اتصالات فولادی گیردار از پیش تایید شده
اتصالات فولادی گیردار از پیش تایید شده
به طور کلی آیین نامه های به روز طراحی فولاد، تحقیقات گسترده ای را درباره ایده آل ترین اتصالات گیردار تیر به ستون انجام داده اند.
مطالعات آزمایشگاهی و تحلیلی فراوانی روی اتصالات مختلف انجام گرفته که بهترین آنها تحت عنوان ” اتصالات گیردار از پیش تایید شده” معرفی شده اند.
در این جلسه که جلسه پایانی تفسیر مبحث دهم مقررات ملی ساختمان است ابتدا این اتصالات را بررسی کرده و سپس ضوابط هر قسمت را بررسی خواهیم کرد.
انواع اتصالات گیردار از پیش تایید شده
انواع اتصالات گیردار از پیش تایید شده به شرح جدول زیر هستند.

اتصال مستقیم تیر با مقطع کاهش یافته RBS

خلاصه ضوابط اتصالات گیردار از نوع مستقیم تیر با مقطع کاهش یافته (RBS)

اتصال فلنجی ( BUEEP و BSEEP )

جدول محدودیت های ابعادی اتصالات گیردار فلنجی

در جدول فوق:
bbf: پهنای بال تیر
bp: پهنای ورق انتهایی
d: عمق تیر متصل شونده به ورق انتهایی
g: فاصله افقی بین دو ردیف قائم پیچ
Pb: فاصله قائم بین دو ردیف پیچ در هر دو طرف بال تیر در اتصال فلنجی هشت پیچی
Pfi: فاصله قائم بین نزدیک ترین ردیف پیچ داخلی تا بر بال کششی تیر
Pfo: فاصله قائم بین نزدیکترین ردیف پیچ بیرونی تا بر بال کششی تیر
tbf: ضخامت بال مقطع تیر
tp: ضخامت ورق انتهایی
جدول خلاصه ضوابط اتصالات گیردار از نوع فلنجی ( BUEEP و BSEEP)

اتصالات پیچی با ورق های روسری و زیرسری BFP

جدول خلاصه ضوابط اتصالات گیردار از نوع پیچی با ورق های روسری و زیرسری (BFP)

اتصال جوشی با ورقهای روسری و زیرسری ( WFP)

جدول خلاصه ضوابط اتصالات گیردار از نوع جوشی با ورق های روسری و زیرسری (WFP)

اتصال مستقیم تقویت نشده جوشی ( WUF-W)

جدول ضوابط اتصالات گیردار از نوع مستقیم جوشی تقویت نشده ( WUF-W)

مثال: یک مهندس محاسب در طراحی یک سازه فولادی با قاب خمشی ویژه چند طبقه که دارای دهانه هایی به طول 4 متر است (محور به محور)، از تیر ورق PG1 با مقطع نشان داده شده استفاده کرده است. اگر ابعاد بیرونی ستون های قوطی این سازه 450 در 450 میلی متر باشد، برای اتصال از پیش تایید شده تیر به ستون، کدام گزینه را پیشنهاد می کنید؟ ( هم مسائل فنی و هم سهولت اجرایی مدنظر باشد. فرض کنید کلیه تیرهای منتهی به هر چهار وجه ستون دارای اتصال گیردار کامل هستند)
1- اتصال گیردار تقویت نشده جوشی (WUF-W)
2- اتصال گیردار فلنجی هشت پیچی با استفاده از ورق لچکی ( BSEEP)
3- اتصال گیردار جوشی به کمک ورق های روسری و زیر سری ( WFP)
4- اتصال گیردار پیچی به کمک ورق های روسری و زیرسری ( BFP)

حل:
برای پاسخ به این تست از ضوابط اتصالات گیردار از پیش تایید شده استفاده می کنیم:
بررسی گزینه 1:
با توجه به جدول درسنامه که مربوط به اتصال گیردار تقویت نشده جوشی ( WUF-W) است دیده می شود که برای اجرای این اتصال ضخامت بال مقطع تیرها نباید از 30 میلی متر تجاوز کند و عمق مقطع تیرهای I شکل باید حداکثر برابر 1000 میلی متر باشد و نسبت دهانه آزاد تیر به عمق آن نباید از 7 برای قاب های خمشی ویژه کمتر در نظر گرفته شود که همه این موارد در این تست رعایت شده است.
بررسی گزینه 2:
با توجه به جدول که محدودیت های ابعادی اتصالات گیردار فلنجی را ارائه کرده است دیده می شود که برای اتصال گیردار فلنجی هشت پیچی، عمق تیر متصل شونده به ورق انتهایی (d)، نباید بین 440 تا 1000 میلی متر باشد که در تیر ارائه شده این عمق برابر 430=15*2+400 است و نمی توان از این نوع اتصال استفاده کرد.
بررسی گزینه 3:
با توجه به جدول WFP که انواع اتصالات گیردار از پیش تایید شده را بیان کرده دیده می شودکه اتصال جوشی به کمک ورق های روسری و زیرسری صرفا برای قاب های خمشی متوسط قابل استفاده است و در قاب خمشی ویژه مطرح شده که در گزینه 3 نمی توان استفاده کرد.
بررسی گزینه 4:
براساس جدول BFP نسبت دهانه تیر به عمق مقطع آن نباید از 9 در قاب های خمشی ویژه و از 7 در قاب های خمشی متوسط کمتر در نظر گرفت، این در حالی است که در این تست نسبت دهانه آزاد تیر به عمق آن برابر:

می باشد که کوچکتر از 9 می باشد و بنابراین استفاده از این نوع اتصال در این سازه فولادی مجاز نیست.
با توجه به توضیحات فوق نتیجه می شود که در این سازه فولادی صرفا می توان از اتصال از پیش تایید شده گزینه 1 استفاده کرد و بنابراین گزینه 1 ضحیح است.
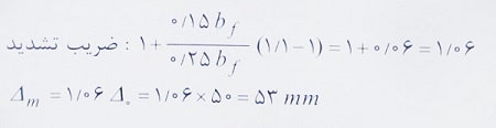
مثال: در قاب خمشی فولادی با اتصال گیردار مستقیم تیر با مقطع کاهش یافته (اتصال از پیش تایید شده)، اگر عرض ناحیه کاهش یافته تیر 30 درصد پهنای بال آن بوده (c=0.15f) و تغییر مکان جانبی نسبی طبقه بدون لحاظ کاهش مقطع تیر برابر 50 میلی متر محاسبه شده باشد، تغییر مکان جانبی نسبی طبقه با لحاظ اثر کاهش عرض مقطع تیر به طور تقریبی چقدر می توان در نظر گرفته شود؟ (فرض کنید به این منظور، از مدل سازی ناحیه کاهش یافته استفاده نشود)
1- 57 2- 44 3- 50 4- 53
حل:
مطابق جدول مربوط به RBS گفته شده است که در کنترل تغییر مکان جانبی نسبی طبقه به جای مدل سازی ناحیه کاهش یافته می توان تغییر مکان جانبی نسبی را در حالتی که ناحیه کاهش یافته لحاظ نشده است با ضریب 1.1 برای حالت نظیر c=0.25bbf تشدید نمود.
برای سایر مقادیر c می توان از تناسب بین آنها و c=0.25bbf بهره برد. حال با توجه به این موضوع داریم:





دیدگاه خود را ثبت کنید
تمایل دارید در گفتگوها شرکت کنید؟در گفتگو ها شرکت کنید.