الزامات تحلیل و طراحی برای تامین پایداری سازه های فولادی
الزامات تحلیل و طراحی برای تامین پایداری سازه های فولادی
یکی از موضوعات جدیدی که در ویرایش 1392 از مبحث دهم مقررات ملی ساختمان مورد توجه قرار گرفته است، بحث الزامات تحلیل و طراحی برای تامین پایداری می باشد.
در واقع در این بخش، آیین نامه قصد دارد تا با ارائه یک سری ضوابط و الزامات در هنگام تحلیل و طراحی سازه، اطمینان پیدا کند که اثرات مرتبه دوم به نحو مناسبی در نظر گرفته شده اند و پایداری کل سازه و تمامی اجزای آن حفظ می شود.
روش های قابل قبول مبحث دهم برای تحلیل و طراحی سازه عبارتند از:
1- روش تحلیل مستقیم که جامع ترین روش می باشد.
2- روش طول موثر که روش سنتی آنالیز پایداری است.
3- روش تحلیل مرتبه اول که ساده شده است و محدودیت های خاصی دارد.
بررسی عوامل موثر بر آنالیز پایداری سازه های فولادی
به طور کلی قواعد مبحث دهم مقررات ملی ساختمان، بر این فرض استوار است که نیروهای داخلی اعضای سازه براساس یک تحلیل الاستیک مربته دوم بدست می آیند، به نحوی که معادلات تعادل روی سازه تغییر شکل یافته برقرار می شود.

