجه به مقاومت برشی و محوری مورد نیاز، طول تیر پیوند باید کاهش یابد.

حل:
برای کنترل طول تیر پیوند، ابتدا باید مقدار ‘p تعیین شود. به همین منظور پارامترهای مورد نیاز در رابطه ‘p را محاسبه می کنیم.

پس از محاسبه ‘p و تعیین رابطه مورد استفاده برای کنترل طول تیر پیوند، حال باید مقادیر Mp و Vp محاسبه شوند.

حال رابطه کنترل طول تیر پیوند را بررسی می کنیم:

طول تیر پیوند 95 سانتی متر بوده که از مقدار 100 سانتی متر کمتر است و در نتیجه تنها عبارت گزینه 1 درست است. بنابراین گزینه 1 صحیح است.
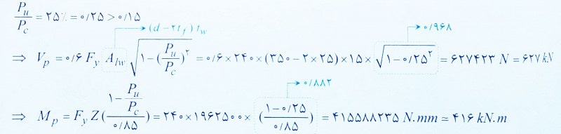
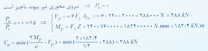
مثال: اگر در یک قاب مهاربندی شده واگرای ویژه، از تیرهای پیوندی به طول 1 متر استفاده شده است. اگر نیروی محوری ایجاد شده در این تیر به دلیل ترکیب بارهای شامل بارهای جانبی وارد بر سازه برابر 25 درصد نیروی محوری تسلیم تیر باشد،حداکثر نیروی برشی قابل تحمل در این تیر پیوند بر حسب کیلونیوتن چقدر است؟ اساس مقطع پلاستیک این مقطع برابر 1962500mm3 می باشد و فولاد مصرفی دارای Fy=240MPa است.
1- 832 2- 749 3- 627 4- 564
حل:
برای تعیین حداکثر برش قابل تحمل تیر پیوند، باید ابتدا مقاومت برشی اسمی آن را محاسبه کرده و سپس در ضریب کاهش مقاومت 0.9 ضرب نمود. از طرفی برای محاسبه مقاومت برشی اسمی تیر پیوند، باید ابتدا پارامترهای Vp و Mp براساس روابط گفته شده اول پست، تعیین شود:

توجه: ضرایب 0.968 و 0.882 در حقیقت ضرایب کاهشی هستند که به علت نیروی محوری ایجاد شده در تیر پیوند باید در نظر گرفته شوند.
حال می توان مقدار Vn را براساس روابط گفته شده تعیین کرد:

در نهایت برای محاسبه حداکثر برش قابل تحمل تیر پیوند (یا همان مقاومت برشی طراحی) داریم:
![]()
بنابراین گزینه 4 صحیح است.
مثال: در مثال قبل، اگر پس از تحلیل سازه و براساس ترکیبات بار متعارف، حداکثر نیروی برشی ایجاد شده در تیر پیوند برابر 250kN تعیین شده باشد، درباره طول تیر پیوند اظهار نظر کنید.
1- طول تیر پیوند مناسب است.
2- طول تیر پیوند نامناسب است و باید حداکثر 0.95 متر باشد.
3- طول تیر پیوند نامناسب است و باید حداقل 1.05 متر باشد.
4- در مورد طول تیر پیوند نمی توان اظهار نظر قطعی نمود.
حل:
تیرهای پیوند که در آنها شرط Pu/Pc>0.15 برقرار باشد، باید محدودیت خاصی را برآورده سازند. از آنجا که در این تست Pu/Pc=0.25>0.15 است، باید این موضوع بررسی شود. برای این منظور باید پارامتری به نام ‘p را تعیین کنیم:

حال با توجه به مقدار ‘p داریم:

بنابراین طول تیر پیوند که 1 متر است مناسب بوده و گزینه 1 صحیح است.
دوران تیر پیوند
حداکثر دوران غیر الاستیک تیر پیوند نسبت به ناحیه خارج از آن، در حالتی که تغییر مکان جانبی نسبی طبقه (δi) برابر تغییر مکان جانبی نسبی طرح (Δi) فرض شود، نباید از مقادیر زیر تجاوز کند.
الف) 0.08 رادیان برای حالتی که طول تیر پیوند مساوی یا کمتر از 1.6Mp/Vp باشد.
ب) 0.02 رادیان برای حالتی که طول تیر پیوند مساوی یا بزرگتر از 2.6Mp/Vp باشد.
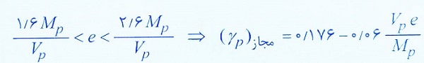
تبصره 1: برای مقادیر طول تیر پیوند بین دو مقدار الف و ب، می توان از درون یابی خطی بهره برد.
تبصره 2: دوران غیر الاستیک تیر پیوند نسبت به ناحیه خارج از آن (Υp)، در حالتی که تغییر مکان جانبی نسبی طبقه برابر تغییر مکان جانبی نسبی طرح فرض می شود را می توان از روابط مندرج در شکل زیر تعیین نمود:

مثال: در مهاربند واگرا، اگر طول تیر پیوند برابر 2Mp/Vp باشد، حداکثر دوران غیر پلاستیک تیر پیوند نسبت به ناحیه خارج از آن، برای زلزله طرح به چه مقداری محدود می شود؟ (تغییر مکان جانبی نسبی طبقه برابر با تغییر مکان جانبی نسبی طرح فرض شود)
1) 0.048 رادیان 2) 0.064 رادیان 3) 0.044 رادیان 4) 0.056 رادیان
حل:
با توجه به توضیحات گفته شده، برای مقادیر طول پیوند بین دو مقدار الف و ب زیر، می توان از درون یابی خطی بهره برد. بنابراین در این تست داریم:

بنابراین گزینه 4 صحیح است.
با توجه به حل این تست می توان رابطه زیر را برای مقدار دوران مجاز تیر پیوند در حالت درون یابی ارائه کرد:

طراحی اعضای خارج از ناحیه پیوند
مقاومت طراحی مهاربندی ها، ستون ها، تیرهای خارج از ناحیه پیوند و اتصالات آنها نباید از نیروهای ناشی از تحلیل که شامل بارهای ثقلی ضریبدار (ضرایبی که در حضور نیروی زلزله مورد استفاده قرار می گیرند) و اثرات لرزه ای که موجب ایجاد برشی برابر 1.25RyVn در تیرهای پیوند با مقطع I شکل و 1.4RyVn در تیرهای پیوند با مقطع قوطی شکل و نیروهای نظیر آنها در دو انتهای تیر پیوند می شود، با رعایت استثناهای زیر، کوچکتر در نظر گرفته شود؛ که در آن Vn مقاومت برشی اسمی تیر پیوند مطابق ضوابط گفته شده و Ry نسبت تنش تسلیم مورد انتظار به حداقل تنش تسلیم فولاد تیر پیوند مطابق مقادیر جدول می باشد.
استثناها
1- در تحلیل مذکور می توان از لنگرهای خمشی ناشی از تغییر مکان جانبی نسبی طبقه صرف نظر نمود.
2- در طراحی تیرهای خارج از ناحیه پیوند و نیز ستون هایی که دارای سه طبقه مهاربندی شده یا بیشتر هستند، می توان اثرات لرزه ای ناشی از نیروی برشی مذکور را در ضریب 0.88 ضرب نمود.
3- در نظر گرفتن مقاومت مورد نیاز ستون ها بیشتر از نیروهای حاصل از یک تحلیل غیر الاستیک الزامی نیست.
اتصالات تیرهای پیوند به ستون
اتصالات تیرهای پیوند به ستون باید دارای شرایط زیر باشند.
الف) اتصالات تیرهای پیوند به ستون باید به صورت صلب (گیردار کامل) طراحی شوند.
ب) اتصالات تیرهای پیوند به ستون باید توانایی دوران غیر الاستیک تیر پیوند را بدون کاهش مقاومت دارا باشند.
پ) مقاومت برشی مورد نیاز اتصال تیر پیوند به ستون باید حداقل برابر RyVn باشد.
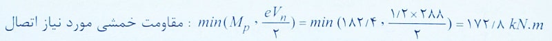
ت) مقاومت خمشی مورد نیاز اتصال تیر پیوند به ستون باید برابر کوچکترین دو مقدار Mp و eVn/2 در نظر گرفته شود که در آن، Mp لنگر پلاستیک مقطع تیر پیوند و Vn مقاومت برشی اسمی تیر پیوند مطابق الزامات گفته شده است.
ث) در مواردی که اتصال تیر پیوند به ستون به همراه اتصال مهاربندی (صفحه اتصال) باشد، این اتصال باید به صورت صلب (گیردار کامل) در نظر گرفته شود.
در این حالت اتصال باید برای نیروی برشی و لنگر خمشی نظیر بندهای پ و ت در فوق به همراه مقاومت محوری مورد نیاز تیر پیوند و مقاومت های مورد نیاز اتصال مهاربندی طراحی شود.
اتصالات تیرهای خارج از ناحیه پیوند به ستون
اتصالات تیرهای خارج از ناحیه پیوند به ستون باید دارای شرایط زیر باشند:
الف) اتصالات تیرهای خارج از ناحیه پیوند به ستون می توانند به صورت مفصلی یا گیردار طراحی شوند. در این حالت مقاومت های مورد نیاز اتصال باید براساس بزرگترین نیروهای حاصل از ترکیبات بار متعارف و نیروهای حاصل از الزامات گفته شده تعیین شوند.
ب) در مواردی که اتصال تیر خارج از ناحیه پیوند به ستون به همراه اتصال مهاربند (صفحه اتصال) باشد، این اتصال می تواند به صورت مفصلی یا گیردار طراحی شود.
در حالت مفصلی، اتصال باید دارای قابلیت دوران حداقل برابر 0.025 رادیان بدون کاهش مقاومت بوده و برای مقاومت های مورد نیاز اتصال مهاربندی به همراه خاموت های برشی و محوری مورد نیاز اتصال تیر طراحی شود.
در حالت گیردار، این اتصال باید برای لنگر خمشی برابر 1.1RyMp به همراه مقاومت های مورد نیاز اتصال مهاربندی و مقاومت های برشی و محوری مورد نیاز اتصال طراحی شود.
مثال: در شکل زیر نحوه استفاده از تیر پیوند در یک سازه مهاربندی شده واگرای ویژه دیده می شود، مقطع تیر به صورت یک تیرورق I شکل است که دارای ورق جان به مساحت 2000mm2 بوده و اساس مقطع پلاستیک آن 760000mm2 می باشد. برای طراحی اتصال صلب تیر پیوند به ستون، مقادیر نیروی برشی مورد نیاز و لنگر خمشی مورد نیاز به ترتیب از راست به چپ، تقریبا چند کیلونیوتن و چند کیلونیوتن-متر باید باشند؟ (نیروی محوری ایجاد شده در تیر پیوند ناچیز است و برای ساخت تیر پیوند از مصالحی با Fy=240MPa استفاده شده است).
1- 330 و 170 2- 290 و 170 3- 330 و 180 4- 290 و 180

حل:
برای حل این تست، ابتدا باید مقاومت برشی اسمی تیر پیوند تعیین شوند که برای این منظور داریم:

حالا برای ادامه حل این تست باید دو بخش اصلی زیر را انجام دهیم:
1- مقاومت برشی مورد نیاز اتصال تیر پیوند به ستون باید حداقل برابر RyVn باشد که طبق جدول Ry=1.15 است و داریم:
![]()
2- مقاومت خمشی مورد نیاز اتصال تیر پیوند به ستون به صورت زیر تعیین می شود:

پس مقاومت برشی مورد نیاز اتصال تیر پیوند برابر 330 و لنگر خمشی 170 نیاز است.
بنابراین گزینه 1 صحیح است.
سخت کننده های تیرهای پیوند
تیرهای پیوند باید با تعدادی سخت کننده در محل اتصال دو انتهای مهاربندی به تیر و نیز تعدادی سخت کننده های میانی در طول تیر پیوند تقویت شوند. مشخصات این سخت کننده ها باید براساس ضوابط بندهای زیر در نظر گرفته شوند.
سخت کننده های تیرهای پیوند I شکل
الف) سخت کننده های انتهایی:
سخت کننده های انتهایی در محل اتصال دو انتهای مهاربندی به تیر پیوند باید به صورت یک جفت در دو طرف جان و در تمام ارتفاع آن تعبیه گردند.
پهنای هر یک از این سخت کننده ها نباید از 1/2bf-tw و ضخامت آنها نباید از 0.75tw یا 10 میلی متر کمتر اختیار شود؛ که در آن bf پهنای بال تیر و tw ضخامت جان مقطع تیر پیوند می باشد.
ب) سخت کننده های میانی:
سخت کننده های میانی باید دارای شرایط زیر باشند:
1- در مواردی که طول تیر پیوند از 1.6Mp/Vp کوچکتر باشد، فاصله سخت کننده های میانی نباید بیشتر از 30tw-d/5 برای تیرهای پیوند با زاویه دوران 0.08 رادیان و 52tw-d/2 برای تیرهای پیوند با زاویه دوران 0.02 رادیان در نظر گرفته شود.
برای تیرهای پیوند با زاویه دوران بین دو مقدار 0.02 و 0.08 رادیان، می توان از درون یابی خطی بین دو مقدار مذکور استفاده نمود.
2- در مواردی که طول تیر پیوند در محدوده
باشد، تعبیه یک سخت کننده به فاصله 1.5bf در هر یک از دو انتهای تیر پیوند الزامی است.
3- در مواردی که طول تیر پیوند در محدوده
باشد، سخت کننده های میانی باید الزامات هر دو شرط 1 و 2 در فوق را تامین کنند.
4- در مواردی که طول تیر پیوند بزرگتر از 5Mp/Vp باشد، تعبیه سخت کننده های میانی در طول تیر پیوند الزامی نیست.
5- سخت کننده های مورد نیاز در شرایط 1 تا 3 در فوق، باید در تمام ارتفاع تیر پیوند تعبیه شوند. این سخت کننده ها در تیرهای با ارتفاع 600 میلی متر و بیشتر باید به صورت جفت و در دو سمت جان تعبیه شوند.
در تیرهای با ارتفاع کمتر از 600 میلی متر می توان این سخت کننده ها را به صورت تکی و در یک سمت جان تیر پیوند تعبیه کرد.
6- پهنای هر یک از سخت کننده ها نباید از 1/2bf-tw و ضخامت آنها از tw یا 10 میلی متر کمتر اختیار شود.
پ) اتصال سخت کننده های انتهایی و میانی به تیر پیوند:
اتصال سخت کننده ها به جان و بال های تیر پیوند، باید توسط جوش گوشه برقرار شود. مقاومت مورد نیاز سخت کننده ها به جان باید حداقل برابر FyAst و مقاومت مورد نیاز اتصال سخت کننده ها به هر یک از بال های تیر پیوند باید حداقل برابر 1/4FyAst در نظر گرفته شود، که در آن Fy تنش تسلیم فولاد سخت کننده ها و Ast سطح مقطع عرضی هر یک از سخت کننده ها است.
در مورد ضوابط سخت کننده های تیرهای پیوند قوطی شکل به ضوابط آیین نامه مراجعه کنید.
مثال: حداکثر فاصله مجاز بین سخت کننده های میانی تیر پیوند با مقطع IPE200 و به طول 0.5 متر در صورتی که زاویه دوران 0.05 رادیان باشد، به کدامیک از مقادیر زیر نزدیکتر است؟ (لنگر و برش پلاستیک مقطع تیر پیوند به ترتیب 53kN.m و 148kN می باشند)
1- 250 2- 125 3- 150 4- 185
حل: براساس موارد گفته شده در بالا، در مواردی که طول تیر پیوند از 1.6Mp/Vp کوچکتر باشد، فاصه سخت کننده های میانی تیر پیوند نباید بیشتر از 30tw-d/5 برای تیرهای پیوند با زاویه دوران 0.08 رادیان و 52tw-d/5 برای تیرهای پیوند با زاویه دوران 0.02 رادیان در نظر گرفته شود.
برای تیرهای پیوند با زاویه دوران بین دو مقدار 0.02 و 0.08 رادیان می توان از درون یابی خطی بین دو مقدار مذکور استفاده نمود. حال با توجه به این توضیحات و براساس اینکه مقدار 0.05 رادیان در این تست میانگین مقادیر 0.08 رادیان و 0.02 رادیان است داریم:

با توجه به گزینه ها دیده می شود که Smax به 185 میلی متر گزینه چهارم نزدیک است.
بنابراین گزینه 4 صحیح است.
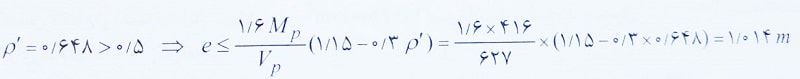
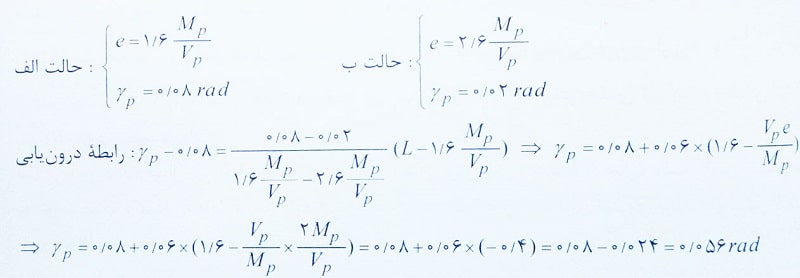
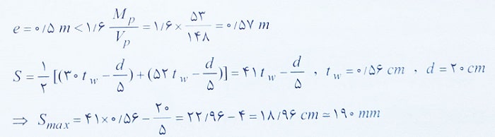
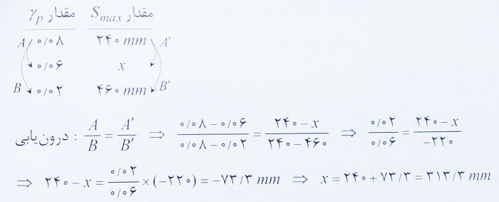
مثال: در شکل زیر، یک سازه مهاربندی شده واگرای ویژه دیده می شود. طول تیر پیوند در رابطه e=1.56Mp/Vp صدق می کند و مقطع آن نیز در شکل زیر نشان داده شده است. اگر تغییر مکان جانبی نسبی این سازه تحت زلزله طرح برابر 3.6 سانتی متر باشد، فاصله سخت کننده های میانی در تیر پیوند این سازه، حداکثر چقدر باید باشد؟
1- 167 2- 240 3- 313 4- 460

حل:
با توجه به مطالب گفته شده می دانیم چنانچه تیر پیوند به صورت I شکل باشد، تعیین فاصله سخت کننده های میانی آن وابسته به طول تیر پیوند خواهد بود. از آنجا که در این تست طول تیر پیوند در رابطه e=1.56Mp/Vp صدق می کند و بنابراین e<1.6Mp/Vp است، فاصله سخت کننده های میانی به صورت زیر تعیین می شود.
اگر زاویه دوران تیر پیوند برابر 0.08 رادیان باشد:

اگر زاویه دوران تیر پیوند برابر 0.02 رادیان باشد:

پس در این تست ابتدا باید مقدار زاویه دوران تیر پیوند را محاسبه کنیم. برای سازه نشان داده شده در این تست، دوران غیر الاستیک تیر پیوند نسبت به ناحیه خارج از آن (یعنی Υp) به صورت زیر محاسبه می شود:

از آنجا که γp=0.06rad است که بین مقادیر 0.08 و 0.02 رادیان می باشد باید از درون یابی خطی استفاده کرده و داریم:

بنابراین گزینه 3 صحیح است.




دیدگاه خود را ثبت کنید
تمایل دارید در گفتگوها شرکت کنید؟در گفتگو ها شرکت کنید.