الزامات طراحی حالت حدی بهره برداری سازه های فولادی
الزامات طراحی حالت حدی بهره برداری سازه های فولادی
در پست های قبلی گفتیم که برای سازه براساس روش حالت حدی، باید دو مرحله شامل طراحی حالت حدی مقاومت و طراحی حالت حدی بهره برداری انجام گیرد.
در این پست می خواهیم مباحث مرتبط با حالات حدی بهره برداری سازه های فولادی ( Serviceability Limit States ) یا به اختصار SLS را بررسی کنیم.
شرایط بهره برداری عبارت است از شرایطی که در آن، مجموعه سازه شامل اعضاء و اتصالات آن ضمن انجام نقش اصلی خود ( مقاومت در برابر بارهای خارجی)، قابلیت نگهداری و حفظ ظاهر و نیز آسایش ساکنین را حفظ می کنند و پس از رسیدن به هر یک از آنها قادر به انجام وظایف خود نخواهند بود ( ولی به حد ناپایداری و گسیختگی نمی رسند).
به عبارت دیگر حالت های حدی بهره برداری، حالاتی مثل تغییر شکل و خیز اعضاء، ارتعاش، خسارات، به علت خوردگی و … هستند که باعث غیر قابل استفاده شدن سازه در حالت کلی نمی شوند، بلکه با انجام تعمیراتی در آنها مجددا قابلیت بهره برداری خود را باز می یابند.
توجه: در تحلیل و طراحی براساس حالت های حدی بهره برداری، باید ضرایب ایمنی جزئی مقاومت (Φ) و نیز ضرایب ایمنی جزئی بارها (Υ) برابر واحد باشد.
تذکر: بحث الزامات حالت های حدی بهره برداری، موضوع پر اهمیت ولی کوتاهی است که تنها در همین قسمت به آن می پردازیم. بنابراین تمام مواردی که قسمت های بعدی بحث خواهند شد، مربوط به کنترل و طراحی مقاطع در حالت های حدی مقاومت هستند.
در حقیقت با کنترل های دیگر قسمت ها، مطمئن خواهیم شد که مقطع تحت اثر ترکیبات بار مختلف دارای مقاومت و شکل پذیری کافی در برابر شرایطی نظیر تسلیم، گسیختگی، کمانش و … می باشد.
کنترل تغییر شکل در تیرها
کنترل تغییر مکان (افتادگی) در سازه های فولادی می بایست به عنوان یکی از معیارهای طراحی مورد توجه قرار گیرد.
در تیرهای فولادی به علت بالا بودن مقاومت فولاد، عموما با مقاطع ظریف که دارای ممان اینرسی کمی هستن روبرو هستیم، به همین دلیل در تیرهایی که دهانه بزرگ دارند تغییر مکان ناشی از بارهای سرویس می تواند زیاد باشد که این تغییر مکان های ایجاد شده ممکن است موجب ایجاد ترک در سقف و آسیب رساندن به نازک کاری های سقف گردد.
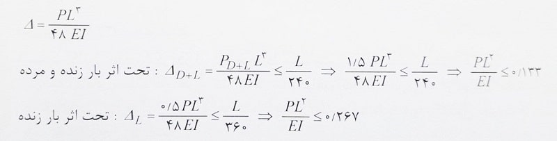
برای کنترل خیز، تیرها و شاهتیرهایی که سقف های نازک کاری شده را تحمل می کنند باید طوری محاسبه شوند که تغییر مکان حداکثر آنها نظیر بار مرده و زنده از 1/240 طول دهانه و تغییر مکان حداکثر آنها نظیر بار زنده از 1/360 طول دهانه بیشتر نشود.
بنابراین می توان رابطه زیر را نوشت:

نکته: برای کنترل سازه در شرایط بهره برداری، باید ضرایب ایمنی جزئی (Φ) و ضرایب بار برابر واحد فرض شوند.
مثال: در تیر شکل زیر که تحت اثر بار مرده متمرکز P و بار زنده متمرکز 0.8P قرار گرفته است، به منظور کنترل تغییر مکان حداکثر در تیر، حداکثر مقدار PL2/EI چقدر باید باشد؟ ( فرض می شود تیر مذکور سقف نازک کاری شده را تحمل می نماید.)
1- 0.267 2- 0.2 3- 0.133 4- 0.067