دو مورد از مهمترین اثرات مرتبه دوم در مورد اعضای قابی، اثرات P-δ و P-Δ هستند. اثر P-Δ در واقع نشان دهنده اثر بار قائم بر سازه در حالتی که ستون ها و سایر المان های تحمل کننده بارهای قائم، تحت تاثیر تغییر مکان عرضی قرار گرفته اند می باشد.
به بیان دیگر فرض بر این است که سازه ابتدا تحت اثر بارهای جانبی قرار می گیرد و تغییر مکان های جانبی پدیدار می شوند، سپس بارهای قائم بر سیستم اعمال می شوند و تاثیر نیروهای محوری P و تغییر شکل های جانبی Δ اثر P-Δ را ایجاد می کند.
از طرف دیگر اثر P-δ ناشی از تغییر مکان جانبی مقطع عرضی عضو سازه نسبت به محور مرکزی مستقیم اولیه عضوو است که خود این تغییر مکان جانبی در اثر اعمال لنگر خمشی به عضو ایجاد می شود.
برخی از مشخصات مهم مربوط به اثرات P-δ و P-Δ به شرح زیر است:
1- اگر سازه هیچ تغییر مکان جانبی نداشته باشد، اثر P-Δ برای سازه نخواهیم داشت.
2- اگر حالت تغییر شکل یافته عضو هیچ انحنایی نداشته باشد و به عبارت دیگر عضو مستقیم باقی بماند ( مثل اعضای خرپایی ایده آل ) اثر P-δ را نخواهیم داشت.
3- اگر در عضوی تغییر شکل خمشی و تغییر مکان جانبی رخ دهد، آنگاه عضو به طور همزمان تحت اثرات P-δ و P-Δ قرار می گیرد.
برای اعضای تیر – ستون تحت اثر فشار محوری، لنگر اضافی در یک مقطع مفروض باعث تغییر مکان خمشی اضافی شده و بنابراین تغییر مکان جانبی عضو ( Δ ) افزایش می یابد که این امر اثر P-Δ را زیاد می کند. در واقع دو اثر P-δ و P-Δ اندرکنشی بسیار مهم با یکدیگر دارند.
دو عامل دیگر در آنالیز پایداری سازه
در مورد آنالیز پایداری سازه های فولادی، دو اثر دیگر به غیر از P-δ و P-Δ پر اهمیت است که آنها را شرح می دهیم:
1- یکی دیگر از نکاتی که در بحث پایداری سازه های فولادی باید به آن توجه داشت، نقایص اولیه ساخت در مراحل تولید و نصب سازه است ( در محدوه خطاهای مجاز آیین نامه در بحث رواداری ).
در روش آنالیز مرتبه اول، در ساخت مدل تحلیلی سازه فرض می شود که سازه کاملا مستقیم است.
در واقع این روش برای در نظر گرفتن این اثرات کالیبره شده است، بنابراین به طور ضمنی این اثرات در حین مراحل طراحی در نظر گرفته می شود.
در مقابل در روش آنالیز مستقیم و روش طول موثر، با استفاده از مفهوم بار جانبی فرضی، به صورت محافظه کارانه فرض می شود که نقایص اولیه ساخت برابر حداکثر مقدار خطای ساخت و نصب در نظر گرفته شده توسط آیین نامه باشد.
2- تنش پسماند به طور ذاتی در تمام مقاطع گرم نورد شده وجود دارد. این تنش اولیه در اعضاء باعث می شود که عضو زودتر از تنش تسلیم مفروض به حد تسلیم شدن برسد.
این حالت که نوعی نرم شدگی برای اعضای سازه محسوب می شود، به طور صریح در روش آنالیز مستقیم وارد شده است.
نحوه برخورد روش آنالیز مستقیم با این پدیده از طریق کاهش مشخصات ( سختی ) خمشی و محوری اعضایی است که قسمتی از سیستم باربر جانبی هستند.
در روش آنالیز مرتبه اول و همچنین روش طول موثر، این اثرات به طور ضمنی در داخل روند طراحی لحاظ می شوند. توجه شود که در روش آنالیز مرتبه اول و همچنین روش طول موثر از مشخصات اسمی مقاطع استفاده می شود.
روش های تحلیل مرتبه دوم
استفاده از روش های تحلیلی زیر به عنوان روش های تحلیل مرتبه دوم مجاز دانسته شده است:
الف) تحلیل الاستیک مرتبه دوم: در این روش، تحلیل سیستم سازه ای به صورت الاستیک بوده ولی در حین تحلیل آثار مرتبه دوم P-δ و P-Δ در آن لحاظ می گردند.
ب) تحلیل مرتبه دوم از طریق تحلیل الاستیک مرتبه اول تشدید یافته: در این روش، تحلیل سازه بدون در نظر گرفتن اثرات P-δ و P-Δ انجام شده و سپس نتایج تحلیلی با ضرایبی به نام B1 و B2 تشدید می شوند.
B1: ضریب تشدیدی است که اثر P-δ را در نظر می گیرد. مقدار این ضریب از طریق رابطه ( پ -2-3) آیین نامه بدست می آید.
B2: ضریب تشدیدی است که برای در نظر گرفتن اثر P-Δ می باشد. مقدار دقیق این ضریب براساس رابطه ( پ-2-6) آیین نامه بدست می آید ولی به طور تقریبی از رابطه زیر تعیین می گردد:

Δ2: تغییر مکان جانبی نسبی حداکثر حاصل از تحلیل مرتبه دوم
Δ1: تغییر مکان جانبی نسبی حداکثر حاصل از تحلیل مرتبه اول
در پیوست 2 از مبحث دهم مقررات ملی ساختمان، الزامات روش تحلیل مرتبه دوم از طریق تحلیل الاستیک مرتبه اول تشدید یافته بیان شده است.
تذکر: آیین نامه اجازه می دهد که در برخی از موارد خاص، سازه تنها برای اثر P-Δ تحلیل شود و اثر P-δ نادیده گرفته شود. این شرایط به شرح زیر است:
الف) بارهای ثقلی عمدتا توسط ستون ها، دیوارها یا قاب های قائم تحمل شود.
ب) نسبت تغییر مکان جانبی نسبی حداکثر مرتبه دوم به تغییر مکان جانبی حداکثر مرتبه اول یا به طور تقریبی مقدار ضریب تشدید B2 در تحلیل الاستیک مربته دوم تشدید یافته، در کلیه طبقات کوچکتر یا مساوی 1.7 باشد، ( براساس سختی های اصلاح شده ).
پ) حداکثر یک سوم کل بارهای ثقلی وارد بر سازه توسط ستون هایی که بخشی از قاب های خمشی هستند، تحمل شوند.
مبحث دهم مقررات ملی ساختمان بیان می کند که اگر تحت شرایط فوق از اثر P-δ صرف نظر شود، لنگر خمشی بدست آمده از روش های تحلیل مرتبه دوم برای اعضای تحت اثر نیروی محوری و لنگر خمشی، باید با ضریب B1 تشدید شود.
مروری بر روش های سه گانه تحلیل و طراحی
همانطور که در ابتدای این قسمت نیز بیان کردیم، سه روش زیر برای تحلیل و طراحی سازه های فولادی پیشنهاد می شود که می توانند بحث های پایداری سازه را تامین کنند. این روش ها عبارتند از:
1- روش تحلیل مستقیم ( Direct analysis Method )
2- روش طول موثر ( Effective Length Method )
3- روش تحلیل مرتبه اول ( First-Order Analysis Method )
هر یک از این سه روش دارای محدودیت ها، الزامات و ضوابطی می باشند که به ترتیب در بندهای (10-2-1-5-1)، ( 10-2-1-5-2) و ( 10*2-1-5-3) آیین نامه بیان شده است. در ادامه بحث خلاصه ای از ضوابط و محدودیت های هر یک از این روش ها بیان شده است.
روش تحلیل مستقیم
ضوابط و الرامات این روش، به طور کامل در بند ( 10-2-1-5-1) آیین نامه شرح داده شده که در اینجا خلاصه ای از آنها را بیان می کنیم.
محدودیت ها:
در تحلیل و طراحی سازه فولادی به روش مستقیم، هیچ گونه محدودیتی وجود ندارد.
الرامات اصلی:
1- نیروهای داخلی اعضای سازه باید بر اساس یکی از روش های تحلیل مرتبه دوم بدست آیند.
2- آثار نواقص هندسی اولیه باید مطابق بند ( 10-2-1-1-1-1) آیین نامه منظور شود.
3- برای تحلیل سازه، باید از سختی کاهش یافته اعضاء استفاده شود، نحوه تعیین ضرایب کاهش سختی در بند ( 10-2-1-5-1-2) آیین نامه بیان شده است.
4- مقاومت فشاری اعضای محوری با فرض K=1 ( با فرض عدم انتقال جانبی) تعیین می شود.
در روش تحلیل مستقیم، کاربرد ملاحظات نواقص هندسی اولیه و کاربرد سختی کاهش یافته اعضاء فقط برای تعیین مقاومت های مورد نیاز اعضاء می باشد.
برای سایر منظورات طراحی نظیر کنترل تغییر مکان های جانبی نسبی طبقات، کنترل خیز تیرها و کنترل ارتعاش اعضاء نباید ملاحظات نواقص هندسی اولیه به کار رود و ضرایب کاهش سختی نیز منظور نمی شود.
روش طول موثر
الزامات این روش در بند ( 10-2-1-5-2) آیین نامه بیان شده است که در اینجا آنها را مرور می کنیم.
محدودیت ها:
1- بارهای ثقلی عمدتا توسط ستون ها، دیوارها یا قاب های قائم تحمل شوند.
2- باید رابطه B2≤1.5 برقرار باشد.
الزامات اصلی:
1- نیروهای داخلی اعضای سازه باید براساس یکی از روش های تحلیل مرتبه دوم تعیین شود.
2- در تحلیل سازه، هرگونه کاهش سختی اعضاء مجاز نیست.
3- اثر نواقص هندسی اولیه باید مشابه روش تحلیل مستقیم، از بند ( 10-2-1-5-1-1) آیین نامه منظور شود.
4- مقاومت فشاری اعضای محوری باید براساس ضریب طول موثر ( K ) تعیین شود.
5- برای در نظر گرفتن تاثیر انتقال آثار P-Δ قاب های ثقلی به اعضای فشاری قاب های خمشی، کافی است ضریب طول موثر اعضای فشاری قاب های خمشی با ضریب ηx تشدید شود که از رابطه (10-2-1-7) آیین نامه تعیین می گردد.
روش تحلیل مرتبه اول
نکات این روش در بند ( 10-2-1-5-3) آیین نامه بیان شده است که در اینجا مهمترین آنها را بررسی می کنیم.
محدودیت ها:
1- بارهای ثقلی باید عمدتا توسط ستون ها، دیوارها یا قاب های قائم تحمل شوند.
2- باید رابطه B2≤1.5 برقرار باشد.
3- برای اعضایی که سختی خمشی آنها در پایداری جانبی سازه موثر است، باید رابطه Pu≤0.5Py برقرار باشد.
الزامات اصلی:
1- نیروهای داخلی اعضای سازه باید براسسا تحلیل مرتبه اول تشدید نیافته تعیین گردد.
2- به کلیه ترکیبات بارگذاری، باید یک بار جانبی فرضی ( Ni ) در تراز هر طبقه اضافه شود که از رابطه (10-2-1-8) آیین نامه بدست می آید.
3- برای اعضای دارای نیروی محوری فشاری، لنگر خمشی باید با ضریب B1 تشدید شود.
4- مقاومت فشاری اعضای محوری باید با فرض K=1 ( با فرض عدم انتقال جانبی) تعیین شود.
در روش تحلیل مرتبه اول، کنترل تغییر مکان جانبی طبقات، خیز تیرها و ارتعاش اعضاء باید در حضور بار جانبی اضافی ( Ni ) انجام شود.
مثال: در هر یک از گزینه های زیر، مقادیر تغییر مکان جانبی نسبی حاصل از تحلیل مرتبه دوم ( Δ2) و غییر مکان جانبی نسبی حاصل از تحلیل مرتبه دوم ( Δ1) برای یک سازه داده شده است. در کدام قاب ضریب طول موثر کمانش برای ستون ها می تواند واحد فرض شود؟
1- Δ2=2.4 cm و Δ1=2cm
2- Δ2=1.6 cm و Δ1=1.5cm
3- Δ2=4.5 cm و Δ1=3cm
4- Δ2=2 cm و Δ1=1cm
حل: مطابق تبصره بند (10-2-1-3-2) آیین نامه داریم:

بنابراین گزینه 2 صحیح است.
مثال: مقادیر تغییر مکان جانبی نسبی بدست آمده از تحلیل مرتبه اول ( Δ1 ) و تغییر مکان جانبی نسبی بدست آمده از تحلیل مرتبه دوم ( Δ2 ) برای 4 قاب به شرح گزینه های زیر است. در کدامیک از این قاب ها، برای در نظر گرفتن اثر P-δ صرفا مجاز به استفاده از تحلیل الاستیک مرتبه دوم می باشیم؟
1- Δ2=2.5 cm و Δ1=2cm
2- Δ2=2 cm و Δ1=1.5cm
3- Δ2=1.8 cm و Δ1=1cm
4- Δ2=4.2 cm و Δ1=3cm
حل: با توجه به تبصره بند(10-2-1-4) آیین نامه، استفاده از ضریب تشدید B1 برای لحاظ کردن اثر P-δ در صورتی مجاز است که ضریب تشدید B2 کوچکتر یا مساوی 1.7 باشد. به عبارت دیگر اگر ضریب تشدید B2 بزرگتر از 1.7 باشد، اجازه استفاده از تحلیل الاستیک مرتبه اول تشدید یافته را نداریم و حتما باید از تحلیل الاستیک مرتبه دوم استفاده کنیم. حال برای حل این تست داریم:

بنابراین گزینه 3 صحیح است.
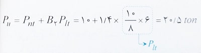
مثال: در یک قاب خمشی تحت اثر بار جانبی زلزله تغییر مکان جانبی نسبی طبقه با در نظر گرفتن تحلیل ثانویه برابر 1.8 سانتی متر و با در نظر گرفتن تحلیل مرتبه اول 1.2 سانتی متر بدست آمده است. اگر نیروی محوری یک ستون قاب تحت اثر بارهای ثقلی و جانبی به ترتیب برابر 10 تن و 6 تن باشد، محوری مرتبه دوم مورد نیاز این ستون چند تن است؟
1- 19 2- 18.5 3- 18 4- 20
حل: با توجه به رابطه ( پ-2-2) از پیوست دوم مبحث دهم مقررات ملی ساختمان، مقدار Pu را محاسبه می کنیم.

بنابراین گزینه 1 صحیح است.
مثال: مقادیر نیروی محوری و لنگر خمشی برای ستون سمت راست در دو حالت بارهای ثقلی ضریبدار و بار جانبی زلزله در شکل های زیر ارائه شده است. اگر ضریب تشدید B1 و B2 به ترتیب 1.2 و 1.4 باشد، مقاومت خمشی مورد نیاز ستون سمت راست تقریبا چند تن-متر است؟
1- 16 2- 17.8 3- 18.8 4- 19.2

حل: با توجه به رابطه ( پ-2-1 ) مبحث دهم مقررات ملی ساختمان داریم:
![]()
شاید در نگاه اول به نظر برسد که مقادیر M داده شده در شکل های این تست، همان Mnt و MIt هستند اما باید به نکته ای مهم دقت داشته باشیم، براساس توضیحات رابطه ( پ-2-1 ) و نیز بند ( پ-2-2-3 ) آیین نامه، لنگر Mnt با تحلیل قاب تحت اثر بارهای ثقلی ضریب دار ( با فرض عدم انتقال جانبی قاب) بدست می آید که در شکل سمت چپ تست داده شده است.
از طرفی لنگر MIt با تحلیل قاب تحت اثر بارهای جانبی بدست می آید که در شکل سمت راست تست داده شده است.
اما طبق نکات بند ( پ-2-2-3 )، در قاب های با هندسه نامتقارن، چون در هنگام تحلیل برای بارهای قائم ضریب دار امکان انتقال جانبی برای قاب وجود دارد، لذا در اینگونه از قاب ها باید تحلیل قاب برای بارهای جانبی به همراه واکنش های تکیه گاهی بدست آمده از تحلیل قاب برای بارهای ثقلی باشد.
در این تست بار جانبی 8 تن به دلیل نیروهای جانبی وجود دارد ولی باید 2 تن دیگر به آن اضافه شود که در تحلیل سازه برای بارهای ثقلی بدست آمده است ( R=2 Ton در شکل سمت چپ تست ).
به عبارت دیگرباید سازه این تست تحت بار جانبی 10 تن تحلیل شود تا بتوان MIt را تعیین نمود. از آنجا که تحلیل قاب تحت بار جانبی 8 تن را داریم، می توان گفت که نتایج تحلیل قاب تحت بار جانبی 10 تن به صورت 10/8 برابر تحلیل قاب تحت بار 8 تن هستند.

حال برای محاسبه Mu داریم:
![]()
بنابراین گزینه 3 صحیح است.
مثال: در مثال قبل نیروی محوری مورد نیاز ستون سمت راست چند تن است؟
1- 20.5 2- 19.7 3- 18.4 4- 17.3
حل: مطابق رابطه (پ-2-2) آیین نامه داریم:

بنابراین گزینه 1 صحیح است.
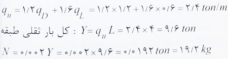
مثال: در قاب شکل زیر، اگر ستون ها به میزان 4 میلی متر ناشاقولی داشته باشند، برای در نظر گرفتن نقص هندسی در ترکیب بار ثقلی ماکزیمم، چه باری باید به صورت جانبی در تراز طبقه اعمال کرد؟
1- 9.6 کیلوگرم 2- 12.8 3- 19.2 4- 24