حل: برای یک تیر دو سر مفصل تحت بار متمرکز P در وسط دهانه، تغییر مکان حداکثر عبارت است از:

بنابراین حداکثر مقدار برابر 0.133 می باشد و گزینه 3 صحیح است.
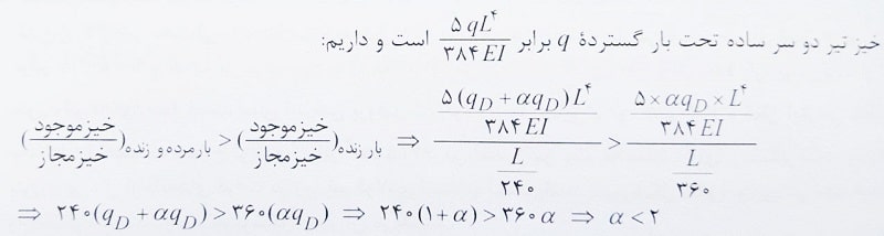
مثال: یک تیر دو سر ساده، تحت بار گسترده مرده و زنده قرار دارد. در صورتی که شدت بار مرده برابر qD و بار زنده برابر αqD باشد، کدام گزینه باید برقرار باشد تا کنترل خیز تحت مجموع بار مرده و زنده بحرانی تر از کنترل خیز تحت بار زنده به تنهایی شود؟
1- α<1
2- α<2
3- α>3
4- α>2
حل:

بنابراین گزینه 2 صحیح است.
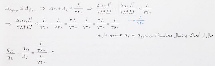
مثال: یک تیر فولادی با دهانه ساده به طول L و صلبیت خمشی EI، تحت بار گسترده یکنواخت قرار دارد که شامل qD و بار زنده qL بار زنده است. اگر کنترل تغییر شکل تحت بار زنده به تنهایی، دارای ضریب اطمینان 2 باشد، حداکثر مقدار qD می تواند چند برابر qL باشد تا کنترل تغییر شکل تیر تحت بار مرده و زنده همزمان مشکلی نداشته باشد؟
1- 3 2- 1/3 3- 2 4- 1/2
حل: کنترل تغییر شکل تیر مورد نظر تحت بار زنده تنها به صورت زیر انجام می شود.

کنترل تغییر شکل تیر تحت بار مرده و زنده به صورت زیر انجام می شود. دقت کنید که چون به دنبال محاسبه حداکثر مقدار qD هستیم، در اینجا ضریب اطمینان واحد است:

بنابراین گزینه 3 صحیح است.
کنترل تغییر شکل در تیرهای مختلط
با بحث تیرهای مختلط جلوتر آشنا خواهیم شد. در صورتی که در تیرهای مختلط برشگیردار، در هنگام بتن ریزی دال از پایه های موقت در زیر تیر فولادی استفاده نشود، کنترل تغییر مکان تیر مختلط باید شامل مراحل زیر باشد:
گام اول: ابتدا بار ناشی از وزن تیر فولادی، دال بتنی و بار ناشی از قالب بندی، بر تیر فولادی تنها اثر داده شده و تغییر شکل تیر محاسبه می گردد.
گام دوم: سپس بار مرده اضافی ( تمام بار مرده ای که بعد از گیرش دال بتنی وارد می شود، نظیر وزن کف سازی و تیغه ها) و همچنین بار زنده، بر مقطع مختلط اثر داده می شوند و تغییر شکل تیر مختلط محاسبه می گردد.
گام سوم: در نهایت مجموع تغییر شکل های محاسبه شده در گام های فوق نباید از 1/240 طول دهانه بیشتر شوند.
مثال: تیر مختلطی با دهانه ساده به طول 4.8 متر مفروض است که بار مرده وارد بر آن قبل از گیرش بتن برابر 400 کیلوگرم بر متر و اضافه بار مرده وارد بر آن بعد از گیرش بتن برابر 300 کیلوگرم بر متر و بار زنده وارد بر آن بعد از گیرش بتن برابر 250 کیلوگرم بر متر است. ممان اینرسی پروفیل تیر فولادی به تنهایی برابر 1320 است و ممان اینرسی مقطع تیر مختلط با احتساب مصالح فولادی برابر 6425 است. اگر تیر مختلط دارای برشگیر بوده و در هنگام بتن ریزی دال از پایه های موقت در زیر تیر فولادی استفاده نشده باشد، تغییر شکل ماکزیمم این تیر تحت همه بارهای وارده تقریبا چند درصد تغییر شکل مجاز آن می باشد؟
1- 51 2- 67 3- 98 4- 124
حل:
می دانیم که حداکثر تغییر شکل یک تیر با دهانه ساده به طول L و با صلبیت خمشی EI که بار q به آن وارد می شود از رابطه Δ=5ql4/384EI محاسبه می شود.
حال برای تیر مختلط مورد نظر، مقدار این تغییر شکل را در دو فاز زیر محاسبه می کنیم که در رابطه Δ پارامتر q بر حسب kg/m، و L بر حسب سانتی متر و E بر حسب kg/cm2 و I برحسب cm4 استفاده شده است.

بنابراین گزینه 2 صحیح است.
کنترل ارتعاش در تیرها
تیرها و شاه تیرهایی که سطوح بزرگ خالی از تیغه بندی ( خالی از عناصر دیگری که خاصیت میراکنندگی ارتعاش دارند) را تحمل می کنند، باید با توجهی خاص به لرزش و ارتعاش حاصل از بارهای جنبشی ( نظیر بارهای ناشی از رفت و آمد افراد، حرکت و توقف آسانسورها، حرکت ماشین آلات و نظایر آنها) محاسبه شوند.
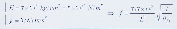
در تیرهای مربوط به این کف ها، فرکانس نوسانی تیر باید به اندازه ای باشد که حد احساس در افراد بیشتر نشود. برای این منظور، لازم است که فرکانس دوره ای ( f ) این تیرها بزرگتر یا مساوی 5 هرتز باشد.
برای محاسبه فرکانس دوره ای ( f ) تیرهای دو سر ساده تحت بار مرده یکنواخت qD می توان از رابطه زیر استفاده کرد:

E: مدول الاستیسیته مصالح تیر بر حسب نیوتن بر متر مربع
I: ممان اینرسی مقطع تیر بر حسب m4 ( در صورتی که تیر مختلط باشد، از ممان اینرسی مقطع مرکب استفاده شود)
g: شتاب ثقل بر حسب متر بر مجذور ثانیه ( g=9.81 m/s2 )
qD: بار مرده یکنواخت بر حسب نیوتن بر متر طول
L: طول دهانه تیر دو سر ساده بر حسب متر
f: فرکانس دوره ای تیر بر حسب هرتز
می توان رابطه بالا را با در نظر گرفتن موارد زیر ساده کرد:

مثال: تیر مختلطی با دهانه ساده و به طول 8 متر، ممان اینرسی پروفیل تیر حول محور خنثی برابر 23130cm4 می باشد. اگر ممان اینرسی مقطع مرکب تیر مختلط حول محور خنثی برابر 71949cm4 و عرض بارگیر تیر مختلط 1.2m و بار مرده 650kg/m2 و بار زنده 350kg/m2 باشد، فرکانس نوسانی تیر، چند هرتز است؟
1- 11.5 2- 10.5 3- 6.5 4- 6
حل:

تذکر 1: ممان اینرسی مورد استفاده در این رابطه، ممان اینرسی مقطع مختلط می باشد.
تذکر 2: بار مرده وارد بر تیر برابر 6500N/m2 می باشد که در عرض بارگیر 1.2 متر اثر می کند.
بنابراین گزینه 2 صحیح است.
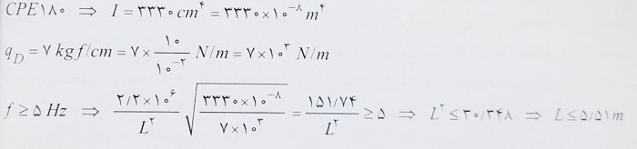
مثال: در یک تیرچه فولادی از مقطع CPE180 استفاده شده است. در صورتی که بار مرده وارد بر هر تیرچه 7kgf/cm باشد، حداکثر طول تیرچه چقدر باشد تا فرکانس ارتعاش تیر بزرگتر از 5Hz شود؟
1- 7 متر 2- 5 3- 6 4- 5.5
حل:
ابتدا با استفاده از جدول ممان اینرسی که جلسات قبل گفتیم ممان اینرسی مقطع لانه زنبوری 180 را تعیین می کنیم. حال رابطه فرکانس تیر را نوشته و داریم:

بنابراین گزینه 4 صحیح است.
موارد تکمیلی برای کنترل های بهره برداری
با توجه به مبحث دهم مقررات ملی ساختمان (ویرایش 1392) علاوه بر کنترل تغییر شکل و ارتعاش تیرها، چند مورد دیگر در هنگام بررسی حالت های حدی بهره برداری مد نظر قرار گیرند که در ادامه آنها را مورد بحث قرار می دهیم.
ملاحظات پیش خیز
اگر برای بعضی از اعضای خمشی، پیش خیز ( تغییر شکل رو به بالا) نیاز باشد تا در هنگام بارگذاری به شکل مورد نیاز و در ارتباط با اعضای دیگر درآیند، جهت و موقعیت پیش خیز در مدارک طرح و محاسبه و نیز در نقشه های سازه ای به روشنی مشخص شود.
در خرپاهای با دهانه بیش از 12 متر، لازم است اندازه تغییر شکل بار مرده، پیش خیز داده شود. در شاه تیرهای مربوط با جراثقال با دهانه بزرگتر از 12 متر باید پیش خیزی در حدود تغییر شکل ناشی از بار مرده به اضافه 1/2 بار زنده پیش بینی شود.
نکته: تیرها و خرپاهایی که خیز معینی برای آنها قید نشده باشد، باید طوری در کارخانه ساخته شوند که به هر حال پس از نصب، تغییر شکل رو به بالا ( پیش خیز) داشته باشند.
مثال: شاه تیر نگهدارنده جراثقال دارای دهانه 15 متر تحت اثر بار مرده مقدار 8 میلی متر و تحت اثر بار زنده مقدار 10 میلی متر تغییر شکل دارد. پیش خیز مناسب در این تیر بر حسب میلی متر در حدود چه مقدار باید پیش بینی شود؟
1- 13 2- 8 3- 16 4- 10
حل:

بنابراین گزینه 1 صحیح است.
انبساط و انقباض
برای تامین شرایط بهره برداری مناسب، در محاسبه و طراحی سازه باید اثرات تغییر دما به نحو موثری مورد توجه قرار گیرد. خرابی پوشش های نمای ساختمان می تواند ناشی از نفوذ آب بوده و به هوازدگی منتهی شود. در محاسبات، ضریب انبساط و انقباض حرارتی فولاد برابر 12×10^6 به ازای هر درجه سلسیوس است.
لغزش اتصالات
در مواردی که اثرات لغزش اتصالات باعث تغییر شکل هایی می شود که شرایط بهره برداری مناسب را به مخاطره می اندازد، طراحی اتصال باید براساس کنترل لغزش بحرانی صورت گیرد به عبارت دیگر، طراحی اتصال باید به صورت اصطکاکی و (نه اتکایی ) صورت گیرد.
تغییر مکان های جانبی
تغییر مکان های جانبی کلی و نسبی باید به گونه ای باشند که تحت ترکیبات بارگذاری نظیر شرایط بهره برداری، یکپارچکی تیغه بندی های داخلی و پوشش های خارجی (نما) حفظ شود.
همچنین این تغییر مکان ها باید به گونه ای باشند که تحت ترکیبات بارگذاری نظیر حالت های حدی مقاومت، از برخورد ساختمان های مجاور جلوگیری به عمل آید.
برای تامین شرایط مذکور، تغییر مکان های جانبی، کلی و نسبی باید محدودیت های قید شده در مبحث ششم مقررات ملی ساختمان را برآورد کند.
الزامات طراحی حالت حدی بهره برداری سازه های فولادی – الزامات طراحی حالت حدی بهره برداری سازه های فولادی – الزامات طراحی حالت حدی بهره برداری سازه های فولادی – الزامات طراحی حالت حدی بهره برداری سازه های فولادی




دیدگاه خود را ثبت کنید
تمایل دارید در گفتگوها شرکت کنید؟در گفتگو ها شرکت کنید.