حل: بار جانبی فرضی براساس رابطه (10-2-1-4) آیین نامه تعیین می گردد. حداکثر ترکیب بار ثقلی ناشی از بارهای مرده و زنده، به صورت 1.2D+1.6L می باشد.
بر این اساس، بار ثقلی ضریبداری که باید بر مبنای آن بار جانبی فرضی بدست آید برابر است با:

با توجه به یادداشت 4 بند (10-2-1-5-1-1) آیین نامه، نیروی N بدست آمده از رابطه (10-2-1-4) متناظر با حداکثر ناشاقولی مجاز ستون است که 1/500 ارتفاع طبقه مورد نظر است و در نتیجه برای ستون مورد نظر این سازه برابر 6 میلی متر می باشد.
حال از آنجا که می دانیم در ستون مورد نظر 4 میلی متر ناشاقولی داریم، نیروی جانبی فرضی اندازه 4/6N کافی خواهد بود.

بنابراین گزینه 2 صحیح است.
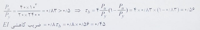
مثال: برای یک ستون واقع در قاب خمشی که خصوصیات آن ارائه شده است، چنانچه نخواهیم از بار جانبی اضافی در روش تحلیل مستقیم استفاده کنیم، ضریب کاهش سختی خمشی چقدر باید باشد؟ ( A=20cm2 ، Pu=40ton ، ST37 )
1- 0.8 2- 0.56 3- 0.45 4- 1
حل: با توجه به روابط (10-2-1-5) و (10-2-1-6) آیین نامه داریم:

توجه: در صورتی که می خواستیم از بار جانبی اضافی در تحلیل مستقیم استفاده کنیم، τb=1 و ضریب کاهش سختی برابر 0.8 می باشد.
بنابراین گزینه 3 صحیح است.
مثال: در شکل زیر، پلان یک سازه که در آن قاب های چپ و راست از نوع خمشی و دو قاب میانی از نوع ثقلی می باشند ارائه شده است. اگر از نموگرام ژولیان و لورنس برای قاب های مهار نشده، ضریب طول موثر کمانش ستون های قاب خمشی چپ و راست برابر 1.6 بدست آمده باشد، ضریب طول موثر اصلاحی این ستون ها چقدر است؟
1- 1.8 2- 2.1 3- 2.4 4- 2.8

حل: با توجه به رابطه (10-2-1-7) آیین نامه و با فرض اینکه بار ثقلی روی کف برابر q است داریم:

بنابراین گزینه 4 صحیح است.
مثال: در گزینه های زیر، مقادیر تغییر مکان جانبی نسبی متناظر با تحلیل مرتبه اول ( Δ1 ) و تحلیل مرتبه دوم ( Δ2 ) برای چهار قاب ارائه شده است. در کدام یک از قاب ها استفاده از هر سه روش تحلیل مستقیم، روش طول موثر و تحلیل مرتبه اول مجاز است؟
1- Δ1=1.2cm , Δ2=1.8cm
2- Δ1=1cm , Δ2=1.7cm
3- Δ1=2cm , Δ2=3.2cm
4- Δ1=0.8cm , Δ2=1.3cm
حل: براساس نکات گفته شده اگر B2≤1.5 باشد، از هر یک از سه روش تحلیل مستقیم، روش طول موثر و روش تحلیل مرتبه اول می توان استفاده کرد ولی اگر B2≥1.5 شود، فقط می توان از روش تحلیل مستقیم بهره برد. با توجه به این نکته، در این تست داریم:

بنابراین گزینه 1 صحیح است.
الزامات تحلیل و طراحی برای تامین پایداری سازه های فولادی – الزامات تحلیل و طراحی برای تامین پایداری سازه های فولادی – الزامات تحلیل و طراحی برای تامین پایداری سازه های فولادی – الزامات تحلیل و طراحی برای تامین پایداری سازه های فولادی




با درود خدمت مهندس عزیز مطالب فولاد برای طراحی همین است یا هنوز کامل بارگذاری نشده است با سپاس
سلام وقت بخیر به مرور زمان بارگذاری میشه